2021-2022
National Survey on Drug Use and Health:
Other Sources of State-Level Data

Introduction

A variety of surveys and data systems other than the National Survey on Drug Use and Health (NSDUH) collect data on substance use and mental health. It is useful to consider the results of these other studies when discussing NSDUH data. This document briefly describes one of these other data systems that publish state estimates and presents selected comparisons with NSDUH results. The state-level survey that collects data on substance use discussed in this document is the Behavioral Risk Factor Surveillance System (BRFSS), sponsored by the Centers for Disease Control and Prevention (CDC). Another CDC data system that provides state-level substance use estimates for most but not all states is the Youth Risk Behavior Survey (YRBS). Differences between the YRBS and NSDUH sampling designs, as well as the wider range of age groups used in NSDUH state small area estimates, imply that comparisons of estimates are not straightforward. However, ignoring these differences and examining estimates at the national level, the YRBS has generally been shown to have higher estimates than NSDUH (Center for Behavioral Health Statistics and Quality [CBHSQ], 2023).1 Note that comparisons between the state YRBS estimates and the NSDUH state small area estimates are not presented because of some of the differences discussed above.

When considering the information presented in this document, it is important to understand the methodological differences between these surveys and the impact that these differences could have on estimates of substance use and mental health. Several studies have compared NSDUH estimates with estimates from other studies and have evaluated how differences may have been affected by differences in survey methodology (Brener et al., 2006; CBHSQ, 2012; Gfroerer et al., 1997; Grucza et al., 2007; Hennessy & Ginsberg, 2001; Miller et al., 2004). These studies suggest that the goals and approaches of surveys are often different, making comparisons among them difficult. Some methodological differences that have been identified as affecting comparisons include populations covered, sampling methods, mode of data collection, survey setting, questionnaires, and estimation methods.

Because of the coronavirus disease 2019 (COVID-19) pandemic, an additional web data collection mode was introduced to the 2020 NSDUH. The 2021 and 2022 surveys continued the use of multimode data collection procedures that were first implemented in October 2020 for the 2020 NSDUH. For 2021, 54.6 percent of interviews were completed via the web, and 45.4 percent were completed in person. In 2022, 42.4 percent of interviews were completed via the web, and 57.6 percent were completed in person.

BRFSS is a state-based system of health surveys that collect information on health risk behaviors (including cigarette and alcohol use); preventive health practices; and health care access primarily related to chronic disease, injuries, and preventable infectious diseases. BRFSS is an annual, state-based telephone (landline and cellular telephone) survey of the civilian, noninstitutionalized adult population aged 18 or older and is sponsored by CDC. During 2021 and 2022, all 50 states, the District of Columbia, Guam, Puerto Rico, and the U.S. Virgin Islands collected BRFSS data using computer-assisted telephone interviewing (CATI). Note that, in 2021, Florida was unable to collect enough BRFSS data to meet the minimum requirements for inclusion in the 2021 annual aggregate dataset. Thus, the estimates shown in this report for Florida are based only on 2022 data. The 2021-2022 BRFSS state estimates and confidence intervals presented here are design-based (direct) estimates (i.e., each respondent is weighted in a way that accounts for the survey design).2

In both BRFSS and NSDUH, data are collected on the following three substance use measures in each of the 50 states and the District of Columbia:3

  • past month alcohol use,
  • cigarette use (“past month” use for NSDUH and “current” use for BRFSS), and
  • past month binge alcohol use.

Note that estimates for these measures are compared in this document. The BRFSS and NSDUH questions that were used for the three measures are shown in the next section.

Past month alcohol use is defined consistently in both BRFSS and NSDUH as having an alcoholic beverage in the past month. Similarly, past month binge alcohol use is defined consistently in the two surveys as drinking five or more drinks (for males) or four or more drinks (for females) on the same occasion (i.e., at the same time or within a couple of hours of each other) on at least 1 day in the past 30 days.

In NSDUH, past month cigarette use is defined as having smoked part or all of a cigarette during the past 30 days (i.e., the 30 days prior to the interview). In BRFSS, the cigarette use measure reported is current cigarette use, which is defined as having smoked at least 100 cigarettes during the lifetime and indicating smoking every day or some days at the time of the survey. Because of these subtle but present differences in definitions, NSDUH’s cigarette use estimates tend to be higher in that they cover two groups of people that the BRFSS estimates would not: (1) respondents who have not smoked 100 cigarettes in their lifetime but had smoked in the past month, and (2) respondents who had smoked a cigarette earlier in the month but were not smoking at the time of the survey.

This document presents findings comparing 2021-2022 BRFSS state design-based estimates with corresponding 2021-2022 NSDUH state small area estimates for past month alcohol use, past month binge alcohol use, and cigarette use (“past month” use for NSDUH and “current” use for BRFSS). In Tables 1, 2, and 3 (shown after this text discussion), the 2021-2022 BRFSS state design-based estimates for adults aged 18 or older are shown alongside the 2021-2022 NSDUH small area estimates for the same age group. The BRFSS estimates were calculated using SUDAAN® Software for Statistical Analysis of Correlated Data (RTI International, 2013) and the publicly available BRFSS SAS® (SAS Institute Inc., 2017) datasets. Tables 1 and 2 also include p values that indicate whether the BRFSS and NSDUH alcohol use and binge alcohol use population percentages are significantly different from each other for a given state. The statistical test used for calculating the p values is described in the Methodology for Comparing BRFSS and NSDUH Estimates section. Users are advised to use caution when interpreting these significant differences due to the methodological differences in the two surveys.

Due to definitional differences in the cigarette use measure, no formal statistical tests of differences between NSDUH and BRFSS estimates were produced.

NSDUH and BRFSS Questions

The 2022 NSDUH questions that were used to determine past month alcohol use and past month binge alcohol use were worded as follows:4

AL01
Have you ever, even once, had a drink of any type of alcoholic beverage? Please do not include times when you only had a sip or two from a drink.

1   Yes
2   No
DK/REF5
ALLAST3
[IF AL01 = 1 OR ALREF = 1] How long has it been since you last drank an alcoholic beverage?

1   Within the past 30 days — that is, since [DATEFILL]
2   More than 30 days ago but within the past 12 months
3   More than 12 months ago

DK/REF
PROGRAMMER: SHOW 12 MONTH CALENDAR
AL08
[IF ALC30DAY = 1 – 30 OR ALCEST30 = (1 – 6, DK OR REF)] During the past 30 days, that is, since [DATEFILL], on how many days did you have [IF QD01=5 THEN FILL 5 IF QD01=9 THEN FILL 4] or more drinks on the same occasion? By ’occasion,’ we mean at the same time or within a couple of hours of each other.

# OF DAYS: _____ [RANGE: 0 - 30]
DK/REF
PROGRAMMER: SHOW 30 DAY CALENDAR

The 2022 BRFSS questions that were used to determine past month alcohol use and past month binge alcohol use were worded as follows:6

CALC.01
During the past 30 days, how many days per week or per month did you have at least one drink of any alcoholic beverage?

INTERVIEWER NOTE: A 40-ounce beer would count as 3 drinks, or a cocktail with 2 shots would count as 2 drinks.

1 _ _ Days per week
2 _ _ Days in past 30 days
888 No drinks in past 30 days
777 Don’t know / Not sure
999 Refused
CALC.03
Considering all types of alcoholic beverages, how many times during the past 30 days did you have X [CATI X = 5 for men, X = 4 for women] or more drinks on an occasion?

_ _ Number of times
77 Don’t know / Not sure
88 No days
99 Refused

The 2022 NSDUH questions that were used to determine past month cigarette use were worded as follows:

CG01
Have you ever smoked part or all of a cigarette?

1   Yes
2   No
DK/REF
CG05
[IF CG01 = 1 OR CGREF1 = 1] Now think about the past 30 days, that is, from [DATEFILL] up to and including today. During the past 30 days, have you smoked part or all of a cigarette?

1   Yes
2   No
DK/REF
PROGRAMMER: SHOW 30 DAY CALENDAR

The 2022 BRFSS questions that were used to determine current cigarette use were worded as follows:

CTOB.01
Have you smoked at least 100 cigarettes in your entire life?

1   Yes
2   No
7   Don’t know / Not sure
9   Refused

INTERVIEWER NOTE: Do not include: electronic cigarettes (e-cigarettes, njoy, bluetip, JUUL), herbal cigarettes, cigars, cigarillos, little cigars, pipes, bidis, kreteks, water pipes (hookahs) or marijuana. 5 packs = 100 cigarettes.
CTOB.02
Do you now smoke cigarettes every day, some days, or not at all?

1   Every day
2   Some days
3   Not at all
7   Don’t know / Not sure
9   Refused

Methodology for Comparing BRFSS and NSDUH Estimates

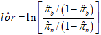
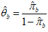
The methodology used to compare BRFSS and NSDUH estimates is similar to what is described in Section B.7 of 2014-2015 National Survey on Drug Use and Health: Guide to State Tables and Summary of Small Area Estimation Methodology.7 Here, the null hypothesis of no difference is tested, that is, Pi sub b is equal to pi sub n. (where pi sub b is the expected value8 of the BRFSS estimate and pi sub n is the expected value of the NSDUH estimate), or equivalently the log-odds ratio is zero, that is, Log-odds ratio lor is equal to zero., where log-odds ratio lor is defined as log-odds ratio lor is defined as the natural logarithm of the ratio of two quantities: The numerator of the ratio is pi sub b divided by 1 minus pi sub b. The denominator of the ratio is pi sub n divided by 1 minus pi sub n., and ln denotes the natural logarithm. An estimate of log-odds ratio lor is given by log-odds ratio hat is defined as the natural logarithm of the ratio of two quantities: The numerator of the ratio is pi hat sub b divided by 1 minus pi hat sub b. The denominator of the ratio is pi hat sub n divided by 1 minus pi hat sub n., where pi hat sub b and pi hat sub n are the 2021-2022 BRFSS state-level design-based estimates and the 2021-2022 NSDUH state model-based estimates, respectively (as given in Tables 1 and 2). To compute the variance of the estimate of the log-odds ratio, lor hat, that is, variance v of the estimate of the log-odds ratio, lor hat, let Theta sub b hat be defined as the ratio of pi hat sub b and 1 minus pi hat sub b and Theta sub n hat be defined as the ratio of pi hat sub n and 1 minus pi hat sub n, then

Equation 1.     D

The covariance term can be assumed to be zero because the BRFSS and NSDUH samples are independent.

The quantity variance v of the natural logarithm of Theta sub n hat can be obtained by using the 95 percent Bayesian confidence intervals in Tables 1 and 2. For this purpose, let lower sub n and upper sub n denote the 95 percent Bayesian confidence interval9 for a given state:

Equation 2,     D

where Capital U sub n is the natural logarithm of upper sub n divided by 1 minus upper sub n, and capital L sub n is the natural logarithm of lower sub n divided by 1 minus lower sub n..


The quantity variance v of the natural logarithm of Theta hat sub b can be obtained by using the 95 percent confidence intervals in Tables 1 and 2. For this purpose, let lower sub b and upper sub b denote the 95 percent BRFSS confidence interval for a given state, then variance v of pi hat sub b is given by

Equation 3.     D

Now, using the first-order Taylor series approximation,10 variance v of the natural logarithm of Theta hat sub b can be calculated from variance v of pi hat sub b as follows:

Equation 4.     D

The p value that is given in Tables 1 and 2 for testing the null hypothesis of no difference (Log-odds ratio lor equals zero.) is provided by the p value, which is equal to 2 times the probability of realizing a standard normal variate capital Z greater than or equal to the absolute value of a quantity z., where capital Z is a standard normal random variate, Quantity z is the estimate of the log-odds ratio, lor hat, divided by the square root of the sum of the variance v of the natural logarithm of Theta sub b hat and the variance v of the natural logarithm of Theta sub n hat., and absolute value of quantity z denotes the absolute value of quantity z.

Alcohol Use

As can be seen in Table 1, for past month alcohol use, the NSDUH estimates and the BRFSS estimates were statistically significantly different (i.e., at the 5 percent level of significance) for only two states (Kentucky and Texas). Also, these two sets of estimates were highly correlated (correlation coefficient = 0.97). Figure 1 and Figure 2, which follow this document’s three tables, were created by using state estimates from BRFSS and NSDUH and categorizing the states into five quintiles similar to the process described on the title page of 2021-2022 National Survey on Drug Use and Health: National Maps of Prevalence Estimates, by State.11

As can be seen in Figure 1 and Figure 2, seven states with the highest estimates of alcohol use (states shown in orange) were the same in the two surveys: Colorado, District of Columbia, Montana, New Hampshire, North Dakota, Vermont, and Wisconsin. Similarly, eight states with the lowest estimates of alcohol use were the same in the two surveys: Alabama, Arkansas, Kentucky, Mississippi, Oklahoma, Tennessee, Utah, and West Virginia. The lowest estimate of past month alcohol use was in Utah for both BRFSS and NSDUH (see Table 1 and Figure 1 and Figure 2).

Binge Alcohol Use

As can be seen in Table 2, the NSDUH estimates of past month binge alcohol use were significantly larger than the BRFSS estimates for all states. As noted previously, NSDUH and BRFSS used the same thresholds for binge alcohol use among males and females in the 2021 and 2022 surveys; therefore, these differences can be partly attributed to differences in data collection methodologies of BRFSS and NSDUH. First, the 2021-2022 NSDUHs used audio computer-assisted self-interviewing (ACASI) for in-person data collection and self-administration for web data collection of sensitive questions, whereas BRFSS used computer-assisted telephone interviewing (CATI). Self-administration (including ACASI for in-person data collection) can increase respondent privacy for reporting of sensitive behaviors and therefore may yield higher prevalence estimates than interviewer-administered modes such as CATI (Kreuter et al., 2008; Lind et al., 2013; Tourangeau & Smith, 1996; Turner et al., 1998). Although the NSDUH estimates were larger, these two sets of estimates are moderately correlated (correlation coefficient = 0.83).

Figure 3 and Figure 4 were created using the same method used to produce Figure 1 and Figure 2. As can be seen in Figure 3 and Figure 4, six states with the highest estimates of binge alcohol use (states shown in orange) were the same in the two surveys: Colorado, District of Columbia, Montana, Nebraska, North Dakota, and Wisconsin. Six states with the lowest estimates of binge alcohol use were the same in the two surveys: Alabama, Arkansas, Kentucky, Mississippi, Utah, and West Virginia.

Cigarette Use

Table 3 shows the NSDUH estimates of past month cigarette use and the BRFSS estimates of current cigarette use. Statistical tests to examine significant differences between the NSDUH and BRFSS cigarette use population percentages are not included because the definitions are different, as discussed earlier in this document. Although the NSDUH estimates tended to be larger, these two sets of estimates were highly correlated (correlation coefficient = 0.95).

Figure 5 and Figure 6 were created using the same method used to produce Figure 1 through Figure 4. As can be seen in Figure 5 and Figure 6, nine states with the highest estimates of cigarette use (states shown in orange) were the same in the two surveys: Arkansas, Indiana, Kentucky, Louisiana, Mississippi, Missouri, Ohio, Tennessee, and West Virginia. Eight states with the lowest estimates of cigarette use were the same in the two surveys: California, Connecticut, District of Columbia, Hawaii, Massachusetts, New Jersey, Utah, and Washington.

Sample Size Comparisons

The BRFSS estimates are design based, whereas the NSDUH estimates are model based. Both sets of estimates are based on 2 years of pooled data (2021-2022). The BRFSS sample sizes for a given state were, in general, much larger than the sample sizes for NSDUH. In the 2021-2022 NSDUH, the 18 or older sample sizes in the states ranged from approximately 1,180 to 6,290 respondents, with a median sample size of 1,780.12 For the 2021-2022 BRFSS, all the states had larger sample sizes as compared with their counterparts in NSDUH. Overall, the BRFSS sample sizes for the states varied from a low of 5,927 respondents in Nevada to a high of 56,895 in New York, with a median sample size of 15,391.13 Sample size differences of this magnitude explain why the NSDUH Bayesian confidence intervals were generally wider than the corresponding BRFSS design-based confidence intervals.

References

Brener, N. D., Eaton, D. K., Kann, L., Grunbaum, J. A., Gross, L. A., Kyle, T. M., & Ross, J. G. (2006). The association of survey setting and mode with self-reported health risk behaviors among high school students. Public Opinion Quarterly, 70, 354-374. https://doi.org/10.1093/poq/nfl003 exit icon

Center for Behavioral Health Statistics and Quality. (2012). Comparing and evaluating youth substance use estimates from the National Survey on Drug Use and Health and other surveys (HHS Publication No. SMA 12-4727, Methodology Series M-9). https://www.samhsa.gov/data/sites/default/files/NSDUH-M9-Youth-2012/NSDUH-M9-Youth-2012.pdf

Center for Behavioral Health Statistics and Quality. (2023). Chapter 5: Other sources of data. In 2020 National Survey on Drug Use and Health (NSDUH): Methodological summary and definitions. https://www.samhsa.gov/data/sites/default/files/reports/rpt35330/2020NSDUHMethodSummDefs091721.pdf

Gfroerer, J., Wright, D., & Kopstein, A. (1997). Prevalence of youth substance use: The impact of methodological differences between two national surveys. Drug and Alcohol Dependence, 47, 19-30. https://doi.org/10.1016/s0376-8716(97)00063-x exit icon

Grucza, R. A., Abbacchi, A. M., Przybeck, T. R., & Gfroerer, J. C. (2007). Discrepancies in estimates of prevalence and correlates of substance use and disorders between two national surveys. Addiction, 102, 623-629. https://doi.org/10.1111/j.1360-0443.2007.01745.x exit icon

Hennessy, K. H., & Ginsberg, C. (Eds.). (2001). Substance use survey data collection methodologies: Introduction. Journal of Drug Issues, 31(3), 595-808. https://doi.org/10.1177/002204260103100301 exit icon

Kreuter, F., Presser, S., & Tourangeau, R. (2008). Social desirability bias in CAI, IVR, and web surveys: The effects of mode and question sensitivity. Public Opinion Quarterly, 72, 847-865. https://doi.org/10.1093/poq/nfn063 exit icon

Lind, L., Schober, M., Conrad, F., & Reichert, H. (2013). Why do survey respondents disclose more when computers ask the questions? Public Opinion Quarterly, 77(4), 888-935. https://doi.org/10.1093/poq/nft038 exit icon

Miller, J. W., Gfroerer, J. C., Brewer, R. D., Naimi, T. S., Mokdad, A., & Giles, W. H. (2004). Prevalence of adult binge drinking: A comparison of two national surveys. American Journal of Preventive Medicine, 27, 197-204. https://doi.org/10.1016/s0749-3797(04)00121-7 exit icon

RTI International. (2013). SUDAAN® language manual, release 11.0.1.

SAS Institute Inc. (2017). SAS/STAT software: Release 14.1.

Tourangeau, R., & Smith, T. W. (1996). Asking sensitive questions: The impact of data collection mode, question format, and question context. Public Opinion Quarterly, 60, 275-304. https://doi.org/10.1086/297751 exit icon

Turner, C. F., Ku, L., Rogers, S. M., Lindberg, L. D., Pleck, J. H., & Sonenstein, F. L. (1998). Adolescent sexual behavior, drug use, and violence: Increased reporting with computer survey technology. Science, 280, 867-73. https://doi.org/10.1126/science.280.5365.867 exit icon

Table 1 – Alcohol Use in the Past Month: Among People Aged 18 or Older; by State, Annual Average Percentages, BRFSS and NSDUH, 2021 and 2022
State 2021-2022
BRFSS
(Estimate)
2021-2022 BRFSS
(95% Confidence
Interval)
2021-2022
NSDUH
(Estimate)
2021-2022 NSDUH
(95% Confidence
Interval)
P Value
Alabama 41.93 (40.49 - 43.36) 43.27 (39.86 - 46.76) 0.480
Alaska 54.09 (52.68 - 55.50) 53.59 (49.82 - 57.31) 0.805
Arizona 52.28 (51.18 - 53.38) 50.25 (46.19 - 54.30) 0.344
Arkansas 43.66 (42.23 - 45.08) 43.49 (39.65 - 47.41) 0.938
California 53.13 (52.01 - 54.25) 51.39 (49.44 - 53.35) 0.131
Colorado 61.24 (60.34 - 62.13) 59.41 (56.18 - 62.56) 0.278
Connecticut 57.51 (56.35 - 58.66) 61.07 (57.21 - 64.79) 0.083
Delaware 53.78 (52.16 - 55.41) 55.58 (51.99 - 59.12) 0.370
District of Columbia 67.02 (65.35 - 68.69) 66.25 (62.50 - 69.79) 0.705
Florida1 54.59 (52.69 - 56.49) 53.27 (51.00 - 55.52) 0.380
Georgia 50.05 (48.84 - 51.27) 49.14 (46.38 - 51.90) 0.552
Hawaii 49.56 (48.41 - 50.71) 48.42 (44.56 - 52.29) 0.579
Idaho 47.79 (46.72 - 48.86) 48.54 (44.32 - 52.78) 0.737
Illinois 53.77 (52.21 - 55.33) 55.28 (52.53 - 58.00) 0.348
Indiana 50.08 (49.17 - 51.00) 50.87 (47.80 - 53.93) 0.631
Iowa 56.28 (55.33 - 57.24) 58.54 (54.36 - 62.60) 0.300
Kansas 54.41 (53.63 - 55.19) 55.77 (52.20 - 59.29) 0.465
Kentucky 37.50 (36.12 - 38.89) 42.35 (39.10 - 45.66) 0.007
Louisiana 51.78 (50.44 - 53.11) 49.89 (46.36 - 53.42) 0.327
Maine 54.65 (53.67 - 55.63) 53.41 (49.32 - 57.46) 0.562
Maryland 52.42 (51.50 - 53.33) 53.36 (50.06 - 56.64) 0.587
Massachusetts 58.55 (57.54 - 59.56) 57.38 (53.62 - 61.06) 0.552
Michigan 54.37 (53.41 - 55.34) 54.58 (52.38 - 56.77) 0.864
Minnesota 59.38 (58.65 - 60.11) 56.78 (52.50 - 60.97) 0.234
Mississippi 41.10 (39.68 - 42.52) 41.95 (38.42 - 45.57) 0.663
Missouri 52.01 (50.97 - 53.06) 52.24 (48.30 - 56.14) 0.915
Montana 59.96 (58.89 - 61.04) 58.96 (54.46 - 63.32) 0.666
Nebraska 58.25 (57.31 - 59.18) 56.68 (53.08 - 60.21) 0.402
Nevada 52.27 (50.33 - 54.22) 51.62 (47.92 - 55.31) 0.760
New Hampshire 60.47 (59.17 - 61.76) 63.01 (59.17 - 66.69) 0.216
New Jersey 56.15 (55.01 - 57.29) 55.36 (51.75 - 58.91) 0.679
New Mexico 46.63 (45.28 - 47.97) 49.62 (45.90 - 53.34) 0.139
New York 53.68 (52.94 - 54.43) 53.31 (50.82 - 55.78) 0.776
North Carolina 49.48 (48.13 - 50.83) 47.71 (44.53 - 50.90) 0.316
North Dakota 58.36 (57.09 - 59.62) 60.52 (56.11 - 64.76) 0.352
Ohio 52.77 (51.91 - 53.64) 53.12 (50.84 - 55.37) 0.781
Oklahoma 42.48 (41.28 - 43.68) 44.65 (41.10 - 48.26) 0.259
Oregon 57.13 (55.95 - 58.31) 58.22 (54.52 - 61.83) 0.580
Pennsylvania 52.70 (51.36 - 54.05) 54.83 (52.25 - 57.38) 0.152
Rhode Island 58.10 (56.77 - 59.44) 57.73 (53.16 - 62.17) 0.877
South Carolina 51.07 (50.00 - 52.13) 51.60 (47.64 - 55.54) 0.800
South Dakota 56.35 (54.11 - 58.60) 56.00 (51.54 - 60.37) 0.889
Tennessee 47.09 (45.74 - 48.44) 48.02 (44.10 - 51.96) 0.663
Texas 51.60 (50.40 - 52.80) 48.91 (47.00 - 50.82) 0.019
Utah 33.19 (32.31 - 34.06) 32.64 (29.80 - 35.61) 0.724
Vermont 61.14 (59.93 - 62.36) 61.16 (57.54 - 64.66) 0.992
Virginia 54.49 (53.46 - 55.52) 54.94 (52.52 - 57.32) 0.738
Washington 56.75 (56.05 - 57.44) 53.73 (50.16 - 57.26) 0.101
West Virginia 38.15 (37.03 - 39.26) 35.78 (31.80 - 39.96) 0.279
Wisconsin 62.36 (61.30 - 63.43) 63.08 (59.72 - 66.32) 0.685
Wyoming 53.39 (51.88 - 54.91) 52.73 (47.92 - 57.50) 0.799
BRFSS = Behavioral Risk Factor Surveillance System; NSDUH = National Survey on Drug Use and Health.
NOTE: NSDUH estimates along with 95 percent Bayesian confidence (credible) intervals are based on the survey-weighted hierarchical Bayes estimation approach and are generated by Markov Chain Monte Carlo techniques. BRFSS estimates are based on a survey-weighted direct estimation approach.
NOTE: The P Value is the probability of more extreme values than the observed difference between the BRFSS and NSDUH estimates under the null hypothesis of no difference.
1 In 2021, Florida was unable to collect enough BRFSS data to meet the minimum requirements for inclusion in the 2021 annual aggregate dataset. Thus, the BRFSS estimate for Florida is based on only the 2022 BRFSS data.
Source: SAMHSA, Center for Behavioral Health Statistics and Quality, National Survey on Drug Use and Health, 2021-2022; Centers for Disease Control and Prevention, Behavioral Risk Factor Surveillance System, 2021-2022.
Table 2 – Binge Alcohol Use in the Past Month: Among People Aged 18 or Older; by State, Annual Average Percentages, BRFSS and NSDUH, 2021 and 2022
State 2012-2022
BRFSS
(Estimate)
2021-2022 BRFSS
(95% Confidence
Interval)
2021-2022
NSDUH
(Estimate)
2021-2022 NSDUH
(95% Confidence
Interval)
P Value
Alabama 12.63 (11.64 - 13.63) 20.34 (17.89 - 23.04) 0.000
Alaska 17.69 (16.58 - 18.79) 23.11 (20.28 - 26.21) 0.000
Arizona 16.55 (15.68 - 17.43) 24.13 (21.08 - 27.47) 0.000
Arkansas 14.22 (13.15 - 15.30) 20.87 (18.10 - 23.95) 0.000
California 16.49 (15.66 - 17.32) 22.87 (21.35 - 24.46) 0.000
Colorado 18.94 (18.24 - 19.64) 26.58 (23.74 - 29.63) 0.000
Connecticut 14.76 (13.93 - 15.58) 23.62 (20.66 - 26.86) 0.000
Delaware 13.44 (12.28 - 14.59) 22.84 (20.17 - 25.75) 0.000
District of Columbia 24.15 (22.61 - 25.68) 34.34 (30.83 - 38.03) 0.000
Florida1 14.71 (13.36 - 16.06) 21.73 (19.99 - 23.58) 0.000
Georgia 14.46 (13.55 - 15.36) 20.90 (18.84 - 23.13) 0.000
Hawaii 17.38 (16.51 - 18.25) 22.23 (19.47 - 25.25) 0.001
Idaho 14.76 (13.94 - 15.58) 23.07 (20.10 - 26.33) 0.000
Illinois 16.08 (14.96 - 17.21) 25.11 (22.94 - 27.41) 0.000
Indiana 14.97 (14.30 - 15.64) 22.55 (20.24 - 25.04) 0.000
Iowa 20.78 (19.97 - 21.59) 25.71 (22.46 - 29.26) 0.003
Kansas 17.43 (16.80 - 18.06) 25.60 (22.78 - 28.63) 0.000
Kentucky 12.70 (11.71 - 13.68) 20.78 (18.36 - 23.44) 0.000
Louisiana 17.00 (15.96 - 18.04) 26.68 (23.70 - 29.88) 0.000
Maine 15.30 (14.54 - 16.06) 20.88 (18.00 - 24.08) 0.000
Maryland 13.25 (12.61 - 13.89) 22.00 (19.56 - 24.65) 0.000
Massachusetts 16.82 (16.06 - 17.57) 24.81 (21.96 - 27.89) 0.000
Michigan 16.57 (15.81 - 17.33) 23.59 (21.78 - 25.50) 0.000
Minnesota 18.79 (18.20 - 19.37) 26.07 (22.84 - 29.59) 0.000
Mississippi 12.99 (11.96 - 14.02) 20.60 (18.10 - 23.34) 0.000
Missouri 17.40 (16.56 - 18.24) 22.67 (19.68 - 25.96) 0.001
Montana 21.08 (20.14 - 22.03) 27.66 (24.06 - 31.58) 0.000
Nebraska 19.43 (18.64 - 20.22) 27.43 (24.50 - 30.57) 0.000
Nevada 15.27 (13.87 - 16.66) 25.34 (22.49 - 28.42) 0.000
New Hampshire 15.79 (14.74 - 16.84) 25.11 (22.08 - 28.40) 0.000
New Jersey 15.02 (14.19 - 15.85) 24.38 (21.61 - 27.38) 0.000
New Mexico 14.06 (13.06 - 15.06) 24.99 (22.11 - 28.10) 0.000
New York 15.42 (14.87 - 15.96) 25.42 (23.38 - 27.57) 0.000
North Carolina 15.90 (14.93 - 16.86) 20.82 (18.47 - 23.39) 0.000
North Dakota 21.64 (20.52 - 22.75) 29.00 (25.43 - 32.85) 0.000
Ohio 17.59 (16.89 - 18.28) 26.38 (24.48 - 28.39) 0.000
Oklahoma 12.74 (11.89 - 13.59) 22.06 (19.39 - 24.99) 0.000
Oregon 16.92 (16.05 - 17.79) 24.03 (21.27 - 27.02) 0.000
Pennsylvania 16.05 (15.10 - 16.99) 22.31 (20.34 - 24.41) 0.000
Rhode Island 17.20 (16.09 - 18.31) 27.54 (23.94 - 31.45) 0.000
South Carolina 15.71 (14.89 - 16.53) 22.89 (20.00 - 26.06) 0.000
South Dakota 19.47 (17.64 - 21.31) 25.16 (21.90 - 28.72) 0.003
Tennessee 14.67 (13.69 - 15.66) 21.77 (18.98 - 24.86) 0.000
Texas 16.45 (15.55 - 17.35) 24.08 (22.50 - 25.74) 0.000
Utah 12.26 (11.63 - 12.89) 15.34 (13.33 - 17.58) 0.003
Vermont 17.61 (16.64 - 18.58) 28.57 (25.49 - 31.87) 0.000
Virginia 16.09 (15.29 - 16.88) 23.20 (21.33 - 25.18) 0.000
Washington 15.57 (15.07 - 16.08) 21.54 (18.92 - 24.42) 0.000
West Virginia 12.50 (11.68 - 13.31) 17.85 (15.13 - 20.95) 0.000
Wisconsin 20.87 (19.94 - 21.79) 30.97 (28.11 - 33.99) 0.000
Wyoming 17.11 (15.89 - 18.34) 23.83 (20.53 - 27.47) 0.000
BRFSS = Behavioral Risk Factor Surveillance System; NSDUH = National Survey on Drug Use and Health.
NOTE: Binge Alcohol Use is defined as drinking five or more drinks (for males) or four or more drinks (for females) on the same occasion (i.e., at the same time or within a couple of hours of each other) on at least 1 day in the past 30 days.
NOTE: NSDUH estimates along with 95 percent Bayesian confidence (credible) intervals are based on the survey-weighted hierarchical Bayes estimation approach and are generated by Markov Chain Monte Carlo techniques. BRFSS estimates are based on a survey-weighted direct estimation approach.
NOTE: The P Value is the probability of more extreme values than the observed difference between the BRFSS and NSDUH estimates under the null hypothesis of no difference.
1 In 2021, Florida was unable to collect enough BRFSS data to meet the minimum requirements for inclusion in the 2021 annual aggregate dataset. Thus, the BRFSS estimate for Florida is based on only the 2022 BRFSS data.
Source: SAMHSA, Center for Behavioral Health Statistics and Quality, National Survey on Drug Use and Health, 2021-2022; Centers for Disease Control and Prevention, Behavioral Risk Factor Surveillance System, 2021-2022.
Table 3 – Cigarette Use: Among People Aged 18 or Older; by State, Annual Average Percentages, BRFSS and NSDUH, 2021 and 2022
State 2021-2022
BRFSS1
(Estimate)
2021-2022 BRFSS1
(95% Confidence
Interval)
2021-2022
NSDUH2
(Estimate)
2021-2022 NSDUH2
(95% Confidence
Interval)
Alabama 16.43 (15.32 - 17.55) 21.24 (18.65 - 24.07)
Alaska 16.50 (15.45 - 17.56) 20.44 (17.50 - 23.73)
Arizona 12.89 (12.13 - 13.65) 16.13 (13.78 - 18.80)
Arkansas 19.93 (18.76 - 21.10) 22.57 (19.74 - 25.69)
California 9.39   (8.74 - 10.04) 10.95   (9.74 - 12.30)
Colorado 11.36 (10.81 - 11.92) 14.25 (12.24 - 16.54)
Connecticut 10.52   (9.81 - 11.22) 13.60 (11.38 - 16.17)
Delaware 13.15 (12.04 - 14.25) 17.03 (14.70 - 19.64)
District of Columbia 10.07   (8.97 - 11.17) 13.47 (11.23 - 16.06)
Florida3 11.33 (10.24 - 12.42) 14.97 (13.45 - 16.63)
Georgia 13.72 (12.86 - 14.57) 19.49 (17.51 - 21.64)
Hawaii 10.04   (9.34 - 10.74) 12.38 (10.24 - 14.90)
Idaho 12.61 (11.88 - 13.34) 15.61 (13.36 - 18.15)
Illinois 12.23 (11.24 - 13.23) 16.74 (14.94 - 18.71)
Indiana 16.77 (16.09 - 17.46) 21.61 (19.28 - 24.14)
Iowa 14.69 (14.01 - 15.37) 18.79 (16.01 - 21.93)
Kansas 15.15 (14.58 - 15.73) 19.40 (16.98 - 22.08)
Kentucky 18.66 (17.54 - 19.78) 24.99 (22.41 - 27.76)
Louisiana 18.05 (17.00 - 19.09) 23.82 (21.05 - 26.84)
Maine 15.32 (14.56 - 16.08) 19.03 (16.40 - 21.96)
Maryland 9.85   (9.32 - 10.37) 15.17 (13.08 - 17.54)
Massachusetts 10.47   (9.82 - 11.13) 13.10 (10.96 - 15.58)
Michigan 16.09 (15.36 - 16.82) 17.87 (16.22 - 19.65)
Minnesota 13.21 (12.69 - 13.73) 16.52 (13.98 - 19.40)
Mississippi 18.51 (17.32 - 19.69) 22.52 (19.85 - 25.42)
Missouri 17.08 (16.27 - 17.88) 23.54 (20.58 - 26.79)
Montana 14.82 (13.99 - 15.64) 17.13 (14.50 - 20.12)
Nebraska 13.27 (12.62 - 13.92) 16.36 (13.93 - 19.13)
Nevada 15.11 (13.72 - 16.50) 18.24 (15.73 - 21.05)
New Hampshire 11.74 (10.88 - 12.60) 14.58 (12.37 - 17.11)
New Jersey 10.57   (9.87 - 11.27) 11.76   (9.93 - 13.88)
New Mexico 14.04 (13.12 - 14.96) 19.51 (16.93 - 22.38)
New York 11.81 (11.35 - 12.27) 15.34 (13.67 - 17.17)
North Carolina 14.43 (13.42 - 15.44) 19.13 (16.82 - 21.68)
North Dakota 15.05 (14.09 - 16.02) 19.77 (16.75 - 23.19)
Ohio 17.51 (16.84 - 18.19) 23.06 (21.16 - 25.08)
Oklahoma 16.24 (15.35 - 17.13) 23.15 (20.44 - 26.11)
Oregon 12.40 (11.61 - 13.18) 15.49 (13.32 - 17.94)
Pennsylvania 14.62 (13.64 - 15.59) 16.54 (14.70 - 18.57)
Rhode Island 12.06 (11.16 - 12.95) 17.92 (15.10 - 21.14)
South Carolina 15.42 (14.64 - 16.21) 19.66 (16.99 - 22.63)
South Dakota 14.63 (12.99 - 16.27) 19.75 (16.91 - 22.95)
Tennessee 19.08 (18.01 - 20.16) 22.03 (19.19 - 25.16)
Texas 12.39 (11.64 - 13.15) 16.43 (14.98 - 17.99)
Utah 6.94 (6.45 - 7.42) 10.56   (8.96 - 12.40)
Vermont 13.80 (12.93 - 14.67) 18.50 (15.90 - 21.42)
Virginia 12.27 (11.60 - 12.94) 14.90 (13.37 - 16.58)
Washington 10.26   (9.83 - 10.69) 13.88 (11.78 - 16.28)
West Virginia 21.57 (20.59 - 22.55) 28.19 (24.89 - 31.74)
Wisconsin 13.91 (13.14 - 14.68) 16.54 (14.26 - 19.10)
Wyoming 15.98 (14.84 - 17.12) 20.30 (17.22 - 23.78)
BRFSS = Behavioral Risk Factor Surveillance System; NSDUH = National Survey on Drug Use and Health.
NOTE: NSDUH estimates along with 95 percent Bayesian confidence (credible) intervals are based on the survey-weighted hierarchical Bayes estimation approach and are generated by Markov Chain Monte Carlo techniques. BRFSS estimates are based on a survey-weighted direct estimation approach.
1 BRFSS respondents were classified as current smokers if they reported having smoked at least 100 cigarettes during their lifetime and indicated that they smoked every day or some days at the time of the survey.
2 NSDUH respondents were classified as past month cigarette users if they smoked all or part of a cigarette during the past 30 days.
3 In 2021, Florida was unable to collect enough BRFSS data to meet the minimum requirements for inclusion in the 2021 annual aggregate dataset. Thus, the BRFSS estimate for Florida is based on only the 2022 BRFSS data.
Source: SAMHSA, Center for Behavioral Health Statistics and Quality, National Survey on Drug Use and Health, 2021-2022; Centers for Disease Control and Prevention, Behavioral Risk Factor Surveillance System, 2021-2022.

Figure 1. Alcohol Use in the Past Month: Among People Aged 18 or Older; by State, Annual Average Percentages, BRFSS, 2021 and 2022

Figure 1. Follow the 'D' link at the right for the long description.     D

NOTE: In 2021, Florida was unable to collect enough BRFSS data to meet the minimum requirements for inclusion in the 2021 annual aggregate dataset. Thus, the BRFSS estimate for Florida is based on only the 2022 BRFSS data.
Source: Centers for Disease Control and Prevention, Behavioral Risk Factor Surveillance System Survey (BRFSS), 2021 and 2022.

Figure 2. Alcohol Use in the Past Month: Among People Aged 18 or Older; by State, Annual Average Percentages, NSDUH, 2021 and 2022

Figure 2. Follow the 'D' link at the right for the long description.     D

Source: SAMHSA, Center for Behavioral Health Statistics and Quality, National Survey on Drug Use and Health (NSDUH), 2021 and 2022.

Figure 3. Binge Alcohol Use in the Past Month: Among People Aged 18 or Older; by State, Annual Average Percentages, BRFSS, 2021 and 2022

Figure 3. Follow the 'D' link at the right for the long description.     D

NOTE: In 2021, Florida was unable to collect enough BRFSS data to meet the minimum requirements for inclusion in the 2021 annual aggregate dataset. Thus, the BRFSS estimate for Florida is based on only the 2022 BRFSS data.
Source: Centers for Disease Control and Prevention, Behavioral Risk Factor Surveillance System Survey (BRFSS), 2021 and 2022.

Figure 4. Binge Alcohol Use in the Past Month: Among People Aged 18 or Older; by State, Annual Average Percentages, NSDUH, 2021 and 2022

Figure 4. Follow the 'D' link at the right for the long description.     D

Source: SAMHSA, Center for Behavioral Health Statistics and Quality, National Survey on Drug Use and Health (NSDUH), 2021 and 2022.

Figure 5. Current Cigarette Use: Among People Aged 18 or Older; by State, Annual Average Percentages, BRFSS, 2021 and 2022

Figure 5. Follow the 'D' link at the right for the long description.     D

NOTE: In 2021, Florida was unable to collect enough BRFSS data to meet the minimum requirements for inclusion in the 2021 annual aggregate dataset. Thus, the BRFSS estimate for Florida is based on only the 2022 BRFSS data.
Source: Centers for Disease Control and Prevention, Behavioral Risk Factor Surveillance System Survey (BRFSS), 2021 and 2022.

Figure 6. Cigarette Use in the Past Month: Among People Aged 18 or Older; by State, Annual Average Percentages, NSDUH, 2021 and 2022

Figure 6. Follow the 'D' link at the right for the long description.     D

Source: SAMHSA, Center for Behavioral Health Statistics and Quality, National Survey on Drug Use and Health (NSDUH), 2021 and 2022.

End Notes

1 For further details about the YRBS and the Youth Risk Behavior Surveillance System, see the following webpage: https://www.cdc.gov/healthyyouth/data/yrbs/index.htm.

2 For more details about BRFSS in general, see the following webpage: https://www.cdc.gov/brfss/.

3 The District of Columbia is referred to as a “state” in this document.

4 A PDF of the complete 2022 NSDUH questionnaire is available at https://www.samhsa.gov/data/report/nsduh-2022-questionnaire.

5 “DK” = “don’t know” and “REF” = “refused.”

6 A PDF of the complete 2022 BRFSS questionnaire is available at https://www.cdc.gov/brfss/questionnaires/pdf-ques/2022-BRFSS-Questionnaire-508.pdf. In 2021, question CALC.01 had some additional text included (i.e., “such as beer, wine, a malt beverage or liquor”) as part of the question.

7 See the following website: https://www.samhsa.gov/data/report/2014-2015-nsduh-guide-state-tables-and-summary-small-area-estimation-methodology.

8 The expected value of an estimate is defined as the mean of the observed values of the estimate over repeated samples.

9 For more information about NSDUH’s small area estimation (SAE) confidence intervals, see Section B of 2021-2022 National Survey on Drug Use and Health: Guide to State Tables and Summary of Small Area Estimation Methodology at https://www.samhsa.gov/data/report/2021-2022-nsduh-guide-state-tables-and-summary-sae-methodology.

10 The first-order Taylor series approximation is defined as Variance v of function x is approximately equal to the variance v of x multiplied by the square of the first-order derivative of function x., where f prime times x is the first-order derivative of function x. If Function x equals the natural logarithm of x divided by 1 minus x., then The first-order derivative of function x is the reciprocal of x multiplied by 1 minus x..

11 See the following website: https://www.samhsa.gov/data/report/2021-2022-nsduh-national-maps-prevalence-estimates-state.

12 See Table C.6 in 2021-2022 Guide to State Tables and Summary of SAE Methodology at https://www.samhsa.gov/data/report/2022-nsduh-guide-state-tables-and-summary-sae-methodology.

13 For details, see https://www.cdc.gov/brfss/annual_data/annual_2022.html.

Long Descriptions—Equations and Figures

Long description, Equation 1. Variance v of the estimate of the log-odds ratio, lor hat, is a function of three quantities: q1, q2, and q3. It is expressed as the sum of q1 and q2 minus q3. Quantity q1 is the variance v of the natural logarithm of Theta b hat, quantity q2 is the variance v of the natural logarithm of Theta n hat, and quantity q3 is 2 times the covariance between the natural logarithm of Theta b hat and the natural logarithm of Theta n hat.

Long description end. Return to Equation 1.

Long description, Equation 2. Variance v of the natural logarithm of Theta sub n hat is equal to the square of quantity q. Quantity q is the difference between capital U sub n and capital L sub n divided by 2 times 1.96.

Long description end. Return to Equation 2.

Long description, Equation 3. Variance v of pi hat sub b is equal to the square of quantity q. Quantity q is the difference between upper sub b and lower sub b divided by 2 times 1.96.

Long description end. Return to Equation 3.

Long description, Equation 4. Variance v of the natural logarithm of Theta sub b hat is equal to the variance v of the natural logarithm of pi hat sub b divided by 1 minus pi hat sub b, which is then approximately equal to the variance v of pi hat sub b multiplied by the square of quantity q. Quantity q is the reciprocal of pi hat sub b multiplied by 1 minus pi hat sub b.

Long description end. Return to Equation 4.

Long description, Figure 1. Figure 1 is a U.S. map showing alcohol use in the past month: among adults aged 18 or Older; by State, annual average percentages, 2021 and 2022 BRFSSs. States listed here in alphabetical order within each group were divided into five groups based on the magnitude of their percentages. States in the highest group (58.11 to 67.02 percent) were Colorado, District of Columbia, Massachusetts, Minnesota, Montana, Nebraska, New Hampshire, North Dakota, Vermont, and Wisconsin. States in the next highest group (54.42 to 58.10 percent) were Connecticut, Florida, Iowa, Maine, New Jersey, Oregon, Rhode Island, South Dakota, Virginia, and Washington. States in the midgroup (52.29 to 54.41 percent) were Alaska, California, Delaware, Illinois, Kansas, Maryland, Michigan, New York, Ohio, Pennsylvania, and Wyoming. States in the next lowest group (47.80 to 52.28 percent) were Arizona, Georgia, Hawaii, Indiana, Louisiana, Missouri, Nevada, North Carolina, South Carolina, and Texas. States in the lowest group (33.19 to 47.79 percent) were Alabama, Arkansas, Idaho, Kentucky, Mississippi, New Mexico, Oklahoma, Tennessee, Utah, and West Virginia.

Long description end. Return to Figure 1.

Long description, Figure 2. Figure 2 is a U.S. map showing alcohol use in the past month: among adults aged 18 or Older; by State, annual average percentages, 2021 and 2022 NSDUHs. States listed here in alphabetical order within each group were divided into five groups based on the magnitude of their percentages. States in the highest group (57.74 to 66.25 percent) were Colorado, Connecticut, District of Columbia, Iowa, Montana, New Hampshire, North Dakota, Oregon, Vermont, and Wisconsin. States in the next highest group (54.84 to 57.73 percent) were Delaware, Illinois, Kansas, Massachusetts, Minnesota, Nebraska, New Jersey, Rhode Island, South Dakota, and Virginia. States in the midgroup (51.63 to 54.83 percent) were Alaska, Florida, Maine, Maryland, Michigan, Missouri, New York, Ohio, Pennsylvania, Washington, and Wyoming. States in the next lowest group (48.43 to 51.62 percent) were Arizona, California, Georgia, Idaho, Indiana, Louisiana, Nevada, New Mexico, South Carolina, and Texas. States in the lowest group (32.64 to 48.42 percent) were Alabama, Arkansas, Hawaii, Kentucky, Mississippi, North Carolina, Oklahoma, Tennessee, Utah, and West Virginia.

Long description end. Return to Figure 2.

Long description, Figure 3. Figure 3 is a U.S. map showing binge alcohol use in the past month: among adults aged 18 or Older; by State, percentages, 2021 and 2022 BRFSSs. States listed here in alphabetical order within each group were divided into five groups based on the magnitude of their percentages. States in the highest group (17.62 to 24.15 percent) were Alaska, Colorado, District of Columbia, Iowa, Minnesota, Montana, Nebraska, North Dakota, South Dakota, and Wisconsin. States in the next highest group (16.58 to 17.61 percent) were Hawaii, Kansas, Louisiana, Massachusetts, Missouri, Ohio, Oregon, Rhode Island, Vermont, and Wyoming. States in the midgroup (15.43 to 16.57 percent) were Arizona, California, Illinois, Michigan, New Hampshire, North Carolina, Pennsylvania, South Carolina, Texas, Virginia, and Washington. States in the next lowest group (14.23 to 15.42 percent) were Connecticut, Florida, Georgia, Idaho, Indiana, Maine, Nevada, New Jersey, New York, and Tennessee. States in the lowest group (12.26 to 14.22 percent) were Alabama, Arkansas, Delaware, Kentucky, Maryland, Mississippi, New Mexico, Oklahoma, Utah, and West Virginia.

Long description end. Return to Figure 3.

Long description, Figure 4. Figure 4 is a U.S. map showing binge alcohol use in the past month: among adults aged 18 or Older; by State, annual average percentages, 2021 and 2022 NSDUHs. States listed here in alphabetical order within each group were divided into five groups based on the magnitude of their percentages. States in the highest group (26.08 to 34.34 percent) were Colorado, District of Columbia, Louisiana, Montana, Nebraska, North Dakota, Ohio, Rhode Island, Vermont, and Wisconsin. States in the next highest group (24.39 to 26.07 percent) were Illinois, Iowa, Kansas, Massachusetts, Minnesota, Nevada, New Hampshire, New Mexico, New York, and South Dakota. States in the midgroup (22.88 to 24.38 percent) were Alaska, Arizona, Connecticut, Idaho, Michigan, New Jersey, Oregon, South Carolina, Texas, Virginia, and Wyoming. States in the next lowest group (21.55 to 22.87 percent) were California, Delaware, Florida, Hawaii, Indiana, Maryland, Missouri, Oklahoma, Pennsylvania, and Tennessee. States in the lowest group (15.34 to 21.54 percent) were Alabama, Arkansas, Georgia, Kentucky, Maine, Mississippi, North Carolina, Utah, Washington, and West Virginia.

Long description end. Return to Figure 4.

Long description, Figure 5. Figure 5 is a U.S. map showing current cigarette use: among adults aged 18 or Older; by State, annual average percentages, 2021 and 2022 BRFSSs. States listed here in alphabetical order within each group were divided into five groups based on the magnitude of their percentages. States in the highest group (16.44 to 21.57 percent) were Alaska, Arkansas, Indiana, Kentucky, Louisiana, Mississippi, Missouri, Ohio, Tennessee, and West Virginia. States in the next highest group (14.70 to 16.43 percent) were Alabama, Kansas, Maine, Michigan, Montana, Nevada, North Dakota, Oklahoma, South Carolina, and Wyoming. States in the midgroup (12.90 to 14.69 percent) were Delaware, Georgia, Iowa, Minnesota, Nebraska, New Mexico, North Carolina, Pennsylvania, South Dakota, Vermont, and Wisconsin. States in the next lowest group (11.34 to 12.89 percent) were Arizona, Colorado, Idaho, Illinois, New Hampshire, New York, Oregon, Rhode Island, Texas, and Virginia. States in the lowest group (6.94 to 11.33 percent) were California, Connecticut, District of Columbia, Florida, Hawaii, Maryland, Massachusetts, New Jersey, Utah, and Washington.

Long description end. Return to Figure 5.

Long description, Figure 6. Figure 6 is a U.S. map showing cigarette use in the past month: among adults aged 18 or Older; by State, annual average percentages, 2021 and 2022 NSDUHs. States listed here in alphabetical order within each group were divided into five groups based on the magnitude of their percentages. States in the highest group (21.25 to 28.19 percent) were Arkansas, Indiana, Kentucky, Louisiana, Mississippi, Missouri, Ohio, Oklahoma, Tennessee, and West Virginia. States in the next highest group (19.04 to 21.24 percent) were Alabama, Alaska, Georgia, Kansas, New Mexico, North Carolina, North Dakota, South Carolina, South Dakota, and Wyoming. States in the midgroup (16.53 to 19.03 percent) were Delaware, Illinois, Iowa, Maine, Michigan, Montana, Nevada, Pennsylvania, Rhode Island, Vermont, and Wisconsin. States in the next lowest group (14.59 to 16.52 percent) were Arizona, Florida, Idaho, Maryland, Minnesota, Nebraska, New York, Oregon, Texas, and Virginia. States in the lowest group (10.56 to 14.58 percent) were California, Colorado, Connecticut, District of Columbia, Hawaii, Massachusetts, New Hampshire, New Jersey, Utah, and Washington.

Long description end. Return to Figure 6.

Go to Top of Page