2021-2022
National Survey on Drug Use and Health:
Guide to State Tables and Summary of Small
Area Estimation Methodology

Section A: Overview of NSDUH and Model-Based State Estimates

A.1 Introduction

This document provides information on the model-based small area estimates of substance use and mental health disorders in states based on data from the combined 2021-2022 National Surveys on Drug Use and Health (NSDUHs). Note that the substance use treatment and mental health treatment estimates are based on data from the 2022 NSDUH only because there was no comparable data in 2021 for those measures (see Sections B.12 and B.13 for more details). Titles of all tables and maps indicate the years for which the estimates are produced. The combined 2021-2022 as well as the 2022-only state small area estimates henceforth will be referred as the 2021-2022 state estimates. These estimates are available online along with other related information.1

NSDUH is an annual survey of the civilian, noninstitutionalized population aged 12 or older, conducted from January through December, and is sponsored by the Substance Abuse and Mental Health Services Administration (SAMHSA). The survey collects information from individuals aged 12 or older residing in households, individuals residing in noninstitutionalized group quarters (e.g., shelters, rooming houses, dormitories), and civilians living on military bases. The 2021 and 2022 NSDUHs used multimode data collection, in which respondents completed the survey via the web or in person in eligible locations. In 2022, NSDUH collected data from 71,369 respondents aged 12 or older. Across 2021 and 2022 combined, NSDUH collected data from 141,219 respondents aged 12 or older, from the 50 states and the District of Columbia.

NSDUH is planned and managed by SAMHSA's Center for Behavioral Health Statistics and Quality (CBHSQ). Data collection and analysis are conducted under contract with RTI International.2 A summary of NSDUH's methodology is given in Section A.2. Section A.3 lists all the tables and files associated with the 2021-2022 state estimates. Section A.4 provides details on the suppression criteria used for suppressing the estimates. Information is given in Section A.5 on the confidence intervals and margins of error and how to make interpretations with respect to the small area estimates. Section A.6 discusses related substance use measures and warns users about not drawing conclusions by subtracting small area estimates from two different measures. Section A.7 briefly discusses methodological changes for the 2021 and 2022 NSDUHs.

The survey-weighted hierarchical Bayes (SWHB) small area estimation (SAE) methodology used in the production of state estimates from the 1999 to 20213 surveys also was used in the production of the 2021-2022 state estimates. The SWHB methodology is described in Appendix E of the 2001 state report (Wright, 2003b) and in Folsom and colleagues (1999). A general model description is given in Section B.1 of this document. A list of measures (outcomes) for which small area estimates are produced is given in Section B.2. Predictors used in the 2021-2022 SAE modeling are listed and described in Section B.3. Selection of predictors for SAE modeling is described in Section B.4.

Small area estimates obtained using the SWHB methodology are design consistent (i.e., the small area estimates for states with large sample sizes are close to the robust design-based estimates). Additionally, the national small area estimates4 are very close to the national design-based estimates. However, to ensure internal consistency, it is desirable to have the national small area estimates exactly match the national design-based estimates. This process is called “benchmarking.” The benchmarked state-level estimates are also potentially less biased than the unbenchmarked state-level estimates. Beginning in 2002, exact benchmarking was introduced, as described in Section B.5. The census region-level estimates in the tables are population-weighted aggregates of the benchmarked state-level estimates. Tables of the estimated numbers of individuals associated with each measure are available online,5 and an explanation of how these counts and their respective Bayesian confidence intervals6 are calculated can be found in Section B.6. Section B.7 discusses the method to compute aggregated estimates by combining two age groups. The definition and explanation of the formula used in estimating the marijuana initiation rate are given in Section B.8, whereas Section B.12 contains the associated information for did not receive substance use treatment among those classified as needing treatment.

State estimates for the age groups 12 to 17, 18 to 25, 26 or older, 18 or older, and 12 or older7 are provided for all measures except for any mental illness (AMI), serious mental illness (SMI), receipt of mental health treatment, major depressive episode (MDE), serious thoughts of suicide, suicide plans, and suicide attempts. Additionally, estimates for youths aged 12 to 17 are not available for past year heroin use because heroin use in the past year for youths aged 12 to 17 was extremely rare in the 2021-2022 NSDUHs. As a result, estimates of past year heroin use for people aged 12 or older are also not produced.

Estimates of underage (aged 12 to 20) alcohol use, binge alcohol use, perceptions of great risk from having five or more drinks of an alcoholic beverage once or twice a week, and alcohol use disorder were also produced.8 Alcohol consumption is expected to differ significantly across the 18 to 25 age group because of the legalization of alcohol at age 21. Therefore, it was decided that it would be useful to produce small area estimates for people aged 12 to 20. A short description of the methodology used to produce underage drinking estimates is provided in Section B.9.

The remainder of Section B covers four additional topics:

In Section C, the 2022 and 2021-2022 combined survey sample sizes, response rates, and population estimates are included in Tables C.1 to C.6.

A.2 Summary of NSDUH Methodology

NSDUH is the primary source of statistical information on the use of tobacco, alcohol, prescription pain relievers, and other substances (e.g., marijuana, cocaine) by the U.S. civilian, noninstitutionalized population aged 12 or older. The survey also includes several series of questions that focus on mental health issues. NSDUH has been ongoing since 1971 and is conducted by the federal government. The survey collects information from residents of households, residents of noninstitutional group quarters (e.g., shelters, rooming houses, dormitories), and civilians living on military bases. NSDUH excludes homeless people who do not use shelters, military personnel on active duty, and residents of institutional group quarters, such as jails and hospitals. From 1999 to 2019, the data were collected via face-to-face (in-person) interviews at a respondent's place of residence using a combination of computer-assisted personal interviewing conducted by an interviewer and audio computer-assisted self-interviewing. Because of the coronavirus disease 2019 (COVID-19) pandemic, an additional web data collection mode was introduced to the 2020 NSDUH and continued to be used in the 2021 and 2022 surveys.

The 2022 sample was selected using the coordinated sample design developed for the 2014 through 2022 NSDUHs. The coordinated sample design is state based, with an independent, multistage area probability sample within each state and the District of Columbia. This design designates 12 states as large sample states. These 12 states have the following target sample sizes per year: 4,560 interviews in California; 3,300 interviews in Florida, New York, and Texas; 2,400 interviews in Illinois, Michigan, Ohio, and Pennsylvania; and 1,500 interviews in Georgia, New Jersey, North Carolina, and Virginia. Making the sample sizes more proportional to the state population sizes improves the precision of national NSDUH estimates. This change also allows for a more cost-efficient sample allocation to the largest states while slightly increasing the sample sizes in smaller states to improve the precision of state estimates. (Note that the target sample size per year in the small states is 960 interviews, except for Hawaii, where the target sample size is 967 interviews.) The fielded sample sizes for each state in 2021-2022 combined are provided in Table C.3.

Nationally in 2021-2022, a total of approximately 438,200 dwelling units (DUs) were screened, and approximately 141,220 individuals responded within the screened DUs (see Table C.3). The weighted screening response rate (SRR) was 23.86 percent, the weighted interview response rate (IRR) was 46.84 percent, and the overall weighted response rate (ORR) was 11.17 percent (Table C.3). The ORRs ranged from 8.45 percent in New Jersey to 17.66 percent in Vermont. Estimates reflect the probability of selection, unit nonresponse, poststratification to known census population estimates, item imputation, and other aspects of the estimation process. These procedures are described in detail in 2021-2022 National Survey on Drug Use and Health: Methodological Resource Book (CBHSQ, 2023b).

All sampled DUs9 are screened to confirm eligibility and to select zero, one, or two members to participate in the survey. The weighted SRR is defined as the weighted number of successfully screened DUs10 divided by the weighted number of eligible DUs, or

Equation 1. Click 'D' link to access long description.,     D

where w sub D U is the inverse of the unconditional probability of selection for the DU and excludes all adjustments for nonresponse and poststratification.

In successfully screened DUs, eligible DU members who were selected were asked to complete the interview. The weighted IRR for NSDUH is defined as the weighted number of respondents divided by the weighted number of selected people, or

Equation 2. Click 'D' link to access long description.,     D

where w sub i is the inverse of the probability of selection for the ith person and includes DU-level nonresponse and poststratification adjustments. In an effort to maximize the IRR, all respondents were offered at least a $30 incentive to encourage them to complete the 2022 NSDUH interview, similar to 2021. Some Quarter 4 respondents in 2022 were given a $5 prepaid screening incentive and/or a $50 interview incentive as part of an incentives experiment to test whether these changes increased the screening and interview response rates (see Section 2.1.2 in 2022 Methodological Resource Book [CBHSQ, 2023b]). To be considered a completed interview, a respondent must provide enough data to pass the usable case rule.11

The weighted ORR is defined as the product of the weighted SRR and the weighted IRR or

Equation 3. Click 'D' link to access long description..     D

For more details on the screening and response rates, see Section 3.3.1 in 2021-2022 National Survey on Drug Use and Health: Methodological Summary and Definitions (CBHSQ, 2023c).

A.3 Presentation of Data

This section lists all products associated with the 2021-2022 state estimates. As mentioned earlier, the substance use treatment and mental health treatment estimates are based on data from the 2022 NSDUH only because there was no comparable data in 2021 for the treatment measures, whereas estimates for all other measures are based on the combined 2021-2022 data. Historically, starting with the 2002-2003 state report through the 2018-2019 state report, the state estimates have been produced by pooling 2 years of NSDUH data except for the 2002 state report where estimates were based only on 2002 data. The pooling of a current year's data with a previous year's data to produce state estimates was recommended by an SAE expert panel12 to increase the precision of year-to-year change estimates (e.g., 2017 to 2018 vs. 2018 to 2019). The panel also noted that a single year of NSDUH data is sufficient to produce reliable state estimates.

The following products exclude age groups 12 to 17 and 12 or older for past year heroin use because in 2021-2022, heroin use among youths aged 12 to 17 was very rare. Additionally, a suppression rule was applied to the state small area estimates, and suppressed estimates are noted by an asterisk (*) in the various tables discussed below. Information about the suppression criteria can be found in Section A.4. Except for some state estimates for did not receive substance use treatment in the past year among people aged 12 to 17 classified as needing treatment, no other state estimate was suppressed. In addition to this methodology document for the 2021-2022 state estimates, the following products are available at https://www.samhsa.gov/data/nsduh/state-reports-NSDUH-2022:

A.4 Suppression Criteria for State Estimates

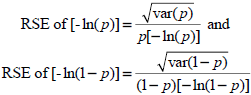
Beginning in 2021, suppression is applied to unreliable state estimates. The estimates meeting the suppression criteria discussed here are designated as unreliable and are not shown in tables and are noted by asterisks (*). The suppression criterion is based on a combination of the relative standard error (RSE) of the negative of the natural logarithm of p, where p denotes the state by age group level small area estimate, or the negative of the natural logarithm of 1 minus p, where p denotes the state by age group level small area estimate, and the effective sample size (EFN), where p denotes the unbenchmarked small area estimate and natural logarithm of p denotes the natural logarithm of p. For p ≤ 50 percent, an RSE of the negative of the natural logarithm of p, where p denotes the state by age group level small area estimate, is used, and for p > 50 percent, an RSE of the negative of the natural logarithm of 1 minus p, where p denotes the state by age group level small area estimate, is used. The separate formulas for p ≤ 50 percent and p > 50 percent produce a symmetric suppression rule; that is, if p is suppressed, then so will (1 − p). By using the first-order Taylor series approximation method, an estimate of an RSE of the negative of the natural logarithm of p, and an RSE of the negative of the natural logarithm of 1 minus p, where p denotes the state by age group level small area estimate, is given by

Equation 4. Click 'D' link to access long description.,     D

where variance of p, where p denotes the state by age group level small area estimate, denotes the posterior variance of p. The EFN is defined as The effective sample size is defined as the raw sample size divided by the design effect., where n denotes the raw sample size and design effect is defined as the product of the raw sample size and the posterior variance of p, divided by the product of p and 1 minus p; hence, The effective sample size is calculated as the product of p and 1 minus p divided by the posterior variance of p.. A lower bound of 0.2 also was imposed on the design effects (i.e., all design effects that were less than 0.2 were changed to 0.2) to avoid publishing state-by-age group estimates with very small sample sizes or small prevalence estimates.

The following criterion was used to suppress state small area estimates:

when p < 5.23 percent, then suppress if an RSE of the negative of the natural logarithm of p, where p denotes the state by age group level small area estimate, > 17.5 percent; when 5.23 percent ≤ p ≤ 94.77 percent, then suppress if the EFN ≤ 68; and when p > 94.77 percent, then suppress if an RSE of the negative of the natural logarithm of 1 minus p > 17.5 percent.

The graph shown in Figure 1 describes the relationship between p and the EFN for an RSE of the negative of the natural logarithm of p = 17.5 percent when p ≤ 50 percent and for an RSE of the negative of the natural logarithm of 1 minus p = 17.5 percent when p > 50 percent. The suppression criterion switches to EFN between 5.23 percent and 94.77 percent so that the EFN is not allowed to fall below the EFN of 68 required at p = 50 percent.

Figure 1. Small Area Estimate versus Effective Sample Size when the Relative Standard Error Equals 17.5 Percent

Figure 1. Click 'D' link to access long description.     D

A.5 Confidence Intervals and Margins of Error

At the top of each of the 37 tables showing state-level model-based estimates13 is the design-based national estimate along with a 95 percent design-based confidence interval, all of which are based on the survey design, the survey weights, and the reported data. The state estimates are model-based statistics (using SAE methodology) that have been adjusted (benchmarked) such that the population-weighted mean of the estimates across the 50 states and the District of Columbia equals the design-based national estimate. For more details on this benchmarking, see Section B.5. The census region-level estimates are also benchmarked and are obtained by taking the population-weighted mean of the associated state-level benchmarked estimates. Associated with each state and regional estimate is a 95 percent Bayesian confidence interval. These intervals indicate the uncertainty in the estimate due to both sampling variability and model fit. For example, the state with the highest estimate of past month use of marijuana for young adults aged 18 to 25 in 2021-2022 was Vermont, with an estimate of 38.8 percent and a 95 percent Bayesian confidence interval that ranged from 33.2 to 44.7 percent (see Table 3 of the 2021-2022 Model-Based Prevalence Estimates report [CBHSQ, 2023d]). Assuming that sampling and modeling conditions held, the Bayes posterior probability was 0.95 that the true percentage of past month marijuana use in Vermont for young adults aged 18 to 25 in 2021-2022 was between 33.2 and 44.7 percent. As noted earlier in footnote 6, the term “prediction interval” (PI) was used in the 2004-2005 NSDUH state report (Wright et al., 2007) and prior reports to represent uncertainty in the state and regional estimates. However, that term also is used in other applications to estimate future values of a parameter of interest. That interpretation does not apply to NSDUH state model-based estimates, so PI was replaced with “Bayesian confidence interval.”

“Margin of error” is another term used to describe uncertainty in the estimates. For example, if (lower interval l comma and upper interval u) is a 95 percent symmetric confidence interval for the population proportion (p) and p hat is an estimate of p obtained from the survey data, then the margin of error of p hat is given by (u minus p hat) or (p hat minus l). When (lower interval l comma and upper interval u) is a symmetric confidence interval, (u minus p hat) will be the same as (p hat minus l). The margin of error will vary for each estimate and will be affected not only by the sample size (e.g., the larger the sample, the smaller the margin of error) but also by the sample design (e.g., telephone surveys using random digit dialing and surveys employing a stratified multistage cluster design will, more than likely, produce a different margin of error) (Scheuren, 2004).

The confidence intervals shown in NSDUH state reports are asymmetric, meaning that the distance between the estimate and the lower confidence limit will not be the same as the distance between the upper confidence limit and the estimate. For example, Utah's 2021-2022 past month marijuana use estimate is 17.1 percent for young adults aged 18 to 25, with a 95 percent Bayesian confidence interval equal to 13.7 to 21.0 percent (see Table 3 of the 2021-2022 Model-Based Prevalence Estimates report [CBHSQ, 2023d]). Therefore, Utah's estimate is 3.4 (i.e., 17.1 − 13.7) percentage points from the lower 95 percent confidence limit and 3.9 (i.e., 21.0 − 17.1) percentage points from the upper limit. These asymmetric confidence intervals work well for small percentages often found in NSDUH state estimate tables and reports while still being appropriate for larger percentages. Some surveys or polls provide only one margin of error for all reported percentages. This single number is usually calculated by setting the sample percentage estimate (p hat) equal to 50 percent, which will produce an upper bound or maximum margin of error. Such an approach would not be feasible in this situation because the NSDUH state estimates vary from less than 1 percent to more than 75 percent; hence, applying a single margin of error to these estimates could significantly overstate or understate the actual precision levels. Therefore, given the differences mentioned above, it is more useful and informative to report the confidence interval for each estimate instead of a margin of error.

When it is indicated that a state has the highest or lowest estimate, it does not imply that the state's estimate is significantly higher or lower than the next highest or lowest state's estimate. Additionally, two significantly different state estimates (at the 5 percent level of significance) may have overlapping 95 percent confidence intervals. For details on a more accurate test to compare state estimates, see 2021-2022 National Survey on Drug Use and Health: Comparison of Population Percentages from the United States, Census Regions, States, and the District of Columbia (CBHSQ, forthcoming a).

A.6 Related Measures

State estimates are produced for a number of related measures, such as marijuana use in the past month and illicit drug use in the past month, or SMI and AMI. It might appear that one could draw conclusions by subtracting one from the other (e.g., subtracting the percentage who misused pain relievers in the past year from the percentage who misused opioids [misuse of pain relievers or use of heroin] in the past year to find the percentage who used only heroin in the past year but did not misuse pain relievers). Because related measures have been estimated separately with different models, subtracting the percentage of one measure from the percentage of another related measure at the state or census region level can give misleading results, perhaps even a “negative" estimate, and should be avoided. Users are advised to view the estimates along with their respective confidence intervals to get a better idea of the range in which the “true" value of the prevalence rate might fall (see Section A.5 for more details).

However, at the national level, because these estimates are design-based estimates, such comparisons can be made. For example, at the national level, subtracting estimates for cigarette use in the past month from the estimates of tobacco use in the past month will give the estimate of people who did not use cigarettes in the past month but used other forms of tobacco, such as cigars, pipes, or smokeless tobacco, in the past month.

A.7 2021 and 2022 NSDUH Methodological Changes and Implication for Estimates

Similar to the 2020 NSDUH, the COVID-19 pandemic affected data collection for the 2021 and 2022 NSDUHs. The 2021 and 2022 NSDUHs continued the use of multimode data collection procedures that were first implemented in October 2020 for the 2020 NSDUH. Multimode data collection was used for the entire 2021 and 2022 NSDUH samples; however, the proportion of in-person interviews gradually increased from the beginning to the end of 2021. In 2022, more than half of the interviews in Quarter 1 were completed via the web, but for the remaining quarters in 2022, the majority of interviews were completed in person. The multimode nature of the 2021 and 2022 NSDUHs, however, marks an important methodological change from prior years. This section discusses special methodological issues specific to 2021 and 2022 NSDUHs. More detailed information can be found in Chapter 6 of 2021 National Survey on Drug Use and Health: Methodological Summary and Definitions (CBHSQ, 2022b).

A.7.1 Special Adjustment for the 2021 and 2022 NSDUH Weights

As discussed earlier in this section, the proportions of interviews that were completed in person or via the web can vary by quarter. These quarterly variations can affect the overall annual proportions of interviews completed in each mode. Throughout 2021, local differences in COVID-19 infection rates affected the availability of in-person data collection. However, in-person data collection for the 2022 NSDUH was permitted in all areas starting in February 2022.

In 2021, 76.6 percent of interviews were completed via the web in Quarter 1 (January through March), but this proportion had decreased to 41.1 percent by Quarter 4 (October through December). Overall for 2021, 54.6 percent of interviews were completed via the web, and 45.4 percent were completed in person.

In 2022, more than half of the interviews in Quarter 1 (52.1 percent) were completed via the web; positive test results for COVID-19 peaked in early January 2022 for the Omicron variant (Centers for Disease Control and Prevention, n.d.). For the remaining quarters in 2022, the majority of interviews were completed in person. The percentages of interviews that were completed via the web were 37.3 percent in Quarter 2 (April to June), 43.7 percent in Quarter 3 (July to September), and 38.6 percent in Quarter 4 (October to December). Overall, 42.4 percent of interviews were completed via the web, and 57.6 percent were completed in person. Analyses conducted for the 2021 NSDUH indicated that key substance use and mental health estimates differed between data collection modes (i.e., web or in person), also known as “mode effects.” See Chapter 6 in the 2021 Methodological Summary and Definitions report (CBHSQ, 2022b).

Once the interviews that are completed via the web or in person stabilize to consistent proportions, any mode effect will also be consistent and will minimally affect changes in estimates over time. However, as the differences by quarter show, the proportions of interviews completed via the web or in person had not stabilized in 2021 and 2022. Consequently, mode effects could distort differences in estimates between 2021 and 2022, unless the analysis weights are adjusted to take into account these different proportions.

The expected proportions when multimode data collection stabilizes are 30 percent of interviews completed via the web and 70 percent completed in person. Therefore, for the 2022 NSDUH weights, mode was included as a main effect in the person-level poststratification adjustment, with a 30 percent target for the web mode and a 70 percent target for the in-person mode to standardize the weighted proportions for each mode. This adjustment was added for the 2022 weighting procedures to facilitate comparisons of estimates over time.

Without this adjustment, the weighted proportions of interviews for 2022 would have been 31.8 percent for the web interviews and 68.2 for in-person interviews. These unadjusted proportions suggest that it would be reasonable to assume that proportions of 30 percent of interviews being completed via the web and 70 percent being completed in person would result when multimode data collection stabilizes following the end of the COVID-19 public health emergency. Nevertheless, the weights for 2022 still required some adjustment to achieve these targeted proportions for facilitating comparison of estimates between 2022 and future years.

This mode adjustment also was applied to the weights for 2021 to produce revised weights. For 2021, the weighted proportions were 39.2 percent for web interviews and 60.8 percent for in-person interviews. Making a similar adjustment to the 2021 weights to assume the respective 30/70 proportions for web and in-person interviews allows estimates for 2021 to be combined or compared with those in 2022 and future survey years without differences in estimates being confounded by changes in proportions of interviews in each mode. These adjusted 2021 analysis weights were used to produce the 2021-2022 small area estimates.

A.7.2 Comparisons with Prior Years

The 2021 and 2022 NSDUHs used multimode data collection, in which respondents completed the survey in person or via the web. Methodological investigations led to the conclusion that estimates based on multimode data collection since 2021 are not comparable with estimates from 2020 or prior years. Chapter 6 in the 2021 National Survey on Drug Use and Health (NSDUH): Methodological Resource Book (CBHSQ, 2022a) discusses these methodological investigations in greater detail. Thus, the 2021-2022 small area estimates should not be compared to state estimates from prior years.

Section B: State Model-Based Estimation Methodology

B.1 General Model Description

The state small area estimation (SAE) model is a complex mixed14 (including both fixed and random effects) logistic regression model of the following form:

Equation 5. Click 'D' link to access long description.,     D

where pi sub a, i, j, k is the probability of engaging in the behavior of interest (e.g., using marijuana in the past month) for person-k belonging to age group-a in grouped state sampling region (SSR)-j of state-i.15 Let x sub a, i, j, k denote a p sub a times 1 vector of predictor variables (independent variables or fixed effects) associated with age group-a (12 to 17, 18 to 25, 26 to 34, and 35 or older) and beta sub a denote the associated vector of the regression parameters. The age group-specific vectors of the auxiliary variables are defined for every block group in the nation and include person-level demographic variables, such as race/ethnicity and gender. The vectors of state-level random effects An eta sub i is a transposed vector of values eta sub 1, i and so on until eta sub capital A, i. and grouped SSR-level random effects A nu sub i, j is a vector of transposed values nu sub 1, i, j and so on until nu sub capital A, i, j. are assumed to be mutually independent with An eta sub i is normally distributed with mean 0 and variance denoted by matrix capital D sub eta. and A nu sub i, j is normally distributed with mean 0 and variance denoted by matrix capital D sub nu. where capital A is the total number of individual age groups modeled (generally, Capital A equals 4.). For hierarchical Bayes (HB) estimation purposes, an improper uniform prior distribution is assumed for beta sub a, and proper Wishart prior distributions are assumed for inverse of capital D sub eta and inverse of capital D sub nu. The HB solution for pi sub a, i, j, k involves a series of complex Markov Chain Monte Carlo (MCMC) steps to generate values of the desired fixed and random effects from the underlying joint posterior distribution. The basic process is described in Folsom and colleagues (1999), Shah and colleagues (2000), and Wright (2003a, 2003b).

Once the required number of MCMC samples (1,250 in all) for the parameters of interest are generated and tested for convergence properties (see Raftery & Lewis, 1992), the small area estimates for each race/ethnicity × gender cell within a block group can be obtained for each age group. These block group-level small area estimates then can be aggregated using the appropriate population count projections for the desired age group(s) to form state-level small area estimates. These state-level small area estimates are benchmarked to the national design-based estimates as described in Section B.5.

B.2 Measures (Outcomes) Modeled

The following list contains all binary (0,1) measures for which age group-specific state estimates were produced. For measures 26 to 28 and 31 listed as follows, only data from the 2022 National Survey on Drug Use and Health (NSDUH) data were used, and for all other measures, 2021-2022 combined NSDUH data were used to produce estimates.

  1. illicit drug use in the past month,
  2. marijuana use in the past year,
  3. marijuana use in the past month,
  4. perceptions of great risk from smoking marijuana once a month,
  5. first use of marijuana in the past year among people at risk for initiation of marijuana use,16
  6. illicit drug use other than marijuana in the past month,
  7. cocaine use in the past year,
  8. perceptions of great risk from using cocaine once a month,
  9. heroin use in the past year,
  10. perceptions of great risk from trying heroin once or twice,
  11. hallucinogen use in the past year,
  12. methamphetamine use in the past year,
  13. prescription pain reliever misuse in the past year,
  14. opioid misuse in the past year,
  15. alcohol use in the past month,17
  16. binge alcohol use in the past month,18
  17. perceptions of great risk from having five or more drinks of an alcoholic beverage once or twice a week,19
  18. tobacco product use in the past month,
  19. cigarette use in the past month,
  20. perceptions of great risk from smoking one or more packs of cigarettes per day,
  21. substance use disorder (SUD) in the past year,
  22. alcohol use disorder in the past year,20
  23. drug use disorder in the past year,
  24. pain reliever use disorder in the past year,
  25. opioid use disorder in the past year,
  26. received substance use treatment in the past year,
  27. classified as needing substance use treatment in the past year,
  28. did not receive substance use treatment in the past year among people classified as needing treatment,
  29. any mental illness (AMI) in the past year,
  30. serious mental illness (SMI) in the past year,
  31. received mental health treatment in the past year,
  32. major depressive episode (MDE) in the past year,
  33. had serious thoughts of suicide in the past year,
  34. made any suicide plans in the past year, and
  35. attempted suicide in the past year.

B.3 Predictors Used in Mixed Logistic Regression Models

Local area data used as potential predictor variables in the mixed logistic regression models were obtained from the following sources:

Data sources, along with the description of potential predictor variables obtained from each source, are provided in the following lists.

Claritas Data (Description) Claritas Data (Level)
% Population Aged 0 to 19 in Block Group Block Group
% Population Aged 20 to 24 in Block Group Block Group
% Population Aged 25 to 34 in Block Group Block Group
% Population Aged 35 to 44 in Block Group Block Group
% Population Aged 45 to 54 in Block Group Block Group
% Population Aged 55 to 64 in Block Group Block Group
% Population Aged 65 or Older in Block Group Block Group
% Non-Hispanic Blacks in Block Group Block Group
% Hispanics in Block Group Block Group
% Non-Hispanic Other Races in Block Group Block Group
% Non-Hispanic Whites in Block Group Block Group
% Males in Block Group Block Group
% American Indians, Eskimos, Aleuts in Tract Tract
% Asians, Pacific Islanders in Tract Tract
% Population Aged 0 to 19 in Tract Tract
% Population Aged 20 to 24 in Tract Tract
% Population Aged 25 to 34 in Tract Tract
% Population Aged 35 to 44 in Tract Tract
% Population Aged 45 to 54 in Tract Tract
% Population Aged 55 to 64 in Tract Tract
% Population Aged 65 or Older in Tract Tract
% Non-Hispanic Blacks in Tract Tract
% Hispanics in Tract Tract
% Non-Hispanic Other Races in Tract Tract
% Non-Hispanic Whites in Tract Tract
% Males in Tract Tract
% Population Aged 0 to 19 in County County
% Population Aged 20 to 24 in County County
% Population Aged 25 to 34 in County County
% Population Aged 35 to 44 in County County
% Population Aged 45 to 54 in County County
% Population Aged 55 to 64 in County County
% Population Aged 65 or Older in County County
% Non-Hispanic Blacks in County County
% Hispanics in County County
% Non-Hispanic Other Races in County County
% Non-Hispanic Whites in County County
% Males in County County
American Community Survey (ACS) (Description) ACS Data (Level)
% Population Who Dropped Out of High School Tract
% Housing Units Built in 1940 to 1949 Tract
% Females 16 Years or Older in Labor Force Tract
% Females Never Married Tract
% Females Separated, Divorced, Widowed, or Other Tract
% One-Person Households Tract
% Males 16 Years or Older in Labor Force Tract
% Males Never Married Tract
% Males Separated, Divorced, Widowed, or Other Tract
% Housing Units Built in 1939 or Earlier Tract
Average Number of Persons per Room Tract
% Families below Poverty Level Tract
% Households with Public Assistance Income Tract
% Housing Units Rented Tract
% Population with 9 to 12 Years of School, No High School Diploma Tract
% Population with 0 to 8 Years of School Tract
% Population with Associate's Degree Tract
% Population with Some College and No Degree Tract
% Population with Bachelor's, Graduate, Professional Degree Tract
% Housing Units with No Telephone Service Available Tract
% Households with No Vehicle Available Tract
% Population with No Health Insurance Tract
Median Rents for Rental Units Tract
Median Value of Owner-Occupied Housing Units Tract
Median Household Income Tract
% Families below the Poverty Level County
Uniform Crime Report (UCR) Data (Description) UCR Data (Level)
Drug Possession Arrest Rate County
Drug Sale or Manufacture Arrest Rate County
Drug Violations' Arrest Rate County
Marijuana Possession Arrest Rate County
Marijuana Sale or Manufacture Arrest Rate County
Opium or Cocaine Possession Arrest Rate County
Opium or Cocaine Sale or Manufacture Arrest Rate County
Other Drug Possession Arrest Rate County
Other Dangerous Non-Narcotics Arrest Rate County
Serious Crime Arrest Rate County
Violent Crime Arrest Rate County
Driving under Influence Arrest Rate County
Other Categorical Data (Description) Other Categorical Data (Source) Other Categorical Data
(Level)
= 1 if Hispanic, = 0 Otherwise National Survey on Drug Use and
Health (NSDUH) Sample
Person
= 1 if Non-Hispanic Black, = 0 Otherwise NSDUH Sample Person
= 1 if Non-Hispanic Other, = 0 Otherwise NSDUH Sample Person
= 1 if Male, = 0 if Female NSDUH Sample Person
= 1 if Metropolitan Statistical Area (MSA) with
≥ 1 Million, = 0 Otherwise
2010 Census County
= 1 if MSA with < 1 Million, = 0 Otherwise 2010 Census County
= 1 if Non-MSA Urban, = 0 Otherwise 2010 Census Tract
= 1 if Urban Area, = 0 if Rural Area 2010 Census Tract
= 1 if No Cubans in Tract, = 0 Otherwise 2010 Census Tract
= 1 if No Arrests for Dangerous Non-Narcotics,
= 0 Otherwise
Uniform Crime Report (UCR) County
= 1 if No Arrests for Opium or Cocaine Possession,
= 0 Otherwise
UCR County
= 1 if No Housing Units Built in 1939 or Earlier,
= 0 Otherwise
American Community Survey
(ACS)
Tract
= 1 if No Housing Units Built in 1940 to 1949,
= 0 Otherwise
ACS Tract
= 1 if No Households with Public Assistance
Income, = 0 Otherwise
ACS Tract
Miscellaneous Data (Description) Miscellaneous Data (Source) Miscellaneous Data
(Level)
Alcohol Death Rate, Underlying Cause National Center for Health Statistics' International
Classification of Diseases, 10th revision (NCHS-
ICD-10)
County
Cigarette Death Rate, Underlying Cause NCHS-ICD-10 County
Drug Death Rate, Underlying Cause NCHS-ICD-10 County
Alcohol Treatment Rate National Survey of Substance Abuse Treatment
Services (N-SSATS)
County
Alcohol and Drug Treatment Rate N-SSATS County
Drug Treatment Rate N-SSATS County
Unemployment Rate Bureau of Labor Statistics (BLS) County
Per Capita Income (in Thousands) Bureau of Economic Analysis (BEA) County
Average Suicide Rate (per 10,000) NCHS-ICD-10 County
Food Stamp Participation Rate Census Bureau County
Single State Agency Maintenance of
Effort
National Association of State Alcohol and Drug
Abuse Directors (NASADAD)
State
Block Grant Awards Substance Abuse and Mental Health Services
Administration (SAMHSA)
State
Cost of Services Factor Index SAMHSA State
Total Taxable Resources per Capita
Index
U.S. Department of Treasury State
% Hispanics Who Are Cuban 2010 Census Tract

The predictor variables used in the SAE models were selected from the set of potential predictors given above using the method described in Section B.4.

B.4 Selection of Predictor Variables for the SAE Models

Predictor variable selection was done using the 2021-2022 data for all measures (except the substance use treatment and mental health treatment measures, which used only 2022 data), using the following multistep process:22

  1. For each measure, age group-specific23 SAS® stepwise logistic regression models were fit using the sample data (SAS Institute Inc., 2017). The input list to these models included all linear polynomials (constructed from continuous predictor variables) and other categorical or indicator variables given in Section B.3. All significant predictors were input to step 2, given as follows.
  2. Using the sample, all significant predictors from step 1 then were input to PROC HPSPLIT to identify significant complex (at most three-way) interaction terms. PROC HPSPLIT is a SAS procedure that uses decision-tree algorithms to build classification systems. The exhaustive chi-squared automatic interaction detector algorithm was used to create the trees.
  3. All the significant variables from step 1, along with their corresponding higher-order polynomials (quadratic and cubic), interaction of gender and race, and the significant interactions detected by PROC HPSPLIT in step 2 then were input to SAS stepwise logistic regression models. All predictors that remained significant then were input to step 4 of variable selection.
  4. All significant variables from step 3 were input to fit SUDAAN (RTI International, 2013) logistic regression models, and predictors that remained significant were used in the SAE models described in Section B.1. The race and gender predictors were forced in most of the models.

B.5 Benchmarking the Age Group-Specific Small Area Estimates

The self-calibration built into the survey-weighted hierarchical Bayes (SWHB) solution ensures the population-weighted average of the state small area estimates will closely match the national design-based estimates. The national design-based estimates in NSDUH are based entirely on survey-weighted data using a direct estimation approach, whereas the state and census region estimates are model based. Given the self-calibration ensured by the SWHB method, for state reports prior to 2002, the standard Bayes prescription was followed; specifically, the posterior mean was used for the point estimate, and the tail percentiles of the posterior distribution were used for the Bayesian confidence interval limits.

Singh and Folsom (2001) extended Ghosh's (1992) results on constrained Bayes estimation to include exact benchmarking to design-based national estimates. In the simplest version of this constrained Bayes solution where only the design-based mean is imposed as a benchmarking constraint, each of the 2021-2022 state-by-age group small area estimates is adjusted by adding the common factor Delta sub a is defined as the national design-based estimate, capital D sub a, minus the national model-based small area estimate, capital P sub a., where capital D sub a is the design-based national estimate and capital P sub a is the population-weighted mean of the state small area estimates (Capital P sub s and a) for age group-a. The exactly benchmarked state-s and age group-a small area estimates then are given by The benchmarked state-s and age group-a small area estimate, Theta sub s and a, is defined as the sum of capital P sub s and a and Delta sub a.. Experience with such additive adjustments suggests that the resulting exactly benchmarked state small area estimates will always be between 0 and 100 percent because the SWHB self-calibration ensures the adjustment factor is small relative to the size of the state-level small area estimates.

Relative to the Bayes posterior mean, these benchmark-constrained state small area estimates are biased by the common additive adjustment factor. Therefore, the posterior mean squared error for each benchmarked state small area estimate has the square of this adjustment factor added to its posterior variance. To achieve the desirable feature of exact benchmarking, this constrained Bayes adjustment factor was implemented for the state-by-age group small area estimates. The associated Bayesian confidence (credible) intervals can be recentered at the benchmarked small area estimates on the logit scale with the symmetric interval end points based on the posterior root mean squared errors. The adjusted 95 percent Bayesian confidence intervals (Lower sub s and a is the lower bound of the 95 percent Bayesian confidence interval of Theta sub s and a; upper sub s and a is the upper bound of the 95 confidence interval of Theta sub s and a.) are defined as follows:

Equation 6. Click 'D' link to access long description.,     D

where

Equation 7. Click 'D' link to access long description.,     D

Equation 8. Click 'D' link to access long description., and     D

Equation 9. Click 'D' link to access long description..     D

The associated posterior coverage probabilities for these benchmarked intervals are very close to the prescribed 0.95 value because the state small area estimates have posterior distributions that can be approximated exceptionally well by a Gaussian distribution after the logit transformation.

B.6 Calculation of Estimated Number of Individuals Associated with Each Outcome

Tables 1 to 37 of 2021-2022 National Survey on Drug Use and Health: Model-Based Estimated Totals (in Thousands) (50 States and the District of Columbia) (CBHSQ, forthcoming b) show the estimated numbers of individuals associated with each of the 35 measures of interest. To calculate these numbers, the benchmarked small area estimates and associated 95 percent Bayesian confidence intervals are multiplied by the average population across the 2 years (in this case, 2021 and 2022) of the state by the age group of interest (Tables C.1 to C.6 in Section C of this methodology document). For estimates based only on 2022 data, the corresponding 2022 population counts can be used.

For example, past month use of alcohol among 18- to 25-year-olds in Alabama was 40.59 percent in 2021-2022.24 The corresponding Bayesian confidence intervals ranged from 35.90 to 45.46 percent. The population count for 18- to 25-year-olds averaged across 2021 and 2022 in Alabama was 526,289 (see Table C.4). Hence, the estimated number of 18- to 25-year-olds using alcohol in the past month in Alabama was 0.4059 × 526,289, which is 213,621.25 The associated Bayesian confidence intervals ranged from 0.3590 × 526,289 (i.e., 188,938) to 0.4546 × 526,289 (i.e., 239,251). Note that when estimates of the number of individuals are calculated for Tables 1 to 37 in the 2021-2022 Model-Based Estimated Totals report (CBHSQ, forthcoming b), the unrounded percentages and population counts are used, then the numbers are reported to the nearest thousand. Hence, the number obtained by multiplying the published estimate with the published population estimate may not exactly match the counts published in these tables because of rounding differences.

The only two exceptions to this calculation are the production of the estimated numbers of marijuana initiates among the population at risk and the estimated number of those not receiving substance use treatment among those classified as needing treatment. Those estimates cannot be directly calculated as the product of the percentage estimate and the population counts available in Section C. That is because the denominator of the marijuana initiation percentage estimate is defined as the number of persons at risk for marijuana initiation, which is a combination of individuals who never used marijuana and one half of the individuals who initiated in the past 24 months (see Section B.8 for more details). And the denominator of those not receiving substance use treatment who were classified as needing treatment percentage estimate is defined as the number of people classified as needing substance use treatment (see Section B.12 for details).

B.7 Calculation of Aggregate Age Group Estimates and Limitations

Tables 1 to 37 of 2021-2022 National Survey on Drug Use and Health: Model-Based Prevalence Estimates (50 States and the District of Columbia) (CBHSQ, 2023d) show estimates for the following age groups: 12 to 17, 18 to 25, 26 or older, 18 or older, and 12 or older. If a user was interested in producing aggregated estimates, such as for those aged 12 to 25, the aggregated estimates could be calculated using prevalence estimates along with the population totals shown in Section C of this document. However, with the information provided in the tables, the confidence intervals cannot be calculated. Below is an example of the calculation of aggregated estimate for a given state.

In 2021-2022, past month use of alcohol in Alabama among youths aged 12 to 17 was 5.72 percent, and among young adults aged 18 to 25 it was 40.59 percent.26 The population counts for 12- to 17-year-olds and 18- to 25-year-olds averaged across 2021 and 2022 in Alabama were 393,704 and 526,289, respectively (see Table C.4). Hence, one would calculate the estimate for people aged 12 to 25 by first finding the number of users aged 12 to 25, which is 236,141 ([0.0572 × 393,704] + [0.4059 × 526,289]), then dividing that number by the population aged 12 to 25 (236,141 / [393,704 + 526,289]), which results in a rate of 25.67 percent.

B.8 Calculation of Initiation of Marijuana Use

Initiation27 rates typically are calculated as the number of new initiates of a substance during a period of time (such as in the past year) divided by an estimate of the number of person-years of exposure (in thousands). The initiation definition used here employs a simpler form of the at-risk population based on the model-based methodology. This model-based initiation rate (i.e., first use of marijuana in the past year among people at risk for initiation of marijuana use) is defined as follows:

Equation 10. Click 'D' link to access long description.,     D

where capital X sub 1 is the number of marijuana initiates in the past 24 months, capital X sub 2 is the number of persons who never used marijuana, and (0.5 × capital X sub 1 + capital X sub 2) denotes the at-risk population.

The initiation rate is expressed as a percentage or rate per 100 person-years of exposure. Note that this estimate uses a 2-year time period to accumulate initiation cases from the annual survey. By assuming further that the distribution of first use for the initiation cases is uniform across the 2-year interval, the total number of person-years of exposure is 1 year on average for the initiation cases plus 2 years for all the “never users” at the end of the time period. This approximation to the person-years of exposure permits one to recast the initiation rate as a function of two population prevalence rates—namely, the fraction of people who first used marijuana in the past 2 years and the fraction who had never used marijuana. State and census region estimates, along with the 95 percent Bayesian confidence (credible) intervals, are based on simultaneous modeling of capital X sub 1 and capital X sub 2 components using the SWHB small area estimation approach. The associated MCMC chains were used to calculate the posterior variance. Note that only initiation rates for marijuana use are provided here.

B.9 Underage Drinking

To obtain small area estimates for people aged 12 to 20 for past month alcohol use, binge alcohol use, perceptions of great risk from having five or more drinks of an alcoholic beverage once or twice a week, and alcohol use disorder, a separate set of SAE models with predictors selected for the age groups 12 to 17, 18 to 20, 21 to 34, and 35 or older were used. Model-based estimates for people aged 12 to 20 were produced by taking the population-weighted average of the individual age group (12 to 17 and 18 to 20) estimates. Estimates for underage drinking for past month alcohol use, binge alcohol use, perceptions of great risk from having five or more drinks of an alcoholic beverage once or twice a week, and alcohol use disorder were benchmarked to match national design-based estimates for that age group using the process described in Section B.5.

B.10 Marijuana Use

In the 2021 NSDUH, questions about vaping marijuana were added to the emerging issues section of the questionnaire. Respondents who reported that they vaped anything were asked whether they ever vaped marijuana with a vaping device. Additionally, respondents who answered “yes” to ever vaping marijuana were then asked how long it had been since they last vaped marijuana with a vaping device.

To maintain consistent measures across years where possible, a general principle of editing is not to edit across interview sections (except in situations where answers to questions in a previous section govern skip logic in a later section). However, the introduction to the marijuana section of the interview did not mention the use of marijuana with a vaping device as one of the ways people could use marijuana. Therefore, respondents might not have thought about vaping marijuana when they answered the earlier marijuana questions. For this reason, data from these marijuana vaping questions were incorporated into the marijuana use measures and related measures that include marijuana in 2021 NSDUH. If respondents reported that they did not use marijuana in the marijuana section of the questionnaire, but they later reported that they vaped marijuana, they were considered to have used marijuana in their lifetime and in the applicable recency period. For details on marijuana vaping, please refer to Section 3.4.10.3 of CBHSQ (2022b).

The marijuana section of the 2022 NSDUH questionnaire included new questions to assess the variety of ways that people consume marijuana. The following definitional information preceded the question about the use of marijuana in 2022: “The next questions are about marijuana and any cannabis products, sometimes called pot, weed, hashish, or concentrates. Some of the ways these products can be used are smoking (such as in joints, pipes, bongs, blunts, or hookahs), vaping (using vape pens, dab pens, tabletop vaporizers, or portable vaporizers), dabbing, eating or drinking, or applying as a lotion.” Additional questions about marijuana vaping were asked in the emerging issues section of the questionnaire, but the overall marijuana measures for 2022 did not take these marijuana vaping data into account since the marijuana section specifically included marijuana vaping as a way marijuana could be used. For details on marijuana vaping, please refer to Section 3.4.15 of CBHSQ (2023d).

B.11 Substance Use Disorder (SUD)

The NSDUH questionnaire includes questions to measure SUDs for alcohol and drugs. SUD estimates for drugs and alcohol in the 2021-2022 NSDUH were based on the criteria in the Diagnostic and Statistical Manual of Mental Disorders, 5th edition (DSM-5; American Psychiatric Association [APA], 2013). Respondents were asked SUD questions separately for any drugs or alcohol they used in the 12 months prior to the survey.28

SUD questions for drugs applied to marijuana, cocaine (including crack), heroin, hallucinogens, inhalants, methamphetamine, and any use of prescription pain relievers, tranquilizers, stimulants, or sedatives. Beginning in 2021, NSDUH respondents who reported any use of prescription psychotherapeutic drugs (i.e., pain relievers, tranquilizers, stimulants, or sedatives) in the past year (i.e., not just misuse of prescription drugs) were asked the respective SUD questions for that category of prescription drugs.

DSM-5 includes the following SUD criteria (as measured in the 2021 and 2022 NSDUHs):

  1. The substance is often taken in larger amounts or over a longer period than intended.
  2. There is a persistent desire or unsuccessful efforts to cut down or control substance use.
  3. A great deal of time is spent in activities necessary to obtain the substance, use the substance, or recover from its effects.
  4. There is craving, or a strong desire or urge, to use the substance.
  5. There is recurrent substance use that results in a failure to fulfill major role obligations at work, school, or home.
  6. There is continued substance use despite having persistent or recurrent social or interpersonal problems caused by or exacerbated by the effects of the substance.
  7. Important social, occupational, or recreational activities are given up or reduced because of substance use.
  8. There is recurrent substance use in situations in which it is physically hazardous.
  9. Substance use is continued despite knowledge of having a persistent or recurrent physical or psychological problem that is likely to have been caused or exacerbated by the substance.
  10. There is a need for markedly increased amounts of the substance to achieve intoxication or the desired effect, or there is a markedly diminished effect with continued use of the same amount of the substance (i.e., tolerance).
  11. There are two components of withdrawal symptoms, either of which meet the overall criterion for withdrawal symptoms:
    1. There is a required number of withdrawal symptoms that occur when substance use is cut back or stopped following a period of prolonged use.29
    2. The substance or a related substance is used to get over or avoid withdrawal symptoms.30

For alcohol, marijuana, cocaine, heroin, and methamphetamine, respondents were classified as having an SUD if they had at least 2 of the 11 criteria in a 12-month period. However, respondents were classified as having a hallucinogen use disorder or an inhalant use disorder if they had at least 2 of the first 10 criteria in the past 12 months; the withdrawal criterion does not apply to hallucinogens and inhalants.

For use or misuse of prescription drugs, the applicable DSM-5 criteria for classifying respondents as having a prescription drug use disorder depends on whether respondents misused prescription drugs or used but did not misuse prescription drugs in the past year. If respondents misused prescription drugs in the past year, they were classified as having a prescription drug use disorder if they had at least 2 of the 11 criteria shown. However, if respondents used but did not misuse prescription drugs in the past year, they were classified as having a prescription drug use disorder if they had at least two of the first nine criteria shown above. Criteria 10 (tolerance) and 11 (withdrawal) do not apply to respondents who used but did not misuse these prescription drugs in the past year; tolerance and withdrawal can occur as normal physiological adaptations when people use these prescription drugs appropriately under medical supervision (Hasin et al., 2015).

The following lists the substances that are included in selected SUD measures in the 2021-2022 NSDUH state small area estimates:

For more information about the SUD definitions based on criteria from DSM-5, see Section 3.4.4.2 of CBHSQ (2023c).

B.12 Substance Use Treatment

The substance use treatment questions underwent considerable revisions for the 2022 NSDUH (see Section 2.2.2 of CBHSQ [2023c]). These revisions were intended to reflect contemporary changes in the delivery of substance use treatment services. The following is a summary of key changes to these questions:

Because of these changes, the definition for the receipt of substance use treatment changed for 2022. Estimates for the substance use treatment outcomes in this report are based only on 2022 data.

Receipt of substance use treatment includes the receipt of treatment in the past year for the use of alcohol or drugs in an inpatient location; in an outpatient location; via telehealth; or in a prison, jail, or juvenile detention center. The definition also includes the receipt of MAT for alcohol use or opioid use.

In 2022, relatively large proportions of people who reported that they received inpatient or outpatient treatment in the past 12 months did not indicate the specific substance(s) for which they received treatment in these locations, including treatment for the use of some other drug. Stated another way, these reports of inpatient or outpatient treatment were not substantiated by reports of treatment for the use of specific substances. Specifically, more than one fourth (26.2 percent) of respondents who reported inpatient treatment in the past year did not report the specific substances for which they received treatment as inpatients. Among respondents who reported outpatient treatment in the past year, more than one third (35.0 percent) did not report the specific substances for which they received treatment as outpatients. A “substance unspecified” category was created for these respondents. Because of this issue with unsubstantiated data for inpatient or outpatient treatment for the use of specific substances, estimates of treatment for the use of alcohol, drugs, or both alcohol and drugs in these locations are likely to be underestimates.

Historically, NSDUH data products have included substance use treatment at a “specialty facility” in the past year as part of the definition for whether people needed substance use treatment. With the changes to the questionnaire in 2022, the term “specialty facility” was dropped from 2022 NSDUH data products. Consequently, the definition of the need for substance use treatment was revised for 2022. Respondents were classified as needing substance use treatment if they had an SUD in the past year, as defined in Section B.11, or they received substance use treatment in the past year, as defined earlier in this section.

The percentage of people not receiving substance use treatment among those classified as needing treatment is defined as follows:

Equation 11. Click 'D' link to access long description.,     D

where capital X sub 1 is the number of people not receiving treatment who needed treatment, capital X sub 2 is the number of people receiving treatment who needed treatment, and (capital X sub 1 + capital X sub 2) denotes the number of people who needed treatment. State and census region estimates, along with the 95 percent Bayesian confidence (credible) intervals, are based on simultaneous modeling of capital X sub 1 and capital X sub 2 components using the SWHB small area estimation approach. The associated MCMC chains were used to calculate the posterior variance.

For more information about the substance use treatment outcomes, see Section 3.4.5 of CBHSQ (2023c).

B.13 Mental Health Measures

This section provides a summary of the measurement issues associated with seven mental health outcome variables such as mental illness, MDE, suicidal thoughts and behaviors, and mental health treatment. Additional details can be found in Sections 3.4.6, 3.4.8, 3.4.9, and 3.4.3 of CBHSQ (2023c).

B.13.1 Mental Illness

The binary (0/1) serious mental illness (SMI) and any mental illness (AMI) measures are generated (predicted) by a logistic regression model where parameter estimates from the 2012 SMI model and annually updated associated predictors from NSDUH (i.e., responses to questions in the NSDUH) are used to predict the respondent's SMI (or AMI) status. The predicted SMI (or AMI) status for all adult NSDUH respondents was used to compute prevalence estimates of SMI (or AMI) nationally as well as at the state level. For details on the 2012 SMI model, see Section 3.4.8.8 of CBHSQ (2023c). The history of SMI and AMI measures since the 2000-2001 state report is described in Section B.13.1 of 2021 National Survey on Drug Use and Health: Guide to State Tables and Summary of Small Area Estimation Methodology (CBHSQ, 2023a). Note that starting from 2021, the measures used in the mental illness models were all imputed. Therefore, the source variables (i.e., model predictors) used to create the measures of AMI and SMI had no missing data.

B.13.2 Mental Health Treatment

The mental health treatment questions underwent considerable revisions for the 2022 NSDUH. These revisions were intended to reflect contemporary changes in the delivery of mental health treatment services. The changes also made the content more similar between the alcohol and drug treatment and the mental health services utilization sections of the questionnaire. The following is a summary of key changes to these questions:

Because of these changes, the definition for the receipt of mental health treatment changed for 2022. Estimates based on this outcome is based on only 2022 NSDUH data. Receipt of mental health treatment includes the receipt of treatment in the past year to help people with their mental health, emotions, or behavior that was received in an inpatient location; in an outpatient location; via telehealth; or in a prison, jail, or juvenile detention center. The definition also includes the receipt of prescription medication to help with mental health, emotions, or behavior.

B.13.3 Major Depressive Episode (MDE)

Two sections related to MDE were included in the 2021 and 2022 questionnaires: an adult depression section and an adolescent depression section. These sections were originally derived from DSM-IV criteria for MDE and remained applicable to the more recent DSM-5 criteria. Consistent with the DSM-5 criteria, NSDUH does not exclude MDEs occurring exclusively in the context of bereavement. In addition, no exclusions were made for MDEs caused by medication, alcohol, illicit drugs, or any medical illness.

Questions on depression permit estimates of MDE to be calculated. Separate sections were administered to adults aged 18 or older and youths aged 12 to 17. The adult questions were adapted from the depression section of the National Comorbidity Survey Replication (NCS-R), and the questions for youths were adapted from the depression section of the National Comorbidity Survey: Adolescent Supplement (NCS-A) (see https://www.hcp.med.harvard.edu/ncs/ exit icon). To make the sections developmentally appropriate for youths, there are minor wording differences in a few questions between the adult and youth sections. Revisions to the questions in both sections were made primarily to reduce the length and to modify the NCS questions, which are interviewer administered, for self-administration in NSDUH.

According to DSM-5, people are classified as having had an MDE32 in their lifetime if they had at least five or more of symptoms nearly every day (except where noted) in the same 2-week period, where at least one of the symptoms is a depressed mood or loss of interest or pleasure in daily activities: (1) depressed mood most of the day; (2) markedly diminished interest or pleasure in all or almost all activities most of the day; (3) significant weight loss when not sick or dieting, or weight gain when not pregnant or growing, or decrease or increase in appetite; (4) insomnia or hypersomnia; (5) psychomotor agitation or retardation at a level observable by others; (6) fatigue or loss of energy; (7) feelings of worthlessness or excessive or inappropriate guilt; (8) diminished ability to think or concentrate or indecisiveness; and (9) recurrent thoughts of death or suicidality (i.e., recurrent suicidal ideation without a specific plan, making a specific plan, or making an attempt). Unlike the other symptoms listed previously, recurrent thoughts of death or suicidality did not need to have occurred nearly every day (APA, 2013).

Respondents who have had an MDE in their lifetime are asked if, during the past 12 months, they had a period of depression lasting 2 weeks or longer while also having some of the other symptoms mentioned. Respondents reporting experiences consistent with them having had an MDE in the past year are asked questions from the Sheehan Disability Scale to measure the level of functional impairment in major life activities reported to be caused by the MDE in the past 12 months (Leon et al., 1997).

Starting in 2021, the variables for MDE among adults were statistically imputed. MDE variables were not statistically imputed for youths aged 12 to 17.

B.13.4 Suicidal Thoughts and Behavior

The 2021 and 2022 NSDUHs included sets of questions asking adults aged 18 or older whether they had serious thoughts of suicide, made any suicide plans, or had attempted suicide in the past 12 months. All adult respondents were asked whether they made a suicide plan or attempted suicide regardless of whether they reported that they had serious thoughts of suicide in the past 12 months. The two response options were “yes” and “no.” Additionally, beginning in 2021, the adult variables for suicidal thoughts and behaviors among adults were statistically imputed.

Additionally, the 2021 and 2022 NSDUHs included sets of questions that asked youths aged 12 to 17 about the same suicidal thoughts and behaviors. Starting with the 2022 NSDUH, questions about adolescents' suicidal thoughts and behaviors in the past 12 months were included in the youth experiences section of the questionnaire instead of in the youth mental health utilization section, which was removed from the 2022 NSDUH questionnaire. However, the wording of the youth suicidal thoughts and behavior questions did not change for 2022. Unlike the questions for adults, the questions about suicidal thoughts and behavior among youths included response choices for “I'm not sure” and “I don't want to answer,” in addition to standard response choices of “yes” and “no.”

Estimates for suicidal thoughts and behavior among adolescents in national reports and tables for 2022 included estimates for “I'm not sure,” and “I don't want to answer,” in addition to estimates for “yes” and “no.” Measures for suicidal thoughts and behavior among adolescents were not statistically imputed for 2021 or 2022. For the 2021-2022 state small area estimates, estimates for suicidal behaviors reflect the percentage that answered “yes” among all respondents. Respondents who answered “no,” “I'm not sure,” and “I don't want to answer” were grouped together as the “no” category. Thus the 2021-2022 state small area estimates for suicidal behaviors among adolescents may be underestimated.

Section C: Sample Sizes, Response Rates, and Population Estimates

Table C.1 – Survey Sample Sizes (Rounded to the Nearest 10), Weighted Screening and Interview Response Rates, and Population Estimates, by State, for People Aged 12 or Older: 2022
State Total
Selected DUs
Total
Eligible
DUs
Total
Completed
Screeners
Weighted DU
Screening
Response Rate
Total
Selected
People
Total
Responded
Population
Estimate
Weighted
Interview
Response
Rate
Weighted
Overall
Response
Rate
Total U.S. 942,540 864,290 217,460 25.46% 150,790 71,370 282,007,443 47.43% 12.08%
Northeast 172,290 158,880 41,670 25.11% 27,500 12,700 49,023,809 48.27% 12.12%
Midwest 225,160 206,220 52,390 26.57% 35,900 16,980 58,153,166 48.57% 12.90%
South 326,390 296,880 74,460 25.39% 50,390 24,640 108,107,394 48.10% 12.21%
West 218,700 202,300 48,940 24.76% 37,010 17,050 66,723,074 44.73% 11.08%
Alabama 14,490 13,020 4,910 39.86% 3,210 1,300 4,277,319 38.81% 15.47%
Alaska 13,120 11,310 2,810 26.05% 2,060 1,030 586,642 53.39% 13.91%
Arizona 14,840 13,330 2,900 21.91% 2,270 1,040 6,247,365 44.86% 9.83%
Arkansas 14,120 11,940 2,580 20.23% 1,910 970 2,545,165 51.57% 10.43%
California 49,040 47,210 10,450 22.95% 8,820 3,840 33,125,224 43.01% 9.87%
Colorado 16,720 15,150 3,990 26.22% 2,670 1,190 4,973,616 44.35% 11.63%
Connecticut 13,970 13,070 3,490 26.72% 2,220 1,010 3,125,542 47.24% 12.62%
Delaware 14,180 13,150 3,990 28.64% 2,400 980 871,140 42.64% 12.21%
District of Columbia 14,610 13,900 3,440 24.60% 1,370 810 573,638 57.99% 14.27%
Florida 46,460 42,610 10,540 25.16% 6,930 3,240 19,163,550 43.83% 11.03%
Georgia 18,750 17,730 4,160 25.08% 3,480 1,790 9,125,480 48.53% 12.17%
Hawaii 15,230 14,220 3,500 23.56% 2,650 1,070 1,188,971 40.11% 9.45%
Idaho 13,880 12,850 3,730 29.75% 2,620 1,260 1,621,235 45.27% 13.47%
Illinois 32,720 30,720 6,680 21.40% 5,020 2,140 10,687,995 43.92% 9.40%
Indiana 14,230 12,850 3,210 26.20% 2,400 1,300 5,729,084 56.98% 14.93%
Iowa 14,990 13,690 2,880 23.25% 1,900 960 2,691,907 52.99% 12.32%
Kansas 13,870 12,490 2,910 24.74% 2,420 1,100 2,432,441 47.78% 11.82%
Kentucky 15,190 13,300 3,210 26.58% 2,010 1,130 3,776,587 57.94% 15.40%
Louisiana 14,420 12,510 3,140 26.91% 2,050 960 3,807,180 47.19% 12.70%
Maine 12,800 10,870 3,970 32.86% 2,130 960 1,213,007 51.22% 16.83%
Maryland 15,320 14,420 3,880 28.19% 2,750 1,220 5,204,196 42.24% 11.91%
Massachusetts 13,850 13,130 3,660 27.90% 2,430 1,150 6,067,069 49.92% 13.93%
Michigan 34,110 30,590 7,940 26.62% 4,880 2,510 8,579,825 54.48% 14.50%
Minnesota 12,750 11,950 2,940 23.75% 1,940 880 4,825,108 45.54% 10.82%
Mississippi 13,570 12,100 2,860 24.58% 2,150 1,050 2,445,002 48.62% 11.95%
Missouri 14,380 13,040 3,560 28.32% 2,230 1,030 5,204,585 49.02% 13.88%
Montana 13,370 11,660 2,580 18.91% 1,570 760 956,943 55.41% 10.48%
Nebraska 12,210 11,280 3,110 27.55% 2,410 1,190 1,630,830 51.41% 14.16%
Nevada 15,910 14,900 3,180 21.34% 2,700 1,290 2,699,194 49.83% 10.63%
New Hampshire 14,750 13,420 4,140 33.96% 2,760 1,200 1,221,080 49.65% 16.86%
New Jersey 21,510 20,490 4,720 22.58% 3,370 1,440 7,892,006 43.03% 9.71%
New Mexico 13,250 11,880 2,770 24.65% 2,090 1,070 1,790,351 52.20% 12.87%
New York 39,030 36,490 8,480 24.23% 6,190 2,830 16,876,703 47.61% 11.54%
North Carolina 20,970 19,130 3,910 20.96% 2,330 1,240 9,019,517 52.59% 11.02%
North Dakota 13,190 11,550 2,570 21.64% 1,780 870 639,153 48.61% 10.52%
Ohio 36,130 34,420 10,090 30.50% 6,540 2,910 9,942,566 43.60% 13.30%
Oklahoma 14,870 13,180 3,150 23.63% 2,150 950 3,319,855 53.30% 12.60%
Oregon 13,260 12,560 3,430 30.46% 2,180 970 3,668,673 45.58% 13.88%
Pennsylvania 31,800 29,640 6,770 23.65% 4,560 2,250 11,111,386 52.00% 12.30%
Rhode Island 12,720 11,360 2,740 25.32% 1,730 840 947,304 47.34% 11.99%
South Carolina 15,890 14,260 2,670 17.78% 1,730 840 4,477,630 50.80% 9.03%
South Dakota 13,340 11,470 2,360 19.20% 1,780 960 747,290 55.06% 10.57%
Tennessee 14,500 13,550 2,970 23.49% 1,960 920 5,959,861 42.77% 10.05%
Texas 41,660 38,000 8,410 23.05% 6,970 3,540 24,743,557 49.36% 11.38%
Utah 12,450 11,330 3,010 28.88% 3,010 1,530 2,763,706 54.45% 15.73%
Vermont 11,860 10,410 3,710 34.49% 2,120 1,020 569,711 48.29% 16.65%
Virginia 24,200 22,540 8,010 37.36% 5,440 2,950 7,277,607 53.65% 20.04%
Washington 15,450 14,530 4,400 31.80% 3,030 1,280 6,610,953 42.24% 13.43%
West Virginia 13,190 11,540 2,630 21.98% 1,530 740 1,520,110 46.90% 10.31%
Wisconsin 13,240 12,170 4,150 33.56% 2,610 1,150 5,042,382 46.91% 15.74%
Wyoming 12,190 11,380 2,210 19.24% 1,360 730 490,202 56.11% 10.80%
DU = dwelling unit.
Source: SAMHSA, Center for Behavioral Health Statistics and Quality, National Survey on Drug Use and Health, 2022.
Table C.2 – Survey Sample Sizes (Rounded to the Nearest 10), Weighted Interview Response Rates, and Population Estimates, by State and Three Age Groups: 2022
State 12-17
Total
Selected
People
12-17
Total
Responded
12-17
Population
Estimate
12-17
Weighted
Interview
Response
Rate
18-25
Total
Selected
People
18-25
Total
Responded
18-25
Population
Estimate
18-25
Weighted
Interview
Response
Rate
26+
Total
Selected
People
26+
Total
Responded
26+
Population
Estimate
26+
Weighted
Interview
Response
Rate
Total U.S. 35,140 14,810 25,725,767 41.61% 37,570 17,260 34,786,295 44.66% 78,080 39,300 221,495,381 48.54%
Northeast 6,040 2,490 4,064,785 40.82% 6,860 3,010 5,913,044 45.13% 14,600 7,210 39,045,980 49.52%
Midwest 8,220 3,180 5,397,613 37.60% 9,230 4,270 7,297,663 44.76% 18,440 9,530 45,457,890 50.52%
South 12,250 5,580 10,121,366 44.60% 12,080 5,800 13,343,320 46.35% 26,070 13,260 84,642,707 48.78%
West 8,630 3,570 6,142,003 40.77% 9,400 4,180 8,232,268 41.49% 18,980 9,300 52,348,804 45.70%
Alabama 770 300 391,986 37.33% 820 320 544,551 37.09% 1,630 680 3,340,782 39.29%
Alaska 460 180 58,578 42.66% 540 290 66,882 52.46% 1,060 570 461,182 54.73%
Arizona 590 240 574,783 43.13% 580 250 795,490 41.50% 1,110 550 4,877,092 45.66%
Arkansas 410 170 246,650 32.98% 600 300 322,769 49.90% 900 500 1,975,746 54.35%
California 1,970 800 3,048,365 39.51% 2,130 950 4,085,617 41.12% 4,720 2,100 25,991,242 43.70%
Colorado 640 280 437,268 44.15% 640 260 615,830 38.57% 1,390 650 3,920,518 45.31%
Connecticut 580 250 270,722 42.39% 450 170 389,638 43.16% 1,200 590 2,465,182 48.45%
Delaware 640 270 73,678 40.89% 520 190 96,351 33.78% 1,240 530 701,110 44.04%
District of Columbia 360 200 34,451 52.17% 330 190 79,777 56.80% 680 420 459,410 58.62%
Florida 1,690 750 1,520,786 44.26% 1,470 690 2,060,106 42.94% 3,770 1,810 15,582,658 43.90%
Georgia 760 380 909,666 48.90% 960 520 1,165,546 51.70% 1,760 890 7,050,269 47.95%
Hawaii 610 190 96,599 40.11% 630 240 121,033 34.34% 1,400 640 971,338 40.83%
Idaho 690 300 169,215 43.54% 680 310 216,953 41.24% 1,260 650 1,235,067 46.24%
Illinois 1,220 430 985,793 35.15% 1,250 510 1,308,284 40.75% 2,550 1,200 8,393,918 45.56%
Indiana 470 210 555,198 43.58% 770 430 756,747 54.62% 1,170 660 4,417,140 58.96%
Iowa 490 180 257,492 36.72% 460 230 365,545 50.05% 950 550 2,068,870 55.77%
Kansas 520 200 245,593 39.23% 700 300 332,356 41.19% 1,200 600 1,854,493 50.21%
Kentucky 530 260 352,199 50.08% 510 280 461,094 58.84% 980 590 2,963,294 58.73%
Louisiana 540 230 368,764 39.40% 390 180 472,008 41.91% 1,120 550 2,966,408 49.01%
Maine 440 170 90,921 28.49% 560 230 124,756 38.40% 1,130 560 997,330 54.74%
Maryland 710 310 473,718 43.98% 670 260 595,156 38.47% 1,380 650 4,135,321 42.56%
Massachusetts 440 170 479,418 38.87% 680 320 786,780 48.87% 1,310 660 4,800,871 51.16%
Michigan 1,240 540 754,736 43.22% 1,100 540 1,068,483 51.06% 2,540 1,430 6,756,606 56.30%
Minnesota 460 170 457,354 33.16% 490 210 580,180 37.08% 980 500 3,787,574 48.41%
Mississippi 550 230 246,906 41.21% 440 220 317,528 50.49% 1,160 600 1,880,568 49.14%
Missouri 530 190 481,597 30.04% 500 230 645,571 49.29% 1,200 610 4,077,417 51.20%
Montana 390 150 83,066 34.20% 360 160 116,692 45.64% 810 460 757,185 58.97%
Nebraska 570 230 165,796 38.31% 520 250 217,849 46.95% 1,320 710 1,247,185 53.97%
Nevada 610 280 245,573 43.77% 740 340 298,185 44.49% 1,350 670 2,155,437 51.23%
New Hampshire 590 210 93,212 34.49% 690 250 136,239 36.92% 1,490 740 991,629 52.70%
New Jersey 860 340 708,270 36.40% 850 360 899,264 41.09% 1,660 740 6,284,473 44.02%
New Mexico 470 220 170,306 47.73% 610 270 224,366 40.48% 1,010 580 1,395,678 54.60%
New York 1,320 570 1,373,572 44.96% 1,530 690 2,040,802 43.99% 3,340 1,570 13,462,329 48.43%
North Carolina 610 270 818,763 40.41% 470 270 1,112,045 47.36% 1,250 700 7,088,709 54.79%
North Dakota 350 110 59,877 30.21% 530 290 96,152 52.21% 900 470 483,124 50.11%
Ohio 1,420 550 906,323 38.87% 1,710 710 1,200,414 38.31% 3,410 1,650 7,835,829 44.93%
Oklahoma 510 190 333,916 42.31% 540 230 444,406 46.99% 1,100 540 2,541,533 55.89%
Oregon 510 200 302,608 39.61% 620 260 420,835 39.01% 1,050 510 2,945,230 47.19%
Pennsylvania 960 410 933,709 40.46% 1,210 590 1,338,638 49.84% 2,390 1,250 8,839,039 53.53%
Rhode Island 410 180 72,588 39.08% 390 180 124,302 42.95% 920 480 750,415 48.94%
South Carolina 420 150 400,840 29.82% 450 230 534,371 45.23% 850 460 3,542,419 53.94%
South Dakota 390 140 74,872 33.33% 500 280 95,190 50.34% 900 530 577,227 58.15%
Tennessee 440 190 540,524 40.51% 520 240 719,991 40.21% 1,000 500 4,699,346 43.35%
Texas 1,500 720 2,627,942 48.11% 1,670 840 3,344,338 48.56% 3,810 1,980 18,771,277 49.66%
Utah 670 330 335,459 49.66% 780 380 455,335 51.77% 1,560 810 1,972,912 55.81%
Vermont 460 190 42,372 36.58% 490 220 72,626 39.64% 1,160 610 454,713 50.68%
Virginia 1,450 830 653,981 54.80% 1,300 630 895,653 46.96% 2,700 1,500 5,727,973 54.55%
Washington 700 270 572,334 35.09% 770 310 755,934 39.12% 1,550 700 5,282,685 43.57%
West Virginia 360 150 126,598 38.12% 430 210 177,630 46.75% 740 380 1,215,882 47.71%
Wisconsin 570 230 452,984 37.35% 720 290 630,892 41.91% 1,320 630 3,958,506 48.91%
Wyoming 330 140 47,848 39.44% 320 180 59,115 52.37% 710 420 383,239 58.96%
NOTE: Computations in this table are based on a respondent’s age at screening. Thus, the data in the Total Responded column(s) could differ from data in other National Survey on Drug Use and Health tables that use the respondent’s age recorded during the interview.
Source: SAMHSA, Center for Behavioral Health Statistics and Quality, National Survey on Drug Use and Health, 2022.
Table C.3 – Survey Sample Sizes (Rounded to the Nearest 10), Weighted Screening and Interview Response Rates, and Population Estimates, by State, for People Aged 12 or Older: 2021 and 2022
State Total
Selected DUs
Total
Eligible
DUs
Total
Completed
Screeners
Weighted DU
Screening
Response Rate
Total
Selected
People
Total
Responded
Population
Estimate
Weighted
Interview
Response
Rate
Weighted
Overall
Response
Rate
Total U.S. 2,081,370 1,886,000 438,200 23.86% 303,000 141,220 280,925,693 46.84% 11.17%
Northeast 391,660 356,410 81,180 22.19% 53,900 24,540 48,977,164 47.54% 10.55%
Midwest 490,570 445,810 110,410 26.08% 75,020 34,800 58,087,985 47.07% 12.27%
South 720,180 644,820 147,350 23.50% 99,200 48,100 107,347,274 48.17% 11.32%
West 478,970 438,960 99,270 23.63% 74,880 33,780 66,513,270 43.94% 10.38%
Alabama 31,950 28,580 9,520 36.00% 6,150 2,450 4,260,070 39.60% 14.26%
Alaska 29,800 25,350 5,730 22.81% 4,110 2,010 586,283 50.92% 11.61%
Arizona 33,230 29,300 6,070 20.42% 4,580 2,010 6,201,338 43.63% 8.91%
Arkansas 31,260 26,030 5,580 21.28% 3,910 1,850 2,535,421 49.42% 10.51%
California 109,070 104,600 21,980 22.14% 18,540 7,920 33,112,749 42.30% 9.37%
Colorado 33,730 30,130 7,790 25.97% 5,340 2,360 4,949,737 45.67% 11.86%
Connecticut 31,110 29,170 6,470 23.03% 4,240 1,880 3,116,144 46.63% 10.74%
Delaware 30,740 27,550 7,320 26.24% 4,410 1,930 862,991 45.08% 11.83%
District of Columbia 33,670 31,100 7,020 23.83% 2,710 1,580 571,519 58.97% 14.05%
Florida 100,440 89,390 19,410 22.94% 12,660 5,860 18,944,478 45.35% 10.41%
Georgia 42,120 39,440 9,030 24.03% 7,390 3,660 9,063,934 47.37% 11.38%
Hawaii 34,040 31,370 7,310 22.78% 5,450 2,150 1,186,032 39.25% 8.94%
Idaho 29,380 26,510 6,400 24.43% 4,500 2,120 1,602,439 46.75% 11.42%
Illinois 72,730 68,130 13,680 20.57% 10,180 4,220 10,699,618 41.48% 8.53%
Indiana 30,960 27,790 6,800 26.29% 5,010 2,540 5,711,050 53.06% 13.95%
Iowa 31,500 28,840 6,440 25.41% 4,210 2,020 2,687,084 49.47% 12.57%
Kansas 30,330 27,450 7,690 30.14% 6,060 2,770 2,427,570 45.46% 13.70%
Kentucky 34,140 29,860 6,930 25.70% 4,260 2,250 3,774,627 54.68% 14.05%
Louisiana 31,950 27,300 6,650 26.11% 4,510 2,020 3,814,798 44.90% 11.72%
Maine 29,200 24,510 7,760 29.69% 4,240 1,920 1,206,541 51.18% 15.19%
Maryland 34,750 32,670 8,270 27.35% 5,740 2,720 5,195,630 44.56% 12.18%
Massachusetts 32,280 30,320 6,800 24.39% 4,580 2,070 6,058,538 46.69% 11.39%
Michigan 75,600 67,700 17,810 27.52% 11,100 5,430 8,578,357 52.05% 14.32%
Minnesota 28,520 26,500 5,970 22.27% 3,840 1,740 4,814,878 45.76% 10.19%
Mississippi 30,920 27,030 5,530 21.96% 4,020 2,050 2,447,134 50.78% 11.15%
Missouri 30,840 27,280 6,660 25.65% 4,090 1,890 5,192,973 48.24% 12.37%
Montana 28,850 25,140 4,990 17.87% 3,020 1,460 948,083 54.46% 9.73%
Nebraska 27,420 24,950 6,380 26.57% 4,810 2,330 1,626,627 48.90% 12.99%
Nevada 34,150 32,140 6,290 20.33% 5,180 2,450 2,678,520 48.73% 9.91%
New Hampshire 30,230 27,170 7,540 30.52% 5,020 2,190 1,217,900 48.36% 14.76%
New Jersey 48,140 44,940 8,940 19.48% 6,560 2,720 7,880,573 43.37% 8.45%
New Mexico 28,510 25,310 5,350 22.32% 4,060 2,090 1,785,619 51.24% 11.44%
New York 89,810 82,630 16,010 21.22% 11,890 5,530 16,896,809 47.80% 10.14%
North Carolina 47,260 42,790 8,090 19.31% 4,910 2,560 8,950,060 51.32% 9.91%
North Dakota 27,340 23,930 5,400 22.16% 3,690 1,790 636,689 47.81% 10.59%
Ohio 77,120 72,320 19,900 28.17% 12,860 5,640 9,941,073 43.15% 12.16%
Oklahoma 31,800 28,320 6,080 21.58% 4,230 1,920 3,303,614 52.15% 11.25%
Oregon 29,660 27,860 8,230 32.08% 5,190 2,240 3,663,678 43.48% 13.95%
Pennsylvania 72,740 67,680 13,840 21.52% 9,140 4,320 11,084,973 50.10% 10.78%
Rhode Island 29,900 25,680 5,150 21.94% 3,240 1,530 947,353 47.75% 10.48%
South Carolina 33,570 29,430 5,160 17.33% 3,310 1,680 4,434,479 53.57% 9.28%
South Dakota 28,700 24,530 4,790 19.17% 3,510 1,800 740,702 51.57% 9.89%
Tennessee 32,580 29,670 5,760 21.25% 3,820 1,790 5,918,867 46.79% 9.94%
Texas 92,730 83,760 16,550 20.72% 13,780 6,680 24,491,600 48.32% 10.01%
Utah 29,060 26,440 6,860 26.77% 6,700 3,360 2,735,448 53.77% 14.39%
Vermont 28,240 24,320 8,670 34.28% 5,000 2,400 568,333 51.52% 17.66%
Virginia 50,670 45,940 14,610 33.29% 10,010 5,410 7,253,532 53.01% 17.65%
Washington 31,800 29,590 8,090 29.39% 5,600 2,220 6,575,202 40.43% 11.88%
West Virginia 29,630 25,980 5,880 22.95% 3,400 1,680 1,524,524 45.68% 10.48%
Wisconsin 29,520 26,380 8,890 34.01% 5,660 2,630 5,031,363 49.46% 16.82%
Wyoming 27,690 25,220 4,180 15.97% 2,620 1,400 488,142 56.75% 9.06%
DU = dwelling unit.
NOTE: To compute the pooled 2021-2022 weighted response rates, two samples were combined, and the individual year weights were used for the pooled sample. Thus, the response rates presented here are weighted across 2 years of data rather than being a simple average of the 2021 and 2022 individual response rates. The 2021-2022 population estimate is the average of the 2021 and the 2022 population.
Source: SAMHSA, Center for Behavioral Health Statistics and Quality, National Survey on Drug Use and Health, 2021 and 2022.
Table C.4 – Survey Sample Sizes (Rounded to the Nearest 10), Weighted Interview Response Rates, and Population Estimates, by State and Three Age Groups: 2021 and 2022
State 12-17
Total
Selected
People
12-17
Total
Responded
12-17
Population
Estimate
12-17
Weighted
Interview
Response
Rate
18-25
Total
Selected
People
18-25
Total
Responded
18-25
Population
Estimate
18-25
Weighted
Interview
Response
Rate
26+
Total
Selected
People
26+
Total
Responded
26+
Population
Estimate
26+
Weighted
Interview
Response
Rate
Total U.S. 70,560 28,080 25,872,524 40.00% 74,750 33,790 34,122,364 43.85% 157,690 79,340 220,930,805 48.09%
Northeast 11,990 4,600 4,104,598 37.62% 13,260 5,710 5,818,780 43.65% 28,660 14,230 39,053,787 49.14%
Midwest 17,200 6,320 5,440,294 37.23% 18,980 8,600 7,200,212 43.18% 38,840 19,880 45,447,479 48.88%
South 24,090 10,470 10,136,465 43.37% 23,830 11,390 13,019,706 46.41% 51,280 26,240 84,191,103 49.01%
West 17,290 6,690 6,191,167 38.50% 18,690 8,090 8,083,666 40.46% 38,910 19,000 52,238,436 45.11%
Alabama 1,470 550 393,704 37.93% 1,580 630 526,289 37.84% 3,100 1,280 3,340,077 40.10%
Alaska 950 360 58,826 38.54% 1,020 510 66,424 49.99% 2,140 1,130 461,034 52.53%
Arizona 1,120 450 578,033 40.58% 1,160 480 777,664 39.43% 2,300 1,080 4,845,642 44.64%
Arkansas 830 290 247,411 29.03% 1,150 540 316,207 46.76% 1,940 1,020 1,971,802 52.57%
California 4,190 1,630 3,079,273 38.76% 4,450 1,900 4,031,192 40.28% 9,910 4,400 26,002,284 43.02%
Colorado 1,220 470 441,750 38.68% 1,390 560 601,443 39.40% 2,740 1,330 3,906,545 47.45%
Connecticut 1,070 410 271,722 35.42% 860 330 384,205 40.35% 2,310 1,130 2,460,217 48.86%
Delaware 1,090 450 73,627 38.10% 1,100 450 94,266 39.20% 2,210 1,030 695,097 46.71%
District of Columbia 710 350 34,089 48.39% 660 400 78,188 62.78% 1,350 840 459,242 59.14%
Florida 3,030 1,270 1,517,905 42.68% 2,810 1,330 1,993,062 45.25% 6,820 3,260 15,433,511 45.62%
Georgia 1,650 790 911,418 47.44% 1,920 990 1,141,805 51.37% 3,820 1,880 7,010,711 46.73%
Hawaii 1,190 370 97,277 36.84% 1,270 490 119,211 36.37% 2,990 1,290 969,544 39.83%
Idaho 1,250 490 169,856 38.34% 1,040 470 205,607 42.13% 2,210 1,160 1,226,976 48.77%
Illinois 2,400 780 997,988 33.75% 2,510 980 1,291,885 37.37% 5,270 2,470 8,409,745 43.07%
Indiana 1,020 440 557,815 45.38% 1,450 740 746,264 51.17% 2,540 1,370 4,406,972 54.29%
Iowa 1,100 400 259,019 35.50% 930 460 359,075 46.53% 2,170 1,170 2,068,990 51.72%
Kansas 1,290 510 247,041 40.19% 1,680 720 325,321 39.77% 3,100 1,530 1,855,208 47.23%
Kentucky 1,070 480 353,994 48.56% 1,070 560 459,501 52.87% 2,110 1,220 2,961,131 55.70%
Louisiana 1,110 450 371,784 40.45% 940 400 462,611 39.01% 2,460 1,180 2,980,404 46.36%
Maine 950 350 91,759 32.30% 1,080 450 122,906 41.04% 2,210 1,120 991,876 54.18%
Maryland 1,470 650 475,216 42.41% 1,400 610 590,957 42.38% 2,880 1,460 4,129,457 45.12%
Massachusetts 870 290 484,370 33.99% 1,230 540 780,681 45.12% 2,480 1,240 4,793,486 48.19%
Michigan 2,750 1,100 762,425 39.61% 2,540 1,190 1,057,351 47.51% 5,810 3,140 6,758,582 54.22%
Minnesota 940 320 460,314 33.28% 910 410 571,740 40.06% 1,980 1,020 3,782,825 48.16%
Mississippi 1,040 460 249,074 43.79% 820 410 310,305 49.43% 2,170 1,180 1,887,755 51.81%
Missouri 980 330 484,076 34.27% 960 450 633,471 48.00% 2,160 1,120 4,075,426 49.98%
Montana 760 260 83,060 33.08% 720 300 113,948 41.29% 1,540 900 751,075 58.72%
Nebraska 1,090 410 166,489 36.49% 1,130 540 215,057 46.21% 2,590 1,380 1,245,082 51.02%
Nevada 1,170 510 246,070 44.54% 1,370 620 291,511 43.63% 2,640 1,320 2,140,939 49.91%
New Hampshire 1,100 400 94,312 38.00% 1,240 480 137,275 40.37% 2,680 1,310 986,314 50.39%
New Jersey 1,690 610 714,121 33.36% 1,720 710 885,791 40.63% 3,150 1,400 6,280,661 44.89%
New Mexico 910 420 171,531 43.49% 1,120 510 219,619 42.15% 2,040 1,160 1,394,469 53.54%
New York 2,460 1,010 1,390,382 41.58% 2,880 1,350 2,008,152 45.41% 6,550 3,170 13,498,275 48.78%
North Carolina 1,290 560 821,139 43.00% 1,010 540 1,085,634 46.13% 2,620 1,460 7,043,287 53.05%
North Dakota 780 250 60,108 32.13% 990 520 93,239 51.15% 1,910 1,020 483,343 49.02%
Ohio 2,860 1,040 913,127 37.29% 3,360 1,400 1,191,403 37.53% 6,630 3,190 7,836,543 44.68%
Oklahoma 1,070 400 334,389 38.65% 1,050 440 432,228 46.13% 2,120 1,080 2,536,997 55.12%
Oregon 1,130 410 305,508 34.86% 1,450 590 414,171 39.72% 2,610 1,240 2,944,000 44.92%
Pennsylvania 1,990 790 941,516 38.04% 2,380 1,050 1,303,282 43.90% 4,770 2,490 8,840,175 52.29%
Rhode Island 760 280 73,693 34.37% 720 310 123,546 43.14% 1,770 940 750,114 49.71%
South Carolina 810 300 400,148 36.48% 840 440 518,615 50.82% 1,670 940 3,515,715 55.81%
South Dakota 790 270 74,771 34.93% 930 500 93,272 46.86% 1,790 1,040 572,660 54.38%
Tennessee 940 350 541,577 38.10% 990 460 704,563 44.24% 1,890 970 4,672,727 48.10%
Texas 3,090 1,370 2,626,489 45.07% 3,280 1,570 3,248,100 46.44% 7,420 3,740 18,617,011 49.10%
Utah 1,550 700 336,717 45.78% 1,630 770 441,684 48.69% 3,520 1,890 1,957,046 56.27%
Vermont 1,110 460 42,722 39.53% 1,160 500 72,942 42.04% 2,740 1,440 452,669 54.09%
Virginia 2,590 1,400 656,870 52.54% 2,380 1,210 882,759 48.60% 5,040 2,800 5,713,902 53.73%
Washington 1,270 410 575,380 29.81% 1,410 520 743,224 35.50% 2,930 1,290 5,256,598 42.39%
West Virginia 860 360 127,630 41.95% 850 430 174,617 48.94% 1,690 900 1,222,277 45.59%
Wisconsin 1,190 480 457,123 38.70% 1,580 710 622,136 44.34% 2,890 1,450 3,952,104 51.61%
Wyoming 580 230 47,888 40.58% 680 380 57,968 53.02% 1,360 800 382,286 59.43%
NOTE: Computations in this table are based on a respondent’s age at screening. Thus, the data in the Total Responded column(s) could differ from data in other National Survey on Drug Use and Health tables that use the respondent’s age recorded during the interview.
NOTE: To compute the pooled 2021-2022 weighted response rates, two samples were combined, and the individual year weights were used for the pooled sample. Thus, the response rates presented here are weighted across 2 years of data rather than being a simple average of the 2021 and 2022 individual response rates. The 2021-2022 population estimate is the average of the 2021 and the 2022 population.
Source: SAMHSA, Center for Behavioral Health Statistics and Quality, National Survey on Drug Use and Health, 2021 and 2022.
Table C.5 – Survey Sample Sizes (Rounded to the Nearest 10), Weighted Interview Response Rates, and Population Estimates among People Aged 12 to 20, by State: 2021 and 2022
State 2022
Total Selected
People
2022
Total Responded
2022 Population
Estimate
2022 Weighted
Interview
Response Rate
2021-2022
Total Selected
People
2021-2022
Total Responded
2021-2022
Population
Estimate
2021-2022
Weighted
Interview
Response Rate
Total U.S. 48,260 20,760 38,653,784 42.64% 96,970 39,790 38,873,120 41.26%
Northeast 8,360 3,510 6,183,133 42.63% 16,630 6,610 6,344,042 39.89%
Midwest 11,470 4,630 8,081,912 39.47% 23,910 9,220 8,122,082 38.56%
South 16,490 7,580 15,199,338 45.19% 32,520 14,430 15,131,110 44.42%
West 11,950 5,050 9,189,401 41.23% 23,910 9,540 9,275,886 39.40%
Alabama 1,080 440 658,453 38.77% 2,040 790 622,896 38.98%
Alaska 660 290 82,643 46.38% 1,320 560 85,591 43.40%
Arizona 790 340 864,757 44.24% 1,510 610 881,330 41.19%
Arkansas 610 260 376,770 35.75% 1,250 460 371,859 33.18%
California 2,740 1,140 4,490,808 40.17% 5,840 2,360 4,591,929 39.63%
Colorado 840 350 655,002 41.98% 1,680 640 671,150 38.61%
Connecticut 730 310 399,395 42.52% 1,360 520 388,517 35.70%
Delaware 830 340 106,736 39.64% 1,510 620 107,674 39.14%
District of Columbia 430 230 45,371 49.29% 850 420 50,039 51.13%
Florida 2,190 990 2,290,090 44.39% 4,040 1,770 2,357,934 44.64%
Georgia 1,090 550 1,320,021 49.79% 2,330 1,140 1,357,113 49.33%
Hawaii 840 280 133,774 38.70% 1,640 540 138,552 37.76%
Idaho 930 400 253,058 41.73% 1,630 640 236,977 37.56%
Illinois 1,720 630 1,506,623 37.11% 3,360 1,130 1,513,395 34.50%
Indiana 700 330 785,799 44.85% 1,500 660 802,835 45.24%
Iowa 670 270 394,371 42.60% 1,450 570 403,986 40.25%
Kansas 750 300 358,724 40.47% 1,870 760 359,114 40.26%
Kentucky 710 350 504,010 50.62% 1,450 650 517,281 48.37%
Louisiana 680 290 562,664 40.71% 1,450 600 552,765 40.77%
Maine 610 240 132,053 30.92% 1,310 490 137,365 34.40%
Maryland 950 410 677,104 42.15% 1,970 870 684,156 43.05%
Massachusetts 680 270 761,710 39.55% 1,300 470 833,843 35.94%
Michigan 1,590 710 1,093,699 44.97% 3,620 1,490 1,122,417 41.50%
Minnesota 630 250 713,172 34.27% 1,290 470 712,587 35.63%
Mississippi 720 320 375,568 45.95% 1,340 610 354,412 44.75%
Missouri 700 260 716,726 35.63% 1,290 460 700,159 37.65%
Montana 510 200 123,220 37.00% 980 350 121,320 33.05%
Nebraska 750 310 250,314 39.80% 1,480 590 249,876 39.24%
Nevada 890 400 361,653 42.48% 1,680 740 361,815 44.05%
New Hampshire 830 300 136,615 35.11% 1,550 570 138,404 38.46%
New Jersey 1,170 470 1,026,389 37.94% 2,310 880 1,073,257 37.24%
New Mexico 710 330 262,958 45.22% 1,340 600 249,706 42.34%
New York 1,810 800 2,139,725 46.06% 3,410 1,480 2,166,954 43.61%
North Carolina 800 380 1,258,366 41.96% 1,640 750 1,187,258 43.01%
North Dakota 550 210 92,781 37.64% 1,130 420 92,178 37.85%
Ohio 2,020 780 1,337,530 38.64% 4,050 1,510 1,364,433 37.10%
Oklahoma 700 270 450,622 43.30% 1,430 540 460,739 40.44%
Oregon 730 300 489,363 39.80% 1,630 620 470,912 37.25%
Pennsylvania 1,370 620 1,404,957 44.95% 2,860 1,180 1,418,015 40.55%
Rhode Island 550 250 119,823 41.53% 1,010 390 119,271 36.66%
South Carolina 570 210 574,747 33.60% 1,090 440 576,245 39.41%
South Dakota 560 240 105,822 38.51% 1,090 420 108,209 39.10%
Tennessee 630 260 855,369 40.95% 1,260 490 814,451 39.05%
Texas 2,090 1,030 3,947,692 48.85% 4,290 1,950 3,936,941 45.76%
Utah 920 450 511,882 49.58% 2,080 940 508,680 46.51%
Vermont 610 250 62,466 34.92% 1,510 630 68,416 38.83%
Virginia 1,930 1,060 1,006,140 52.66% 3,420 1,840 989,195 52.23%
Washington 970 380 897,395 38.12% 1,770 590 892,683 32.48%
West Virginia 500 210 189,615 38.65% 1,160 500 190,152 42.64%
Wisconsin 840 340 726,352 38.88% 1,780 730 692,892 39.57%
Wyoming 430 180 62,888 41.33% 810 340 65,240 43.17%
NOTE: Computations in this table are based on a respondent’s age at screening. Thus, the data in the Total Responded column(s) could differ from data in other National Survey on Drug Use and Health tables that use the respondent’s age recorded during the interview.
NOTE: To compute the pooled 2021-2022 weighted response rates, two samples were combined, and the individual year weights were used for the pooled sample. Thus, the response rates presented here are weighted across 2 years of data rather than being a simple average of the 2021 and 2022 individual response rates. The 2021-2022 population estimate is the average of the 2021 population and the 2022 population.
Source: SAMHSA, Center for Behavioral Health Statistics and Quality, National Survey on Drug Use and Health, 2021 and 2022.
Table C.6 – Survey Sample Sizes (Rounded to the Nearest 10), Weighted Interview Response Rates, and Population Estimates among People Aged 18 or Older, by State: 2021 and 2022
State 2022
Total Selected
People
2022
Total Responded
2022 Population
Estimate
2022 Weighted
Interview
Response Rate
2021-2022
Total Selected
People
2021-2022
Total Responded
2021-2022
Population
Estimate
2021-2022
Weighted
Interview
Response Rate
Total U.S. 115,650 56,560 256,281,676 48.01% 232,440 113,140 255,053,169 47.52%
Northeast 21,460 10,210 44,959,024 48.94% 41,910 19,940 44,872,567 48.44%
Midwest 27,680 13,810 52,755,553 49.71% 57,820 28,480 52,647,691 48.10%
South 38,140 19,060 97,986,028 48.45% 75,110 37,630 97,210,809 48.66%
West 28,380 13,480 60,581,071 45.13% 57,600 27,090 60,322,102 44.49%
Alabama 2,440 1,000 3,885,333 38.97% 4,680 1,910 3,866,366 39.77%
Alaska 1,600 850 528,064 54.46% 3,160 1,640 527,458 52.21%
Arizona 1,680 800 5,672,582 45.03% 3,460 1,560 5,623,305 43.93%
Arkansas 1,500 800 2,298,515 53.67% 3,090 1,560 2,288,009 51.73%
California 6,850 3,040 30,076,859 43.36% 14,360 6,290 30,033,476 42.66%
Colorado 2,030 910 4,536,348 44.37% 4,120 1,890 4,507,988 46.36%
Connecticut 1,650 770 2,854,820 47.71% 3,170 1,470 2,844,422 47.71%
Delaware 1,760 720 797,462 42.80% 3,320 1,480 789,363 45.76%
District of Columbia 1,010 610 539,188 58.36% 2,000 1,230 537,430 59.67%
Florida 5,240 2,490 17,642,764 43.79% 9,630 4,590 17,426,573 45.58%
Georgia 2,720 1,420 8,215,815 48.48% 5,740 2,870 8,152,516 47.36%
Hawaii 2,030 880 1,092,371 40.11% 4,260 1,780 1,088,755 39.46%
Idaho 1,930 960 1,452,020 45.48% 3,250 1,640 1,432,584 47.79%
Illinois 3,800 1,710 9,702,202 44.88% 7,780 3,440 9,701,630 42.30%
Indiana 1,940 1,090 5,173,887 58.35% 3,990 2,110 5,153,236 53.86%
Iowa 1,410 780 2,434,415 54.89% 3,100 1,620 2,428,065 50.96%
Kansas 1,900 900 2,186,849 48.82% 4,780 2,260 2,180,529 46.09%
Kentucky 1,490 870 3,424,388 58.74% 3,180 1,770 3,420,633 55.32%
Louisiana 1,510 730 3,438,416 48.04% 3,400 1,580 3,443,014 45.36%
Maine 1,690 790 1,122,086 53.01% 3,290 1,570 1,114,782 52.74%
Maryland 2,040 910 4,730,478 42.07% 4,270 2,070 4,720,413 44.77%
Massachusetts 1,990 980 5,587,651 50.84% 3,710 1,770 5,574,168 47.77%
Michigan 3,640 1,970 7,825,089 55.57% 8,350 4,330 7,815,932 53.29%
Minnesota 1,470 710 4,367,754 46.85% 2,900 1,420 4,354,564 47.07%
Mississippi 1,600 820 2,198,096 49.34% 2,990 1,590 2,198,060 51.49%
Missouri 1,700 840 4,722,988 50.92% 3,120 1,560 4,708,897 49.71%
Montana 1,180 610 873,876 57.31% 2,260 1,190 865,023 56.43%
Nebraska 1,840 960 1,465,034 52.90% 3,720 1,920 1,460,139 50.30%
Nevada 2,090 1,010 2,453,621 50.43% 4,010 1,940 2,432,450 49.16%
New Hampshire 2,180 990 1,127,868 50.84% 3,920 1,790 1,123,588 49.20%
New Jersey 2,510 1,100 7,183,737 43.66% 4,860 2,110 7,166,453 44.35%
New Mexico 1,620 860 1,620,045 52.66% 3,150 1,680 1,614,088 52.03%
New York 4,870 2,260 15,503,130 47.85% 9,430 4,520 15,506,426 48.36%
North Carolina 1,720 960 8,200,755 53.73% 3,620 1,990 8,128,921 52.14%
North Dakota 1,440 760 579,276 50.44% 2,910 1,540 576,581 49.36%
Ohio 5,130 2,370 9,036,243 44.06% 9,990 4,590 9,027,946 43.73%
Oklahoma 1,640 770 2,985,939 54.56% 3,160 1,530 2,969,225 53.75%
Oregon 1,670 770 3,366,065 46.15% 4,060 1,830 3,358,170 44.29%
Pennsylvania 3,600 1,840 10,177,677 53.04% 7,150 3,540 10,143,457 51.20%
Rhode Island 1,320 660 874,716 48.05% 2,490 1,250 873,660 48.84%
South Carolina 1,310 700 4,076,790 52.81% 2,500 1,380 4,034,331 55.20%
South Dakota 1,390 820 672,418 57.15% 2,720 1,530 665,932 53.34%
Tennessee 1,520 740 5,419,337 42.97% 2,880 1,440 5,377,289 47.61%
Texas 5,480 2,820 22,115,615 49.50% 10,690 5,310 21,865,111 48.71%
Utah 2,340 1,190 2,428,246 55.08% 5,150 2,660 2,398,730 54.87%
Vermont 1,660 830 527,339 49.21% 3,900 1,940 525,611 52.47%
Virginia 3,990 2,120 6,623,626 53.53% 7,410 4,010 6,596,661 53.06%
Washington 2,330 1,010 6,038,619 42.97% 4,340 1,810 5,999,822 41.50%
West Virginia 1,170 600 1,393,512 47.60% 2,540 1,320 1,396,894 46.00%
Wisconsin 2,040 920 4,589,398 47.91% 4,470 2,160 4,574,240 50.61%
Wyoming 1,030 590 442,354 58.05% 2,040 1,180 440,254 58.55%
NOTE: Computations in this table are based on a respondent’s age at screening. Thus, the data in the Total Responded column(s) could differ from data in other National Survey on Drug Use and Health tables that use the respondent’s age recorded during the interview.
NOTE: To compute the pooled 2021-2022 weighted response rates, two samples were combined, and the individual year weights were used for the pooled sample. Thus, the response rates presented here are weighted across 2 years of data rather than being a simple average of the 2021 and 2022 individual response rates. The 2021-2022 population estimate is the average of the 2021 population and the 2022 population.
Source: SAMHSA, Center for Behavioral Health Statistics and Quality, National Survey on Drug Use and Health, 2021 and 2022.

Section D: References

American Psychiatric Association. (1994). Diagnostic and statistical manual of mental disorders (DSM-IV) (4th ed.).

American Psychiatric Association. (2013). Diagnostic and statistical manual of mental disorders (DSM-5) (5th ed.). https://doi.org/10.1176/appi.books.9780890425787 exit icon

Center for Behavioral Health Statistics and Quality. (2021). 2020 National Survey on Drug Use and Health: Methodological summary and definitions. https://www.samhsa.gov/data/report/2020-methodological-summary-and-definitions

Center for Behavioral Health Statistics and Quality. (2022a). 2021 National Survey on Drug Use and Health: Methodological resource book. Substance Abuse and Mental Health Services Administration. https://www.samhsa.gov/data/report/nsduh-2021-methodological-resource-book-mrb

Center for Behavioral Health Statistics and Quality. (2022b). 2021 National Survey on Drug Use and Health: Methodological summary and definitions. https://www.samhsa.gov/data/report/2021-methodological-summary-and-definitions

Center for Behavioral Health Statistics and Quality. (2023a). 2021 National Survey on Drug Use and Health: Guide to state tables and summary of small area estimation methodology. Substance Abuse and Mental Health Services Administration. https://www.samhsa.gov/data/report/2021-nsduh-guide-state-tables-and-summary-sae-methodology

Center for Behavioral Health Statistics and Quality. (2023b). 2021-2022 National Survey on Drug Use and Health: Methodological resource book. Substance Abuse and Mental Health Administration.

Center for Behavioral Health Statistics and Quality. (2023c). 2021-2022 National Survey on Drug Use and Health: Methodological summary and definitions. Substance Abuse and Mental Health Administration.

Center for Behavioral Health Statistics and Quality. (2023d). 2021-2022 National Survey on Drug Use and Health: Model-based prevalence estimates (50 states and the District of Columbia). Substance Abuse and Mental Health Administration.

Center for Behavioral Health Statistics and Quality. (forthcoming a). 2021-2022 National Survey on Drug Use and Health: Comparison of population percentages from the United States, census regions, states, and the District of Columbia. Substance Abuse and Mental Health Services Administration.

Center for Behavioral Health Statistics and Quality. (forthcoming b). 2021-2022 National Survey on Drug Use and Health: Model-based estimated totals (in thousands) (50 states and the District of Columbia). Substance Abuse and Mental Health Services Administration.

Endicott, J., Spitzer, R. L., Fleiss, J. L., & Cohen, J. (1976). The Global Assessment Scale: A procedure for measuring overall severity of psychiatric disturbance. Archives of General Psychiatry, 33(6), 766-771. https://doi.org/10.1001/archpsyc.1976.01770060086012 exit icon

First, M. B., Spitzer, R. L., Gibbon, M., & Williams, J. B. W. (2002). Structured Clinical Interview for DSM-IV-TR Axis I Disorders, Research Version, Non-patient Edition (SCID-I/NP). New York State Psychiatric Institute, Biometrics Research.

Folsom, R. E., Shah, B., & Vaish, A. (1999). Substance abuse in states: A methodological report on model-based estimates from the 1994-1996 National Household Surveys on Drug Abuse. In Proceedings of the 1999 Joint Statistical Meetings, American Statistical Association, Survey Research Methods Section, Baltimore, MD (pp. 371-375). American Statistical Association.

Ghosh, M. (1992). Constrained Bayes estimation with applications. Journal of the American Statistical Association, 87(418), 533-540. https://doi.org/10.2307/2290287 exit icon

Hasin, D. S., Greenstein, E., Aivadyan, C., Stohl, M., Aharonovich, E., Saha, T., Goldstein, R., Nunes, E. V., Jung, J., Zhang, H., & Grant, B. F. (2015). The Alcohol Use Disorder and Associated Disabilities Interview Schedule-5 (AUDADIS-5): Procedural validity of substance use disorders modules through clinical re-appraisal in a general population sample. Drug and Alcohol Dependence, 148, 40-46. https://doi.org/10.1016/j.drugalcdep.2014.12.011 exit icon

Kessler, R. C., Barker, P. R., Colpe, L. J., Epstein, J. F., Gfroerer, J. C., Hiripi, E., Howes, M. J., Normand, S. L., Manderscheid, R. W., Walters, E. E., & Zaslavsky, A. M. (2003). Screening for serious mental illness in the general population. Archives of General Psychiatry, 60(2), 184-189. https://doi.org/10.1001/archpsyc.60.2.184 exit icon

Leon, A. C., Olfson, M., Portera, L., Farber, L., & Sheehan, D. V. (1997). Assessing psychiatric impairment in primary care with the Sheehan Disability Scale. International Journal of Psychiatry in Medicine, 27(2), 93-105. https://doi.org/10.2190/t8em-c8yh-373n-1uwd exit icon

Office of Applied Studies. (2005). Results from the 2004 National Survey on Drug Use and Health: National findings (HHS Publication No. SMA 05-4062, NSDUH Series H-28). Substance Abuse and Mental Health Services Administration.

Raftery, A. E., & Lewis, S. (1992). How many iterations in the Gibbs sampler? In J. M. Bernardo, J. O. Berger, A. P. Dawid, & A. F. M. Smith (Eds.), Bayesian statistics 4 (pp. 763-774). Oxford University Press.

Rao, J. N. K. (2003). Small area estimation (Wiley Series in Survey Methodology) (1st ed.). John Wiley & Sons.

RTI International. (2013). SUDAAN® language manual, release 11.0.1.

SAS Institute Inc. (2017). SAS/STAT software: Release 14.1.

Scheuren, F. (2004). What is a survey? (2nd ed.). https://www.unh.edu/institutional-research/sites/default/files/media/2022-05/what-is-a-survey.pdf exit icon

Shah, B. V., Barnwell, B. G., Folsom, R., & Vaish, A. (2000). Design consistent small area estimates using Gibbs algorithm for logistic models. In Proceedings of the 2000 Joint Statistical Meetings, American Statistical Association, Survey Research Methods Section, Indianapolis, IN (pp. 105-111). American Statistical Association.

Singh, A. C., & Folsom, R. E. (2001, April 11-14). Hierarchical Bayes calibrated domain estimation via Metropolis-Hastings Step in MCMC with application to small areas. Presented at the International Conference on Small Area Estimation and Related Topics, Potomac, MD.

Wright, D. (2003a). State estimates of substance use from the 2001 National Household Survey on Drug Abuse: Volume I. Findings (HHS Publication No. SMA 03-3775, NHSDA Series H-19). Substance Abuse and Mental Health Services Administration, Office of Applied Studies.

Wright, D. (2003b). State estimates of substance use from the 2001 National Household Survey on Drug Abuse: Volume II. Individual state tables and technical appendices (HHS Publication No. SMA 03-3826, NHSDA Series H-20). Substance Abuse and Mental Health Services Administration, Office of Applied Studies.

Wright, D., & Sathe, N. (2005). State estimates of substance use from the 2002-2003 National Surveys on Drug Use and Health (HHS Publication No. SMA 05-3989, NSDUH Series H-26). Substance Abuse and Mental Health Services Administration, Office of Applied Studies.

Wright, D., & Sathe, N. (2006). State estimates of substance use from the 2003-2004 National Surveys on Drug Use and Health (HHS Publication No. SMA 06-4142, NSDUH Series H-29). Substance Abuse and Mental Health Services Administration, Office of Applied Studies.

Wright, D., Sathe, N., & Spagnola, K. (2007). State estimates of substance use from the 2004-2005 National Surveys on Drug Use and Health (HHS Publication No. SMA 07-4235, NSDUH Series H-31). Substance Abuse and Mental Health Services Administration, Office of Applied Studies.

Section E: List of Contributors

This National Survey on Drug Use and Health (NSDUH) document was prepared by the Center for Behavioral Health Statistics and Quality (CBHSQ), Substance Abuse and Mental Health Services Administration (SAMHSA), U.S. Department of Health and Human Services (HHS), and by RTI International, Research Triangle Park, North Carolina. Work by RTI was performed under Contract No. HHSS283201700002C. Marlon Daniel served as government project officer and as the contracting officer representative.

This document was drafted by RTI and reviewed at SAMHSA. Production of the report at SAMHSA was managed by Rong Cai, Iva Magas, and Shiromani Gyawali.

Endnotes

1 Use the NSDUH link on the following webpage: https://www.samhsa.gov/data/nsduh/state-reports-NSDUH-2022.

2 RTI International is a trade name of Research Triangle Institute. RTI and the RTI logo are U.S. registered trademarks of Research Triangle Institute.

3 The 2019-2020 state small area estimates were produced, but they have since been removed from SAMHSA's website. Methodological investigations found that the unusual societal circumstances in 2020 and the resulting methodological revisions to NSDUH data collection have affected the comparability of 2020 estimates with estimates from 2019 and earlier. Consequently, estimates that involve combining data from 2020 with previous years have been removed from the SAMHSA website.

4 National small area estimates = Population-weighted averages of state-level small area estimates.

5 See Tables 1 to 37 in 2021-2022 National Survey on Drug Use and Health: Model-Based Estimated Totals (in Thousands) (50 States and the District of Columbia) (CBHSQ, forthcoming b).

6 Note that in the 2004-2005 NSDUH state report (Wright et al., 2007) and prior reports, the term “prediction interval” (PI) was used to represent uncertainty in the state and regional estimates. However, that term also is used in other applications to estimate future values of a parameter of interest. That interpretation does not apply to NSDUH state report estimates; thus, “prediction interval” was dropped and replaced with “Bayesian confidence interval.”

7 For major depressive episode (MDE), receipt of mental health treatment, serious thoughts of suicide, suicide plans, and suicide attempts, estimates for people aged 12 or older are not included. For any mental illness (AMI) and serious mental illness (SMI), estimates for youths aged 12 to 17 and people aged 12 or older are not included because youths are not asked these questions.

8 Binge drinking is defined as having five or more drinks (for males) or four or more drinks (for females) on the same occasion on at least 1 day in the 30 days prior to the survey.

9 A dwelling unit (DU) in NSDUH refers to either a housing unit or a group quarter listing unit, such as a dormitory room or a shelter bed.

10 A successfully screened DU is one in which all screening questionnaire items were answered by an adult resident of the DU and either zero, one, or two DU members were selected for the NSDUH interview.

11 The usable case rule requires that a respondent answer “yes” or “no” to the question on lifetime use of cigarettes and “yes” or “no” to at least nine additional lifetime use questions.

12 The SAE expert panel, convened in 1999 and 2000, had six members: Dr. William Bell of the U.S. Bureau of the Census; Partha Lahiri, Professor of the Joint Program in Survey Methodology at the University of Maryland at College Park; Professor Balgobin Nandram of Worcester Polytechnic Institute; Wesley Schaible, formerly Associate Commissioner for Research and Evaluation at the Bureau of Labor Statistics; Professor J. N. K. Rao of Carleton University; and Professor Alan Zaslavsky of Harvard University.

13 See Tables 1 to 37 in 2021-2022 Model-Based Prevalence Estimates (CBHSQ, 2023d).

14 The use of mixed models (fixed and random effects) allows additional error components (random effects) to be included. These account for differences between states and within-state variations that are not taken into account by the predictor variables (fixed effects) alone. It is also difficult (if not impossible) to produce valid mean squared errors (MSEs) for small area estimates based solely on a fixed-effect national regression model (i.e., synthetic estimation) (Rao, 2003, p. 52). The mixed models produce estimates that are approximately represented by a weighted combination of the direct estimate from the state data and a regression estimate from the national model. The regression coefficients of the national model are estimated using data from all of the states (i.e., borrowing strength), and the regression estimate for a particular state is obtained by applying the national model to the state-specific predictor data. The regression estimate for the state is then combined with the direct estimate from the state data in a weighted combination where the weights are obtained by minimizing the MSE (variance + squared bias) of the small area estimate.

15 To increase the precision of the estimated random effects at the within-state level, three SSRs from the 2021 and 2022 samples were grouped together to form 250 grouped SSRs. California had 12 grouped SSRs; Florida, New York, and Texas each had 10 grouped SSRs; Illinois, Michigan, Ohio, and Pennsylvania each had 8 grouped SSRs; Georgia, New Jersey, North Carolina, and Virginia each had 5 grouped SSRs; and the rest of the states and the District of Columbia each had 4 grouped SSRs.

16 For details on how this outcome is calculated, see Section B.8 of this document.

17 Estimates of underage (aged 12 to 20) alcohol use were also produced.

18 Estimates of underage (aged 12 to 20) binge alcohol use were also produced.

19 Estimates of underage (aged 12 to 20) perceptions of great risk from having five or more drinks of an alcoholic beverage once or twice a week were also produced.

20 Estimates of underage (aged 12 to 20) alcohol use disorder in the past year were also produced.

21 Claritas is a market research firm headquartered in Cincinnati, Ohio (see https://claritas.com/ exit icon).

22 To build parsimonious models, the pooled 2021-2022 data were partitioned into modeling and validation samples. For more information on how the data was partitioned, see the 2002-2003 state SAE report (Wright & Sathe, 2005). Steps 1 to 3 were conducted on the modeling sample, whereas step 4 used the validation sample. Steps 1 to 4 were conducted on 2022 data for predictor variable selection for the substance use treatment and mental health treatment measures. Depending on the step, measure, and age group, significance levels were 1, 3, 5, or 10 percent.

23 Generally, age groups are 12 to 17, 18 to 25, 26 to 34, and 35 or older. For underage alcohol related outcomes, the age group is 12 to 20.

24 See Table 15 in 2021-2022 National Survey of Drug Use and Health: Model-Based Prevalence Estimates (50 States and the District of Columbia) (CBHSQ, 2023d).

25 See Table 15 in the 2021-2022 NSDUH: Model-Based Estimated Totals report (CBHSQ, forthcoming b).

26 See Table 15 in the 2021-2022 NSDUH: Model-Based Prevalence Estimates report (CBHSQ, 2023d).

27 In NSDUH SAE documents prior to 2016-2017, the term “initiation” was referred to as “incidence.”

28 NSDUH respondents in 2021 and 2022 were asked the respective questions for alcohol use disorder or marijuana use disorder if they reported use of these substances on 6 or more days in the past year.

29 For alcohol, for example, withdrawal symptoms include (but are not limited to) trouble sleeping, hands trembling, hallucinations (seeing, feeling, or hearing things that are not really there), or feeling anxious.

30 For alcohol use disorder, for example, this criterion involves the use of alcohol, sedatives, or tranquilizers to get over or avoid alcohol withdrawal symptoms.

31 NSDUH respondents in 2021 and 2022 were asked the respective questions for alcohol use disorder or marijuana use disorder only if they reported use of these substances on 6 or more days in the past year.

32 “An MDE” refers to the occurrence of at least one MDE, rather than only one MDE. Similarly, reference to “the MDE” in a given period (e.g., the past 12 months) does not mean an individual had only one MDE in that period.

Long Descriptions—Figure

Long description, Figure 1. This figure is a graph of a function within a coordinate plane; the horizontal axis shows the estimated proportion (p = small area estimate), and the vertical axis shows the required effective sample size for the estimated proportion to be published. A horizontal line through the graph indicates that an effective sample size of 68 is required for the current suppression rule. There also is a dashed vertical line at the intersection of the estimated proportion of 0.05 and the effective sample size of 68. The graph decreases from an infinitely large required effective sample size when the estimated proportion is close to zero and approaches a local minimum of 50 when the estimated proportion is 0.2. The graph increases for estimated proportions greater than 0.2 until a required effective sample size of 68 is reached for an estimated proportion of 0.5. There also is a dashed vertical line at the intersection of the estimated proportion of 0.5 and the effective sample size of 68. The graph decreases for estimated proportions greater than 0.5 and approaches a local minimum of 50 for the required effective sample size when the estimated proportion is 0.8. The graph increases for estimated proportions greater than 0.8 and reaches an infinitely large required effective sample size when the estimated proportion is close to 1.0.

Long description end. Return to Figure1.

Long Descriptions—Equations

Long description, Equation 1. Capital S R R is equal to the ratio of two quantities. The numerator is the summation of the product of w sub d u and complete sub d u. The denominator is the summation of the product of w sub d u and eligible sub d u.

Long description end. Return to Equation 1.

Long description, Equation 2. Capital I R R is equal to the ratio of two quantities. The numerator is the summation of the product of w sub i and complete sub i. The denominator is the summation of the product of w sub i and selected sub i.

Long description end. Return to Equation 2.

Long description, Equation 3. Capital O R R is equal to the product of capital S R R and capital I R R.

Long description end. Return to Equation 3.

Long description, Equation 4. The relative standard error of the negative of the natural logarithm of p is equal to the square root of the posterior variance of p divided by the product of p and the negative of the natural logarithm of p. The relative standard error of the negative of the natural logarithm of 1 minus p is equal to the square root of the posterior variance of 1 minus p divided by the product of 1 minus p and the negative of the natural logarithm of 1 minus p.

Long description end. Return to Equation 4.

Long description, Equation 5. The model is given by the following equation: log of pi sub a, i, j, k divided by 1 minus pi sub a, i, j, k is equal to the sum of three terms. The first term is given by x transpose sub a, i, j, k times beta sub a. The second term is eta sub a, i. And the third term is nu sub a, i, j.

Long description end. Return to Equation 5.

Long description, Equation 6. Lower sub s and a is defined as the exponent of capital L sub s and a divided by the sum of 1 and the exponent of capital L sub s and a. And upper sub s and a is defined as the exponent of capital U sub s and a divided by the sum of 1 and the exponent of capital U sub s and a.

Long description end. Return to Equation 6.

Long description, Equation 7. Capital L sub s and a is defined as the difference of two quantities. The first quantity is the natural logarithm of the ratio of Theta sub s and a and 1 minus Theta sub s and a. The second quantity is the product of 1.96 and the square root of MSE sub s and a, which is the mean squared error for state-s and age group-a.

Long description end. Return to Equation 7.

Long description, Equation 8. Capital U sub s and a is defined as the sum of two quantities. The first quantity is the natural logarithm of the ratio of Theta sub s and a and 1 minus Theta sub s and a. The second quantity is the product of 1.96 and the square root of MSE sub s and a, which is the mean squared error for state-s and age group-a.

Long description end. Return to Equation 8.

Long description, Equation 9. The mean squared error, MSE sub s and a, is defined as the sum of two quantities. The first quantity is the square of the difference of two parts. Part 1 is defined as the natural logarithm of the ratio of capital P sub s and a and 1 minus capital P sub s and a. Part 2 is defined as the natural logarithm of the ratio of Theta sub s and a and 1 minus Theta sub s and a. The second quantity is the posterior variance of the natural logarithm of the ratio of capital P sub s and a and 1 minus capital P sub s and a.

Long description end. Return to Equation 9.

Long description, Equation 10. The average annual rate is defined as 100 times quantity q divided by 2. Quantity q is defined as capital X sub 1 divided by the sum of 0.5 times capital X sub 1 plus capital X sub 2.

Long description end. Return to Equation 10.

Long description, Equation 11. The average annual rate is defined as 100 times quantity q. Quantity q is defined as capital X sub 1 divided by the sum of capital X sub 1 plus capital X sub 2.

Long description end. Return to Equation 11.

Go to Top of Page