
![[ Click Here to Enter an Alternate Text for this Image ]](/data//sites/default/files/report_3061/images/image_file_0_FirstPageImage_1554854827.jpg)
Alcohol consumption by people younger than age 21 continues despite laws in all 50 states and the District of Columbia that prohibit drinking by this age group. More people aged 12 to 21 use alcohol than tobacco or other illicit drugs, making it the most widely used illegal substance by this age group.1 According to the Substance Abuse and Mental Health Services Administration's 2015 National Survey on Drug Use and Health (NSDUH), 20.3 percent of people aged 12 to 20 consumed alcohol in the past month, 13.4 percent were binge drinkers (drank five or more drinks on the same occasion on at least 1 day in the 30 days before taking the survey), and 3.3 percent were heavy drinkers (drank five or more drinks on the same occasion on at least 5 days in the 30 days before taking the survey).2 NSDUH data also showed that underage drinkers were more likely than alcohol users aged 21 or older to use illicit drugs within 2 hours of alcohol use on their last reported drinking occasion (20 vs. 5 percent, respectively).
Despite the current high levels of underage alcohol use, NSDUH data do show improvements in the prevalence of underage drinking behaviors over time. Between 2002 and 2015, there was an overall decline in the percentage of people aged 12 to 20 reporting past month alcohol use and binge drinking.2 Heavy drinking is an age- and gender-related phenomenon, increasing in likelihood with the age of the respondent and being more common among male than female respondents.1 An analysis of age- and gender-specific trends of drinking behaviors in NSDUH showed variation across age groups and gender in patterns of drinking behaviors and suggests that historically observed gender gaps may be declining. For example, although past month alcohol use has declined among males and females aged 12 to 17, the observed declines were faster among males, which narrowed the gender gap in this age group. The same analysis also showed that drinking frequency declined faster among underage males than females.
In recognition of the scope of the underage drinking problem, the Surgeon General's Call to Action to Prevent and Reduce Underage Drinking was issued in 2007.3 The report noted the association between underage drinking and a host of health risks, including violence, injury, illicit drug use, risky sexual behavior, damage to the developing brain, and death. These dangers may cause underage drinkers to require treatment in an emergency department (ED)—circumstances under which health care providers can identify high-risk adolescents and young adults.
Alcohol misuse–related ED visits are an important indicator of the public health burden of alcohol use among adolescents and young adults. The Agency for Healthcare Research and Quality (AHRQ) Healthcare Cost and Utilization Project (HCUP) Nationwide Emergency Department Sample (NEDS)4 can be used to estimate trends in ED visits involving underage alcohol misuse. The HCUP NEDS is a nationally representative database of community hospital–based ED visits collected by AHRQ. Data are collected for all visits in participating hospital-based EDs regardless of expected payer or inpatient admission status. For each visit, data are available on selected patient demographics, diagnoses, procedures, ED discharge status, primary payer, and total ED and inpatient charges.
Using the NEDS data from 2010 to 2013, ED visits involving underage alcohol misuse were identified using the age and diagnosis fields. ED visits for patients aged 12 to 20 with one of the following ICD-9-CM codes in any diagnostic or E-code field were included in this analysis: 980.0, 303.00, 303.01, 303.02, 305.00, 305.01, 305.02, 790.3, and E860.0. (Table S1 lists the ICD-9-CM codes used to identify the alcohol misuse–related visits.) These codes, which include alcohol toxicity, alcohol poisoning, and alcohol abuse, were selected to limit the visits that were included in the analysis to cases of acute alcohol poisoning and nondependent abuse among underage patients.5 Visits were then stratified into alcohol-only visits and drug and alcohol combination visits. Underage alcohol misuse–related visits were classified as combination visits if they included at least one drug-related ICD-9-CM code, in any diagnostic position or E-Code field, listed in Table S2. Visits that were missing data on age or gender were excluded from the analysis.
Rates of underage alcohol misuse–related ED visits were calculated using age- and gender-specific population estimates of adolescents and young adults aged 12 to 20 from the U.S. Census Bureau. Alcohol misuse–related ED visit rates were calculated for males and females aged 12 to 20 and separately for those aged 12 to 14, 15 to 17, and 18 to 20; all of the reported rates were stratified by gender. Adolescents aged 12 to 17 were stratified into two separate age groups because past research has shown that the patterns of gender differences among those aged 12 to 14 and those aged 15 to 17 are different.1 Alcohol misuse–related ED visits are expressed as the number of ED visits per 100,000 adolescents or young adults by year.
Chi-square two sample t-tests were used to test for differences in proportions between alcohol-only visits and drug and alcohol combination visits for demographic characteristics including gender, age group, disposition (treated and released, admitted, other, etc.), and the presence of an injury-related ICD-9-CM diagnosis code recorded on the claim. Separate Poisson regression models were run in samples that were stratified by gender. Poisson regression models with a continuous time variable, a gender variable, and a time by gender interaction term were also used to examine changes in the trends in the rates of alcohol-only and drug and alcohol combination ED visits by time and gender. Trends are described as increasing or decreasing only when the changes over time were statistically significant at the 0.05 level. By examining the combined effects of gender, age, and time on underage alcohol misuse–related ED visits, it will be possible to determine whether the gender trends in underage alcohol misuse–related ED visits are consistent with the changes in drinking behaviors observed in people aged 12 to 20.
Table 1 provides estimates of the number of alcohol-only and drug and alcohol combination ED visits. Between 2010 and 2013, an estimated 656,827 alcohol misuse–related ED visits were made by patients aged 12 to 20. Alcohol-only visits accounted for 78.8 percent of all underage alcohol misuse–related visits, and drug and alcohol combination visits accounted for 21.2 percent.
Young adults aged 18 to 20 accounted for 65.1 percent of all alcohol-only ED visits made by underage patients, and they accounted for 59.5 percent of drug and alcohol combination visits. The majority of alcohol-only visits (55.9 percent) and drug and alcohol combination visits (62.1 percent) involving underage patients were made by males.
Table 1 also compares the differences in patient demographics between underage patients treated for alcohol only and those treated for drugs and alcohol in an ED. Underage patients treated for drugs and alcohol together were more likely to be younger and more likely to be male than patients treated in visits that involved only alcohol. Underage patients treated for drugs and alcohol together were also more likely to be treated for an injury during their ED visit and be admitted for inpatient care, suggesting a higher degree of severity.
Table 1. Overview of all alcohol misuse–related emergency department visits among people aged 12 to 20: 2010 to 2013
![[ Click Here to Enter an Alternate Text for this Image ]](/data//sites/default/files/report_3061/images/image_file_2937_BlockImageOne_1701566446.png)
Table 2 provides a comparison of the alcohol-only and drug and alcohol ED visits stratified by gender. In the gender-stratified samples, the differences between alcohol-only and drug and alcohol combination visits remained. Male and female underage patients treated for both drugs and alcohol were more likely to be treated for an injury during their ED visit and to be admitted for inpatient care.
Table 2. Overview of all alcohol misuse–related emergency department visits among people aged 12 to 20, by gender: 2010 to 2013
![[ Click Here to Enter an Alternate Text for this Image ]](/data//sites/default/files/report_3061/images/image_file_2941_BlockImageOne_1881308247.png)
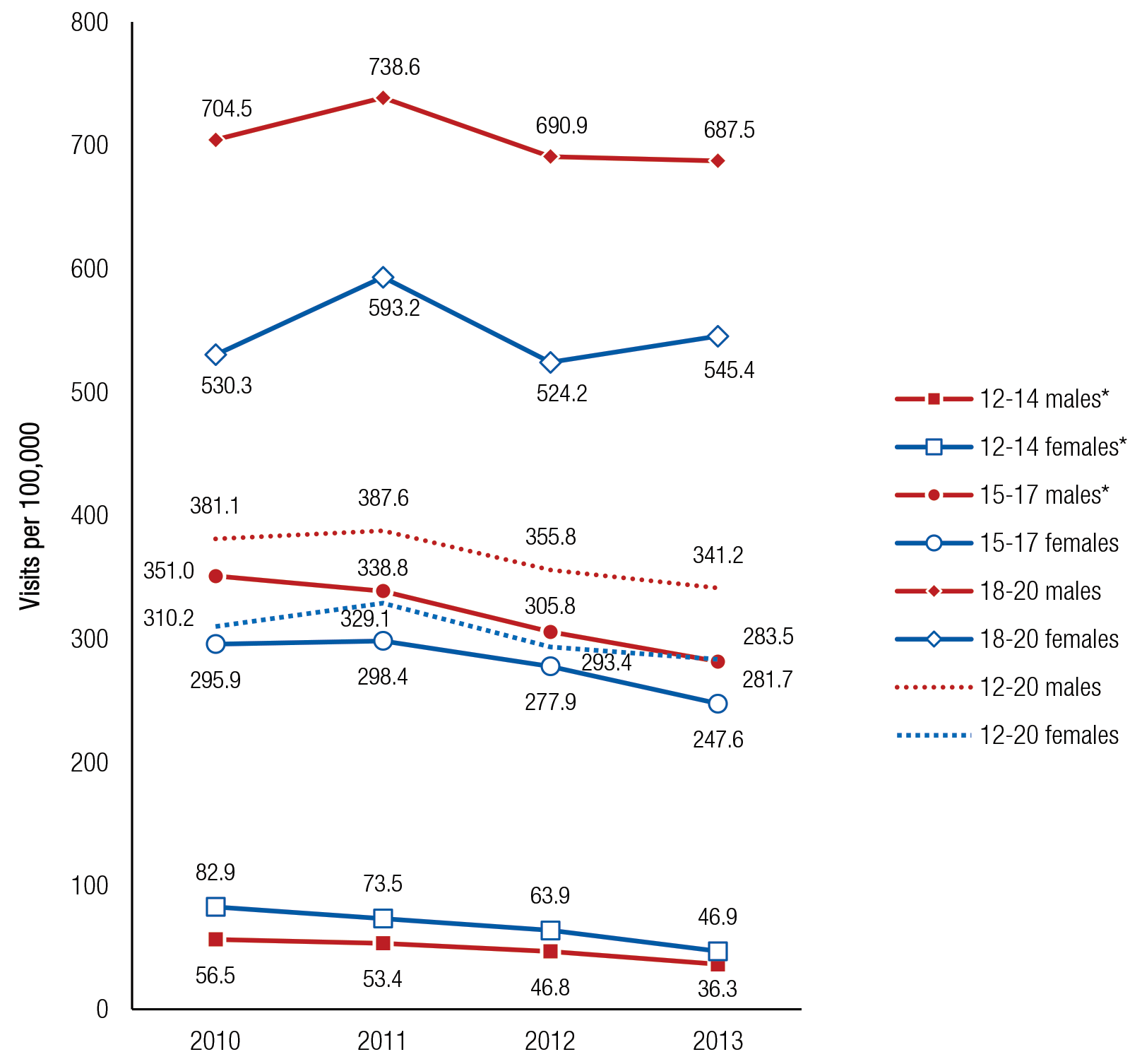
In 2013, there were an estimated 66,671 alcohol-only ED visits among male patients aged 12 to 20, representing a population rate of 341.2 visits per 100,000 males in this age group (Table 3). There were 52,701 alcohol-only ED visits among female patients aged 12 to 20, representing a population rate of 283.5 visits per 100,000 females in this age group.
Table 3. Alcohol-only emergency department visits among people aged 12 to 20, by year and gender: 2010 to 2013
![[ Click Here to Enter an Alternate Text for this Image ]](/data//sites/default/files/report_3061/images/image_file_2945_BlockImageOne_947323026.png)
Young adults aged 18 to 20. Figure 1 shows the age- and gender-specific trends for alcohol-only ED visits. There were no significant changes in the rate of alcohol-only visits between 2010 and 2013 in male or female patients in this age group. Males aged 18 to 20 consistently had a higher rate of alcohol-only visits relative to females aged 18 to 20.
Adolescents aged 15 to 17. Although the rate of alcohol-only visits among males aged 15 to 17 was significantly higher than the rate among females in this age group, the trends observed between males and females were similar; therefore, the gender gap between males and females remained constant. Between 2010 and 2013, the rate of alcohol-only ED visits declined from 351.0 to 281.7 visits per 100,000 males and from 295.9 to 247.6 visits per 100,000 females.
Adolescents aged 12 to 14. A different pattern was observed in the estimates for alcohol-only ED visits among males and females aged 12 to 14. In this age group, females had a higher rate of alcohol-only ED visits than males. From 2010 to 2013, the rate of alcohol-only ED visits declined from 56.5 to 36.3 visits per 100,000 males and from 82.9 to 46.9 visits per 100,000 females. However, the estimates also suggest that the rate of alcohol-only visits among females aged 12 to 14 may be declining faster than among males in this age group, thus decreasing the observed gender gap.
Figure 1. Rates of alcohol-only emergency department visits among people aged 12 to 20, by age group and gender: 2010 to 2013
![[ Click Here to Enter an Alternate Text for this Image ]](/data//sites/default/files/report_3061/images/image_file_2947_BlockImageOne_1466061.png)
In 2013, there were an estimated 20,315 underage drug and alcohol combination ED visits among male patients aged 12 to 20, representing a population rate of 104.0 visits per 100,000 males in this age group (Table 4). There were 13,089 underage drug and alcohol combination ED visits among female patients aged 12 to 20, representing a population rate of 70.4 visits per 100,000 females in this age group. Among all underage males and females, the rate of drug and alcohol combination ED visits remained stable.
Table 4. Drug and alcohol combination emergency department visits among people aged 12 to 20, by year and gender: 2010 to 2013
![[ Click Here to Enter an Alternate Text for this Image ]](/data//sites/default/files/report_3061/images/image_file_2949_BlockImageOne_694333268.png)
Young adults aged 18 to 20. Figure 2 shows the age- and gender-specific trends for drug and alcohol combination ED visits. The rate of drug and alcohol combination ED visits among males aged 18 to 20 remained relatively constant over time. Among females aged 18 to 20, there was a small increase in the rate of ED visits for drugs and alcohol.
Adolescents aged 15 to 17. Males aged 15 to 17 made 6,342 ED visits for drugs and alcohol in 2013, which represented a population rate of 99.2 visits per 100,000 males in this age group. Females in this age group made 4,871 ED visits with a population rate of 79.8 visits per 100,000 females. The trends in drug and alcohol combination ED visits remained constant among males and females aged 15 to 17.
Adolescents aged 12 to 14. In 2013, there were an estimated 833 underage drug and alcohol combination ED visits among male patients aged 12 to 14, representing a population rate of 13.0 visits per 100,000 males in this age group. There were 1,120 underage drug and alcohol combination ED visits among female patients aged 12 to 14, representing a population rate of 13.3 visits per 100,000 females in this age group. The rate of drug and alcohol combination ED visits remained relatively stable among females aged 12 to 14. Rates for males declined, from the 2010 rate of 18.5 visits per 100,000 to 13.0 visits per 100,000 in 2013.
Figure 2. Rates of drug and alcohol combination emergency department visits among people aged 12 to 20, by gender: 2010 to 2013
![[ Click Here to Enter an Alternate Text for this Image ]](/data//sites/default/files/report_3061/images/image_file_2951_BlockImageOne_422343916.png)
This analysis found that a majority of alcohol misuse–related ED visits among patients aged 12 to 20 involved only alcohol and that the observed trends between 2010 and 2013 showed some decline in the occurrence of these visits for specific age groups. Declines in the rate of alcohol-only visits were observed among those aged 15 to 17 and 12 to 14. Young adults aged 18 to 20, who have the highest rate of any type of alcohol misuse–related ED visits, showed no change in the frequency of alcohol-only ED visits or drug and alcohol combination visits. Unlike the trends observed in underage drinking behaviors, there was limited evidence that gender gaps are converging for any type of alcohol misuse–related ED visit outside of the 12- to 14-year-old age group.
Small declines in the frequency of drug and alcohol combination visits were observed among only males aged 12 to 14; for all other groups, the rate of drug and alcohol combination visits remained constant or, in the case of females aged 18 to 20, increased over time. This statistic is particularly concerning because these data suggest that the severity of drug and alcohol combination visits is higher compared with alcohol-only visits. The steady rates of adolescents and young adults visiting the ED for episodes related to alcohol combined with other drugs may indicate that such behavior requires additional public health interventions. New strategies may be needed to raise awareness because these combinations can be especially dangerous among young people who are unfamiliar with drug interaction effects.
Public health resources could be used to help prevent or reduce the availability of alcohol to underage drinkers and encourage adolescents and young adults to make healthy decisions. Health professionals in the ED are well placed to provide referrals for assessment and treatment, as well as brief interventions for these adolescents and young adults even if they are treated and released to return home. The ED offers a unique opportunity to identify and intervene with underage drinkers, particularly those at increased risk for alcohol abuse and its long-term negative consequences.
Estimates for this report were generated from the NEDS, which is part of a family of databases developed for HCUP. HCUP is sponsored by AHRQ within the U.S. Department of Health and Human Services. The NEDS captures information about ED visits across the country. The 2013 database contains information from 31 million ED visits at 950 hospitals that approximate a 20 percent stratified sample of U.S. hospital-based EDs. The NEDS includes discharges for patients who were treated in the ED and released or treated in the ED and subsequently admitted to the same hospital. Estimates for this report were generated using the NEDS weights to produce national estimates pertaining to 135 million ED visits in 2013.
The HCUP NEDS is a nationally representative database of community, hospital-based ED visits. Data are collected for all visits in participating hospital-based EDs regardless of expected payer or inpatient admission status. For each visit, data are available on patient demographics, diagnoses, procedures, ED discharge status, primary payer, and total ED and inpatient charges.
This report uses data from the 2010-2013 NEDS Core files. The drug-related ED visits were selected based on ICD-9-CM diagnosis codes. Further information on NEDS is available at https://www.hcup-us.ahrq.gov/nedsoverview.jsp.
List of HCUP States
Alaska, Arizona, Arkansas, California, Colorado, Connecticut, District of Columbia, Florida, Georgia, Hawaii, Illinois, Indiana, Iowa, Kansas, Kentucky, Louisiana, Maine, Maryland, Massachusetts, Michigan, Minnesota, Mississippi, Missouri, Montana, Nebraska, Nevada, New Hampshire, New Jersey, New Mexico, New York, North Carolina, North Dakota, Ohio, Oklahoma, Oregon, Pennsylvania, Rhode Island, South Carolina, South Dakota, Tennessee, Texas, Utah, Vermont, Virginia, Washington, West Virginia, Wisconsin, Wyoming
Naeger, S. Emergency department visits involving underage alcohol use: 2010 to 2013. The CBHSQ Report: May 16, 2017. Center for Behavioral Health Statistics and Quality, Substance Abuse and Mental Health Services Administration, Rockville, MD.
Table S1. Case definitions for underage alcohol misuse–related emergency department visits
![[ Click Here to Enter an Alternate Text for this Image ]](/data//sites/default/files/report_3061/images/image_file_2965_BlockImageOne_106848497.png)
Table S2. Case definitions for drug-related emergency department visits
![[ Click Here to Enter an Alternate Text for this Image ]](/data//sites/default/files/report_3061/images/image_file_2967_BlockImageOne_1129902557.png)
Table S2 - continued. Case definitions for drug-related emergency department visits
![[ Click Here to Enter an Alternate Text for this Image ]](/data//sites/default/files/report_3061/images/image_file_2969_BlockImageOne_1804272786.png)