Substance Abuse and Mental Health Services Administration
Center for Behavioral Health Statistics and Quality
Rockville, Maryland
August 2019
This report was prepared for the Substance Abuse and Mental Health Services Administration (SAMHSA), U.S. Department of Health and Human Services (HHS), under Contract No. HHSS283201700002C with RTI International. Production of the report at SAMHSA was managed by Rebecca D. Ahrnsbrak. Peter Tice served as the government project officer and as the contracting officer representative.
All material appearing in this report is in the public domain and may be reproduced or copied without permission from SAMHSA. Citation of the source is appreciated. However, this publication may not be reproduced or distributed for a fee without the specific, written authorization of the Office of Communications, SAMHSA, HHS.
This publication may be downloaded at https://www.samhsa.gov/data/.
Substance Abuse and Mental Health Services Administration. (2019). 2018 National Survey on Drug Use and Health: Methodological summary and definitions. Rockville, MD: Center for Behavioral Health Statistics and Quality, Substance Abuse and Mental Health Services Administration. Retrieved from https://www.samhsa.gov/data/
Center for Behavioral Health Statistics and Quality, Substance Abuse and Mental Health Services Administration, 5600 Fishers Lane, Room 15-E09D, Rockville, MD 20857. For questions about this report, please e-mail CBHSQrequest@samhsa.hhs.gov.
SAMHSA complies with applicable federal civil rights laws and does not discriminate on the basis of race, color, national origin, age, disability, or sex. SAMHSA cumple con las leyes federales de derechos civiles aplicables y no discrimina por motivos de raza, color, nacionalidad, edad, discapacidad o sexo.
U.S. Department of Health and Human Services
Substance Abuse and Mental Health Services Administration
Center for Behavioral Health Statistics and Quality
Populations Survey Branch
August 2019
2. Description of the Survey
2.1 Sample Design
2.2 Data Collection Methodology
2.2.1 Data Collection Procedures
2.2.2 Notable Questionnaire Changes for 2018
2.3 Data Processing
2.3.1 Criteria for Identifying Usable Interviews
2.3.2 Data Coding and Editing
2.3.3 Statistical Imputation
2.3.4 Development of Analysis Weights
3. Statistical Methods and Measurement
3.1 Target Population
3.2 Estimation and Statistical Significance
3.2.1 Variance Estimation for Estimated Numbers of Individuals
3.2.2 Suppression Criteria for Unreliable Estimates
3.2.3 Statistical Significance of Differences
3.3 Other Information on Data Accuracy
3.3.1 Screening and Interview Response Rate Patterns
3.3.2 Item Nonresponse and Inconsistent Responses
3.3.3 Reliability of NSDUH Measures
3.3.4 Validity of Self-Reported Substance Use
3.3.5 Revised Estimates for 2006 to 2010
3.4 Measurement Issues
3.4.1 Use and Misuse of Prescription Drugs
3.4.2 Initiation of Substance Use or Misuse
3.4.3 Substance Use Disorders
3.4.4 Need for Services for Substance Use and Mental Health Issues
3.4.5 Definition of County Type
3.4.6 Effects of Questionnaire Changes Prior to 2015 on Mental Health Measures
3.4.7 Estimation of Serious and Other Levels of Mental Illness
3.4.8 Major Depressive Episode (Depression)
4. Special Topics for the NSDUH Prescription Drug Questions
4.1 Definitions for Any Psychotherapeutic Drug and the Four Psychotherapeutic Drug Categories
4.1.1 Controlled Substances Act and Its Relevance to Psychotherapeutics
4.1.2 Pain Reliever Subtypes and Their Status as Controlled Substances
4.1.3 Tranquilizer Subtypes and Their Status as Controlled Substances
4.1.4 Stimulant Subtypes and Their Status as Controlled Substances
4.1.5 Sedative Subtypes and Their Status as Controlled Substances
4.2 Misuse of Prescription Psychotherapeutic Drugs versus Nonmedical Use
4.3 Handling of Missing Data for Prescription Drugs
4.4 Measures of Opioid Misuse in NSDUH
4.4.1 Background
4.4.2 Prescription Pain Reliever and Prescription Opioid Misuse
4.4.3 Any Opioid Misuse, Including Heroin
4.5 Measures of Tranquilizer or Sedative Use and Misuse in NSDUH
4.5.1 Background
4.5.2 Creation of Measures for Tranquilizer or Sedative Misuse
4.5.3 Measures Not Created for Tranquilizer or Sedative Use and Misuse
4.6 Measures of Benzodiazepine Use and Misuse in NSDUH
4.6.1 Background
4.6.2 Creation of Measures for Benzodiazepine Use and Misuse
4.6.3 Measures Not Created for Benzodiazepine Use and Misuse
5. Other Sources of Data
5.1 National Surveys Collecting Substance Use or Mental Health Data in the Civilian, Noninstitutionalized Population
5.1.1 Behavioral Risk Factor Surveillance System (BRFSS)
5.1.2 Monitoring the Future (MTF)
5.1.3 National Comorbidity Survey (NCS) Series
5.1.4 National Health and Nutrition Examination Survey (NHANES)
5.1.5 National Health Interview Survey (NHIS)
5.1.6 National Epidemiologic Survey on Alcohol and Related Conditions (NESARC)
5.1.7 National Longitudinal Study of Adolescent Health (Add Health)
5.1.8 National Survey of Children's Health (NSCH)
5.1.9 Youth Risk Behavior Survey (YRBS)
5.2 Substance Use Treatment Data Sources
5.2.1 National Survey of Substance Abuse Treatment Services (N-SSATS)
5.2.2 Treatment Episode Data Set (TEDS)
5.3 Surveys of Populations Not Covered by NSDUH
5.3.1 Army Study to Assess Risk and Resilience in Servicemembers (Army STARRS)
5.3.2 Department of Defense (DoD) Health Related Behaviors Survey of Active Duty Military Personnel (HRB Survey)
5.3.3 Minimum Data Set (MDS)
5.3.4 National Inmate Surveys (NIS)
5.3.5 National Study of Long-Term Care Providers (NSLTCP)
A. Key Definitions for the 2018 National Survey on Drug Use and Health
3.1 Required Effective Sample in the 2018 NSDUH as a Function of the Proportion Estimated
4.1 Subtypes of Prescription Pain Relievers in the 2018 NSDUH Questionnaire
4.2 Subtypes of Prescription Tranquilizers in the 2018 NSDUH Questionnaire
4.3 Subtypes of Prescription Stimulants in the 2018 NSDUH Questionnaire
4.4 Subtypes of Prescription Sedatives in the 2018 NSDUH Questionnaire
5.1 Past Month Alcohol Use among Youths in NSDUH and MTF: 2002-2018
5.2 Past Month Cigarette Use among Youths in NSDUH and MTF: 2002-2018
5.3 Past Month Marijuana Use among Youths in NSDUH and MTF: 2002-2018
5.4 Past Month Marijuana Use among Youths in NSDUH, MTF, and YRBS: 1971-2018
2.3 Weighted Statistical Imputation Rates (Percentages) for the 2018 NSDUH, by Interview Section
3.2 Summary of 2018 NSDUH Suppression Rules
3.3 Weighted Percentages and Sample Sizes for 2017 and 2018 NSDUHs, by Final Screening Result Code
3.4 Weighted Percentages and Sample Sizes for 2017 and 2018 NSDUHs, by Final Interview Code
3.5 Response Rates and Sample Sizes for 2017 and 2018 NSDUHs, by Demographic Characteristics
3.6 Final SMI Prediction Models in the 2008-2012 MHSSs
4.1 Pain Reliever Subtypes in the 2018 NSDUH
4.2 Tranquilizer Subtypes in the 2018 NSDUH
4.3 Stimulant Subtypes in the 2018 NSDUH
This report summarizes methods and other supporting information relevant to estimates of substance use and mental health issues from the 2018 National Survey on Drug Use and Health (NSDUH), an annual survey of the civilian, noninstitutionalized population of the United States aged 12 years or older. NSDUH is the primary source of statistical information on the use of tobacco, alcohol, prescription psychotherapeutic drugs (pain relievers, tranquilizers, stimulants, and sedatives), and other substances (e.g., marijuana, cocaine) by the U.S. civilian, noninstitutionalized population aged 12 years or older. The survey also includes several series of questions focusing on mental health issues. Conducted by the federal government since 1971, the survey collects data through face-to-face interviews with a representative sample of the population at the respondent's place of residence. The survey is sponsored by the Substance Abuse and Mental Health Services Administration (SAMHSA), U.S. Department of Health and Human Services, and is planned and managed by SAMHSA's Center for Behavioral Health Statistics and Quality (CBHSQ). Data collection and analysis are conducted under contract with RTI International.1
NSDUH collects information from residents of households and noninstitutional group quarters (e.g., shelters, rooming houses, dormitories) and from civilians living on military bases. The survey excludes homeless people who do not use shelters, military personnel on active duty, and residents of institutional group quarters, such as jails and hospitals.
This report is organized into five chapters. Chapter 2 describes the survey, including information about the sample design, data collection procedures, and key aspects of data processing (e.g., development of analysis weights). Chapter 3 presents technical details on the statistical methods and measurement, such as suppression criteria for unreliable estimates, statistical testing procedures, and issues for selected substance use and mental health measures. Chapter 4 discusses special topics related to prescription psychotherapeutic drugs. Chapter 5 describes other sources of data on substance use and mental health issues, including data sources for populations outside the NSDUH target population.
A list of references cited in the report and two appendices also are provided. Appendix A is a glossary of key definitions for use as a resource with the 2018 NSDUH reports and tables. This appendix is included in this report and as part of the 2018 detailed tables (CBSHQ, 2019d). Appendix B provides a list of contributors to this report.
Data and findings for the 2018 NSDUH are presented in a national-level report focusing on key substance use and mental health indicators among people aged 12 years or older (CBHSQ, 2019g) and in the 2018 detailed tables mentioned previously. The detailed tables are a comprehensive set of tables on substance use and mental health issues that include estimated numbers of people with a characteristic of interest (e.g., numbers of substance users, numbers of adults with mental illness), corresponding percentages, and standard errors of estimates. Tables for the 2018 NSDUH are available at https://www.samhsa.gov/data/.
In addition, the NSDUH questionnaire underwent a partial redesign in 2015 to improve the quality of the NSDUH data and to address the changing needs of policymakers and researchers. The methodological summary and definitions report for the 2015 NSDUH discusses these issues in greater detail, including effects on the comparability of estimates between 2015 and earlier survey years (CBHSQ, 2016b).
State-level estimates for substance use and mental health for 2016-2017 and earlier years also are available on SAMHSA's website at https://www.samhsa.gov/data/. State-level estimates for 2017-2018 are expected to be available on SAMHSA's website in late 2019.
As in previous years, CBHSQ will construct a public use data file for the 2018 NSDUH that will be available in late 2019 on the website for the Substance Abuse and Mental Health Data Archive (SAMHDA) at https://datafiles.samhsa.gov/. Users of NSDUH data files, including the public use files, will see important questionnaire updates for a given survey year being reflected by changes to the variable names, labels, and codebook documentation. Variables assumed no longer to be comparable with their counterparts from prior years are renamed to alert data users to the changes. Variables assumed to remain comparable with their counterparts from prior years2 have retained the same variable names across years.
The respondent universe for the National Survey on Drug Use and Health (NSDUH)3 is the civilian, noninstitutionalized population aged 12 years or older residing within the United States. The survey covers residents of households (individuals living in houses/townhouses, apartments, and condominiums; civilians living in housing on military bases, etc.) and individuals in noninstitutional group quarters (e.g., shelters, rooming/boarding houses, college dormitories, migratory workers' camps, halfway houses). Excluded from the survey are individuals with no fixed household address (e.g., homeless and/or transient people not in shelters), active-duty military personnel, and residents of institutional group quarters, such as correctional facilities, nursing homes, mental institutions, and long-term care hospitals.
A coordinated sample design was also developed for the 2014 through 2017 NSDUHs. A large reserve sample was selected at the time the 2014 through 2017 NSDUH sample was selected. This reserve sample was (or will be) used to field the 2018 through 2022 NSDUHs. Thus, the 2018 through 2022 NSDUH designs simply continue the coordinated design. The coordinated sample design is state-based, with an independent, multistage area probability sample within each state and the District of Columbia. As a result, states are viewed as the first level of stratification and as a variable for reporting estimates. Each state was further stratified into approximately equally populated state sampling regions (SSRs). Creation of the multistage area probability sample then involved selecting census tracts within each SSR, census block groups within census tracts, and area segments (i.e., a collection of census blocks) within census block groups. Finally, dwelling units (DUs) were selected within segments, and (within each selected DU) up to two residents who were at least 12 years old were selected for the interview.
The coordinated sample design for 2014 through 2022 includes a 50 percent overlap in third-stage units (area segments) within each successive 2-year period from 2014 through 2022. In addition to reducing costs, this designed sample overlap slightly increases the precision of estimates of year-to-year trends because of the expected small but positive correlation resulting from the overlapping area segments between successive survey years. DUs that are not sampled the first year are eligible for selection the following year. There is no planned overlap of sampled residents; however, individuals may be selected in consecutive years if they move and their new residence is selected the year after their original DU was sampled.
The 2014 through 2022 sample design allocates more interviews to the largest 12 states (compared with the 1999 to 2013 design).4 Making the sample sizes more proportional to the state population sizes improves the precision of national NSDUH estimates. This change also allows for a more cost-efficient sample allocation to the largest states while slightly increasing the sample sizes in smaller states to improve the precision of state estimates by either direct methods (by pooling multiple years of data) or using small area estimation (SAE).5 Population projections based on the 2010 census and data from the 2006 to 2010 American Community Surveys (ACS) were used to construct the sampling frame for the 2014 to 2022 NSDUHs. In contrast, projections based on the 2000 census were used in constructing the sampling frame for the 2005 to 2013 NSDUHs.
Table 2.1 at the end of this chapter shows the targeted numbers of completed interviews in selected states per year for the 2014 through 2022 samples. For Hawaii, the sample was designed to yield a minimum of 200 completed interviews in Kauai County, Hawaii, over a 3-year period. To achieve this goal while maintaining precision at the state level, the annual sample in Hawaii consists of 67 completed interviews in Kauai County and 900 completed interviews in the remainder of the state, for a total of 967 completed interviews each year for 2014 onward. The sample design also targeted 960 completed interviews in each of the remaining 37 states and the District of Columbia that are not listed individually in Table 2.1.
In 2018, the actual sample sizes in the 12 largest states in Table 2.1 (i.e., not including Hawaii) ranged from 1,451 to 4,540. In the remaining states, the actual sample sizes ranged from 871 to 1,045.
As mentioned previously, states were first stratified into SSRs. The number of SSRs varied by state and was related to the state's sample size. SSRs were contiguous geographic areas designed to yield approximately the same number of interviews within a given state.6 A total of 750 SSRs are in the 2014 through 2022 sample design. Table 2.1 also shows the number of SSRs for different states.
Similar to the 2005 through 2013 NSDUHs, the first stage of selection for the 2014 through 2022 NSDUHs was census tracts.7 Within each SSR, 48 census tracts8 were selected with probability proportional to a composite measure of size.9 This stage has been included since 2005 to contain sampled areas within a single census tract to the extent possible in order to facilitate merging to external data sources. Within sampled census tracts, adjacent census block groups were combined as necessary to meet the minimum DU size requirements.10 One census block group or second-stage sampling unit then was selected within each sampled census tract with probability proportional to population size. Compared with the selection process used for the 2005 through 2013 NSDUHs, the selection of census block groups is an additional stage of selection that was included to facilitate possible transitioning to an address-based sampling (ABS) design in a future survey year. For the third stage of selection, adjacent blocks were combined within each sampled census block group to form area segments. One area segment was selected within each sampled census block group with probability proportionate to a composite measure of size.
Although only 20 segments per SSR were needed to support the coordinated 4-year sample for the 2014 through 2017 NSDUHs, an additional 28 segments per SSR were selected to support a number of large field tests and to carry the sample through the next decennial census, if desired.11 These additional segments are being used to support the 2018 through 2022 NSDUHs. Eight sample segments per SSR were fielded during the 2018 survey year. Four of these segments were selected for the 2017 survey and were used again in the 2018 survey; four were selected for the 2018 survey and will be used again in the 2019 survey.
Sampled segments for 2018 were allocated equally into four separate samples, one for each 3-month period (calendar quarter) during the year. That is, a sample of addresses was selected from two segments in each calendar quarter so that field data collection occurred relatively year-round. In each of the area segments, a listing of all addresses was made, from which a national sample of 227,252 addresses was selected. Of the selected addresses, 193,456 were determined to be eligible sample units. In these sample units (which can be either households or units within group quarters), sampled individuals were randomly selected using an automated screening procedure programmed in a handheld tablet computer carried by the field interviewers (FIs). The number of sample units completing the screening was 141,879.
In the 2005 to 2013 NSDUHs, the sample was allocated equally between three age groups: 12 to 17, 18 to 25, and 26 or older. Starting in 2014 and continuing through 2018, the allocation of the NSDUH sample is 25 percent for adolescents aged 12 to 17, 25 percent for young adults aged 18 to 25, and 50 percent for adults aged 26 or older. The sample of adults aged 26 or older is further divided into three subgroups: aged 26 to 34 (15 percent), aged 35 to 49 (20 percent), and aged 50 or older (15 percent). Table 2.2 at the end of this chapter provides a comparison of the target sample allocations for the 2013 NSDUH and the 2014 through 2022 NSDUHs. Adolescents aged 12 to 17 years and young adults aged 18 to 25 years continued to be oversampled, but at a lower rate than in 2013.
Adolescents aged 12 to 17 were sampled at an actual rate of 82.3 percent, and young adults aged 18 to 25 were sampled at a rate of 69.1 percent on average, when they were present in the sampled households or group quarters. Adults were sampled at rates of 35.6 percent for adults aged 26 to 34, 30.5 percent for adults aged 35 to 49, and 12.6 percent for adults aged 50 or older on average. The overall population sampling rates were 0.068 percent for 12 to 17 year olds, 0.049 percent for 18 to 25 year olds, 0.026 percent for 26 to 34 year olds, 0.023 percent for 35 to 49 year olds, and 0.009 percent for those 50 or older. Nationwide, 99,111 individuals were selected. Consistent with previous surveys in this series, the final respondent sample of 67,791 individuals was representative of the U.S. general population (since 1991, the civilian, noninstitutionalized population) aged 12 or older. In addition, state samples were representative of their respective state populations. More detailed information on the disposition of the national screening and interview sample can be found in Chapter 3 of this report. More information about the sample design can be found in the 2018 NSDUH sample design report (Center for Behavioral Health Statistics and Quality [CBHSQ], 2019e).
The data collection methods used for NSDUH to conduct in-person interviews with sampled individuals incorporate procedures to increase respondents' cooperation and willingness to report honestly about sensitive topics, such as illicit drug use behavior and mental health issues. Confidentiality is stressed in all written and oral communications with potential respondents. Respondents' names are not collected with the data, and computer-assisted interviewing (CAI) methods are used to provide a private and confidential setting to complete the interview.
Introductory letters are sent to sampled addresses, followed by an FI visit. When contacting a DU, the FI asks to speak with an adult resident (aged 18 or older) of the household who can serve as the screening respondent. To obtain basic demographic data on all household members aged 12 or older who lived at the address for most of the calendar quarter, the FI uses a handheld tablet computer to ask the screening respondent a series of questions that take about 5 minutes to answer. The tablet computer then uses the demographic data in a preprogrammed selection algorithm to select zero, one, or two individuals for the interview, depending on the composition of the household. This selection process is designed to provide the necessary sample sizes for the specified population age groupings.
In areas where a third or more of the households contain Spanish-speaking residents, the initial introductory letters written in English are mailed with a Spanish version printed on the back. All FIs carry copies of the introductory letter in English and Spanish. If the FI is not certified bilingual in English and Spanish, he or she will use preprinted Spanish cards to attempt to find someone in the household who speaks English and who can serve as the screening respondent or who can translate for the screening respondent. If no one is available, the FI's field supervisor will schedule a time when a certified bilingual FI can come to the address. In households where a language other than Spanish is encountered, another language card is used to attempt to find someone who speaks English to complete the screening.
The NSDUH interview can be completed in English or Spanish, and both versions have the same content. If the sampled person prefers to complete the interview in Spanish, a certified bilingual FI is sent to the address to conduct the interview. Because the interview is not translated into any other language, if a sampled person does not speak English or Spanish, the interview is not conducted.
Immediately after completion of the screener, FIs attempt to conduct the NSDUH interview with each sampled person in the household. The FI requests that the sampled respondent identifies a private area in the home in which to conduct the interview away from other household members. The FI uses a laptop computer to conduct the interview, which averages about an hour and includes a combination of computer-assisted personal interviewing (CAPI) and audio computer-assisted self-interviewing (ACASI). In the CAPI portion of the interview, the FI reads the questions to the respondent and enters the answers into the computer. In the ACASI portion of the interview, the respondent reads questions on the computer screen or listens to questions through headphones and then enters his or her answers directly into the computer without the FI knowing the response.
The NSDUH interview begins in the CAPI mode and consists of initial demographic questions. The interview then transitions to the ACASI mode for the sensitive questions.
The first set of self-administered questions pertains to the use of tobacco, alcohol, marijuana, cocaine, crack cocaine, heroin, hallucinogens, inhalants, methamphetamine, and prescription psychotherapeutic drugs (i.e., pain relievers, tranquilizers, stimulants, and sedatives). Additional self-administered interview sections12 follow the substance use questions and ask about a variety of sensitive topics related to substance use and mental health issues. These topics include (but are not limited to) injection drug use, perceived risks of substance use, substance use disorders (SUDs), arrests, treatment for substance use problems, general health issues (e.g., pregnancy, use of medical services), mental illness, and the utilization of mental health services.
Although many of the questions about mental health issues are asked both of youths aged 12 to 17 and of adults, some are asked only of adults, and others are asked only of youths. In separate age-specific sections, adults and youths are asked questions about the occurrence of a major depressive episode (MDE) and mental health service utilization. Mental health service utilization questions for both youths and adults cover receipt of mental health services in inpatient settings in the past 12 months, the number of nights that respondents received inpatient treatment, receipt of mental health services in outpatient settings in the past 12 months, and the number of visits to outpatient mental health service providers in that period. Adults answer questions about symptoms of psychological distress in the past 30 days and past 12 months, impairment with daily activities because of psychological distress, use of prescribed medication to treat a mental or emotional condition in the past 12 months, and perceived unmet need for mental health care in that period. All adults also are asked questions about suicidal thoughts and behavior; youths do not receive these same questions on suicidal thoughts and behavior. Both youths and adults are asked about suicidal thoughts and behavior as a symptom of MDE. However, this symptom is assessed only if respondents reported having a period in their life lasting 2 weeks or longer in which they had feelings associated with being depressed (i.e., feeling sad, empty, or depressed; feeling discouraged or hopeless; or losing interest with most things). Questions that are asked of youths but not adults include reasons for receiving mental health services from specific sources, receipt of school-based mental health services, and receipt of mental health services in juvenile detention, prison, or jail in the past year. Definitions for many of these terms are included in the glossary in Appendix A of this report.
Additional demographic questions that address topics such as immigration, current school enrollment, and employment and workplace issues are included at the end of the ACASI section. Finally, the interview returns to the CAPI administration for questions on the household composition, the respondent's health insurance coverage, and the respondent's personal and family income. Each respondent who completes a full interview is given a $30 cash incentive as a token of appreciation for his or her time.
No information that would directly identify a respondent is captured in the CAI record. FIs transmit the completed interview data to RTI in Research Triangle Park, North Carolina. Screening and interview data are encrypted while they reside on the laptop and tablet computers. Data are transmitted back to RTI on a regular basis using wireless connection to the Internet. All data are encrypted while in transit across Internet connections. In addition, the screening and interview data are transmitted back to RTI in separate data streams and are kept physically separate (on different devices) before transmission occurs.
After the data are transmitted to RTI, certain cases are selected for verification. The respondents are contacted by RTI to verify the quality of an FI's work based on information that respondents provide at the end of screening (e.g., if no one is selected for an interview or all household members at the sampled address are ineligible for the study) or at the end of the interview. For the screening, the adult household member who served as the screening respondent provides his or her first name and telephone number to the FI, who enters the information into the tablet computer and transmits the data to RTI. For completed interviews, respondents write their home telephone number and mailing address on a quality control form and seal the form in a preaddressed envelope that FIs mail back to RTI. All contact information is kept completely separate from the answers provided during the screening or interview.
Samples of respondents who completed screenings or interviews are randomly selected for verification. These cases are called by telephone interviewers who ask scripted questions designed to determine the accuracy and quality of the data collected. Any case discovered to have a problem or discrepancy is flagged and routed to a small, specialized team of telephone interviewers who recontact respondents for further investigation of the issue(s). Depending on the amount of an FI's work that cannot be verified through telephone verification, including bad telephone numbers (e.g., incorrect number, disconnected, not in service), a field verification may be conducted. Field verification involves another FI returning in person to the sampled address to verify the accuracy and quality of the data. If the verification procedures identify situations in which an FI has falsified data, the FI is terminated. All cases completed that quarter by the falsifying FI are verified by the FI conducting the field verification and are reworked.
Notable changes to the 2018 questionnaire included the following:
Descriptions of additional changes to the 2018 NSDUH questionnaire can be found in the 2018 questionnaire specifications that are available at https://www.samhsa.gov/data/. Details of these additional changes also will be discussed in the introduction to the codebook for the forthcoming 2018 NSDUH public use file, which will be available in late 2019.
Also, changes to the NSDUH questionnaire for the 2015 to 2017 surveys are described in the methodological summary and definitions reports for those survey years (CBHSQ, 2016b, 2017b, 2018b). In particular, the NSDUH questionnaire underwent a partial redesign in 2015 to improve the quality of the data collected and to address changing substance use and mental health policy and research needs.
Data that FIs transmit to RTI are processed to create a raw data file in which no logical editing of the data has been done. The raw data file consists of one record for each transmitted interview. Cases are eligible to be treated as final respondents only if they provided data on lifetime use of cigarettes and at least 9 out of 13 of the other substances in the initial set of substance use questions described in Section 2.2. Even though editing and consistency checks are done by the CAI program during the interview, additional, more complex edits and consistency checks are completed at RTI. Additionally, statistical imputation is used to replace missing or ambiguous values after editing for some key variables. Analysis weights are created so that estimates will be representative of the target population. Details of the editing, imputation, and weighting procedures for 2018 will appear in the 2018 NSDUH Methodological Resource Book, which is in process. Until that volume becomes available, refer to the 2017 NSDUH Methodological Resource Book (CBHSQ, 2019a) for documentation of these procedures.
A key step in the preliminary data processing procedures establishes the minimum item response requirements in order for cases to be used in weighting and further analysis (i.e., "usable" cases). These procedures are designed to disregard data from cases with unacceptable levels of missing data, thereby using data from cases with lower levels of missing data and reducing the amount of statistical imputation that would be needed for any given record.
The following usable case criteria were used in the 1999 through 2014 NSDUHs:
Crack cocaine was not included in the usable case criteria because the logic for asking about crack cocaine was dependent on the respondent having answered the lifetime cocaine question as "yes." Although the NSDUH respondents also were asked about pipe tobacco, this was not included in the usable case criteria because there was only one other question about pipe tobacco in addition to the lifetime pipe tobacco use question.
The criteria for identifying usable cases changed beginning with the 2015 NSDUH because of changes to the NSDUH questionnaire (CBHSQ, 2015b, 2016b, 2016c). Fully defined data for lifetime use or nonuse of cigarettes continued to be a requirement in the usable case criteria since 2015. The following criterion for usable cases took into account the changes to the NSDUH questionnaire:
As was true in 1999 through 2014, the usability criterion for smokeless tobacco (which replaced the previous sections for snuff and chewing tobacco in 2015) through heroin was that lifetime use or nonuse must be determined. This same usability criterion was applied to the section for methamphetamine that has been included since 2015. For the "multiple gate" sections for hallucinogens and inhalants, at least one gate question in the series for that section was required to have an answer of "yes" or "no."
Any of the following met the usability criteria for prescription drugs:
Implementation of the revised usable case criteria for 2015 did not appear to have an adverse effect on the percentage of records that would be usable for further data processing and analysis. In 2014, for example, 99.2 to 99.7 percent of eligible records in each quarter met the usable case criteria. In 2015, 98.9 to 99.7 percent of eligible records in each quarter met the corresponding usable case criteria (CBHSQ, 2016b).
Coding of written answers that respondents or FIs typed was performed at RTI for the 2018 NSDUH. These written answers include mentions of drugs that respondents had used or other responses that did not fit a previous response option (subsequently referred to as "OTHER, Specify" data). For example, the "OTHER, Specify" data for mental health issues in 2018 included (but were not limited to) such topics as outpatient settings in which adults aged 18 or older received mental health services in the past 12 months and reasons for the most recent visit or stay in outpatient or inpatient mental health service settings in the past 12 months for adolescents aged 12 to 17.
Written responses in "OTHER, Specify" data were assigned numeric codes through computer-assisted survey procedures and the use of a secure website that allowed for coding and review of the data. The computer-assisted procedures entailed a database check for a given "OTHER, Specify" variable that contained typed entries and the associated numeric codes. If an exact match was found between the typed response and an entry in the system, then the computer-assisted procedures assigned the appropriate numeric code. Typed responses that did not match an existing entry were coded through the web-based coding system.
The CAI program included checks that alerted respondents or FIs when an entered answer was inconsistent with a previous answer. In this way, the inconsistency could be resolved while the interview was in progress. However, not every inconsistency was resolved during the interview, and the CAI program did not include checks for every possible inconsistency that might have occurred in the data.
Therefore, the first step in processing the raw NSDUH data was logical editing of the data. Logical editing involved using data from within a respondent's record to (a) reduce the amount of item nonresponse (i.e., missing data) in interview records, including identification of items that were legitimately skipped; (b) make related data elements consistent with each other; and (c) identify ambiguities or inconsistencies to be resolved through statistical imputation procedures (see Section 2.3.3).
Because the CAI logic controlled whether respondents were asked certain questions based on their answers to previous questions, an important aspect of editing the NSDUH data involved identifying where questions had been legitimately skipped because they did not apply, as noted above. Examples where questions were legitimately skipped include situations in which questions applied to (a) an event (e.g., use of a particular substance) that occurred at least once in the respondent's lifetime, but the respondent previously reported that the event never occurred; (b) an event that occurred in a particular time period (e.g., within the past 12 months), but the respondent previously reported that the event occurred less recently; or (c) respondents with a particular demographic characteristic (e.g., adults aged 18 or older), but the respondent was not part of that group. These scenarios are represented by different codes in the edited variables.
Another important principle in editing the data was that responses from one section (e.g., pain relievers) generally were not used to edit variables in another section (e.g., tranquilizers). For example, if a respondent specified the misuse of a tranquilizer as some other pain reliever that the respondent misused in the past 12 months, then this "OTHER, Specify" response for pain relievers was not used to edit the data for tranquilizers. This principle of not using data in later sections to edit data in earlier sections has been important for maintaining consistent data to assess trends in outcomes of interest (e.g., substance use). If variables in earlier sections were allowed to be edited based on respondents' answers in the later sections, then key estimates could change across years as later questions or entire sections were added or deleted.
One exception to this principle of not editing across sections involved situations in which responses in one or more sections governed whether respondents were asked questions in a later section. For example, the substance use treatment section was relevant only for respondents who reported some lifetime use or misuse of alcohol or other drugs, excluding tobacco products. Respondents who reported in the initial substance use sections that they had never used alcohol, marijuana, cocaine, heroin, hallucinogens, inhalants, methamphetamine, or that they never misused prescription psychotherapeutic drugs (i.e., pain relievers, tranquilizers, stimulants, or sedatives) were not asked the questions in the substance use treatment section. In this situation, the responses from the earlier substance use sections were used to edit the substance use treatment variables to indicate that respondents were not asked the substance use treatment questions because they reported that they never used or misused any of the relevant substances.
In sections of the interview for tobacco, alcohol, marijuana, cocaine (including crack cocaine), heroin, and methamphetamine, respondents were asked single questions about lifetime use or nonuse. If respondents reported that they never used a given substance, the CAI logic skipped them out of all remaining questions about use of that substance. In the editing procedures, the skipped variables were assigned specific codes to indicate that the respondents were lifetime nonusers. Similarly, respondents who answered "no" to all questions about lifetime use of specific hallucinogens and inhalants were skipped out of all subsequent questions about these substances. The editing procedures assigned specific codes to indicate that these respondents were lifetime nonusers of hallucinogens or inhalants.
In addition, respondents could report that they were lifetime users of a drug but not provide specific information on when they last used it. In this situation, a temporary "indefinite" value for the most recent period of use was assigned to the edited recency-of-use variable (e.g., "Used at some point in the lifetime LOGICALLY ASSIGNED"), and a final, specific value was statistically imputed. The editing procedures for key drug use variables also involved identifying inconsistencies between related variables so that these inconsistencies could be resolved through statistical imputation. For example, if a respondent reported last using a drug more than 12 months ago and also reported first using it at his or her current age, both of those responses could not be true. In this example, the inconsistent period of most recent use was replaced with an "indefinite" value, and the inconsistent age at first use was replaced with a missing data code. These indefinite or missing values were subsequently imputed through statistical procedures to yield consistent data for the related measures, as discussed in Section 2.3.3.
The focus of the questions for specific prescription drugs changed from the lifetime period in 2014 to the past year since 2015. In addition, respondents first were asked a series of screening questions about any use of specific prescription drugs in the past 12 months (i.e., use or misuse) or any lifetime use if they did not report past year use. Respondents were asked about misuse in the past year of any of the specific prescription drugs that they reported using in that period. In contrast, respondents in 2014 and prior years were asked about misuse of specific prescription drugs in the lifetime period, and questions about more recent misuse applied to the general categories (e.g., past year or past month misuse of any tranquilizer).
Consistent with the general editing principles, an important component of editing the prescription drug variables in 2018 involved assignment of codes to indicate when respondents were not asked questions that were not applicable. For example, if respondents did not report use of a particular drug in the past 12 months, then the corresponding edited variables for misuse of that drug in the past 12 months were assigned codes to indicate that the questions did not apply.
Because of the structure of the prescription drug questions since 2015, respondents were not asked a specific question for their most recent misuse of any prescription drug in that category (e.g., most recent misuse of any pain reliever). Rather, variables for the most recent misuse of prescription pain relievers, tranquilizers, stimulants, and sedatives were created from respondents' answers to questions about the misuse of any prescription drug in the category in the past 30 days, misuse of specific prescription drugs in a given category in the past 12 months, and lifetime misuse of any prescription drug in the category. The following general principles were applied in creating the variables for the most recent misuse of any prescription drug in a given category in the 2018 data:
As for other drugs, some respondents provided indefinite information on when they last misused prescription drugs. For example, if respondents reported misuse of one or more specific prescription drugs in the past 12 months but they did not know or refused to report whether they misused any prescription drug in the past 30 days, it could be inferred that these respondents misused prescription drugs in the past 12 months and potentially in the past 30 days. In these situations, a temporary "indefinite" value for the most recent period of misuse was assigned to the variables that were created for the most recent misuse of pain relievers, tranquilizers, stimulants, and sedatives (e.g., "Used at some point in the past 12 months LOGICALLY ASSIGNED"), and a final, specific value was statistically imputed.
In addition, respondents were instructed in the prescription drug sections not to report the use or misuse of over-the-counter (OTC) drugs. Therefore, if a respondent's only report of misuse in the past 12 months was for an OTC drug, the respondent was logically inferred not to have misused any prescription drug in that category in the past 12 months. These respondents were not asked about lifetime misuse of any prescription drug in that category because the CAI program handled them as though they had misused prescription drugs in the past 12 months. Consequently, statistical imputation was used to assign a final value for whether these respondents misused prescription drugs more than 12 months ago or never in their lifetime.
An important aspect of editing the mental health variables was documentation of situations in which it was known unambiguously that respondents legitimately skipped out of the corresponding questions. These included situations in which respondents were not asked questions based on their age and those that were based on routing logic within a given set of mental health questions. For example, if adult respondents reported that they did not stay overnight or longer in a hospital or other facility to receive mental health services in the past 12 months, the CAI logic skipped them out of all remaining adult mental health treatment utilization questions about inpatient mental health services. In the editing procedures, the skipped variables were assigned codes to indicate that these additional inpatient adult mental health services variables did not apply.
For substance use, demographic, and other key variables that still had missing or ambiguous values after editing, statistical imputation was used to replace these values with appropriate response codes. For estimates of SUDs (i.e., illicit drug or alcohol dependence or abuse) presented in reports and tables, missing values in the dependence or abuse variables for alcohol, marijuana, cocaine, and heroin were treated as though respondents did not meet the relevant criteria (i.e., they were treated the same as a response of "no").15 The mental health variables related to mental health service utilization, suicidal thoughts and behavior, and MDE used in reports and tables were not imputed.
The remainder of this section discusses procedures for substance use and other variables that underwent statistical imputation to replace missing or ambiguous values. For example, a response is ambiguous if the editing procedures assigned a respondent's most recent use of a drug to "Used at some point in the lifetime," with no definite period within the lifetime. In this case, the imputation procedure assigns a value for when the respondent last used the drug (e.g., in the past 30 days, more than 30 days ago but within the past 12 months, more than 12 months ago). Similarly, if a response is completely missing, the imputation procedures replace missing values with nonmissing ones.
For most variables, missing or ambiguous values are imputed in NSDUH using a methodology called predictive mean neighborhoods (PMN), which was developed specifically for the 1999 survey and has been used in all subsequent survey years. PMN allows for the following: (1) the ability to use covariates to determine donors is greater than that offered in the hot-deck imputation procedure, (2) the relative importance of covariates can be determined by standard modeling techniques, (3) the correlations across response variables can be accounted for by making the imputation multivariate, and (4) sampling weights can be easily incorporated in the models. The PMN method has some similarity with the predictive mean matching method of Rubin (1986) except that, for the donor records, Rubin used the observed variable value (not the predictive mean) to compute the distance function. Also, the well-known method of nearest neighbor imputation is similar to PMN, except that the distance function is in terms of the original predictor variables and often requires somewhat arbitrary scaling of discrete variables. PMN is a combination of a model-assisted imputation methodology and a random nearest neighbor hot-deck procedure. The hot-deck procedure within the PMN method ensures that missing values are imputed to be consistent with nonmissing values for other variables. Whenever feasible, the imputation of variables using PMN is multivariate, in which imputation is accomplished on several response variables at once.
For most variables that started a new baseline for trends in 2015, a modified version of PMN was adopted; this modified version of PMN continued to be used for these variables in 2018. While still utilizing the model-assisted imputation methodology that was described previously, modified PMN involves collocated stochastic imputation (CSI)16 for categorical variables based on the predicted probabilities from the modeling step. Under modified PMN, ambiguous or missing values for continuous variables are still assigned using a donor selected from a hot-deck procedure. One benefit of modified PMN is the ability to cycle through a group of variables being imputed as a set. This cycling process allows variables that are imputed later in the sequence to be used as covariates in the modeling process for variables earlier in the sequence, thus reducing the importance of imputation order.
Variables that were imputed using PMN for 2018 were the initial demographic variables; substance use variables for cigarettes, smokeless tobacco, cigars, pipe tobacco, alcohol, marijuana, cocaine, crack, and heroin (recency of use, frequency of use, and age at first use); income; health insurance; and demographic variables for work status, immigrant status, and the household roster. Variables that were imputed using modified PMN for 2018 were the drug use and SUD variables for hallucinogens, inhalants, methamphetamine, pain relievers, tranquilizers, stimulants, and sedatives (recency of any use, recency of misuse,17 frequency of misuse, past year initiation status, and age at first misuse among past year initiates of misuse). Table 2.3 at the end of this chapter summarizes the distribution of the weighted statistical imputation rates of these variables by interview section. Table 2.3 also presents imputation rates in 2018.
In the modeling stage, the model chosen depends on the nature of the response variable. In the 2018 NSDUH, the models included binomial logistic regression, multinomial logistic regression, Poisson regression, time-to-event (survival) regression, and ordinary linear regression, where the models incorporated the sampling design weights.
In general, hot-deck imputation replaces an item nonresponse (missing or ambiguous value) with a recorded response that is donated from a "similar" respondent who has nonmissing data. For random nearest neighbor hot-deck imputation, the missing or ambiguous value is replaced by a value from a donor respondent who was randomly selected from a set of potential donors. Potential donors are those defined to be "close" to the unit with the missing or ambiguous value according to a predefined function called a distance metric. In the hot-deck procedure of PMN or modified PMN for continuous variables, the set of candidate donors (the "neighborhood") consists of respondents with complete data who have a predicted mean close to that of the item nonrespondent. The predicted means are computed both for respondents with and without missing data, which differs from Rubin's method where predicted means are not computed for the donor respondent (Rubin, 1986). In particular, the neighborhood consists of either the set of the closest 30 respondents or the set of respondents with a predicted mean (or means) within 5 percent of the predicted mean(s) of the item nonrespondent, whichever set is smaller. If no respondents are available who have a predicted mean (or means) within 5 percent of the item nonrespondent, the respondent with the predicted mean(s) closest to that of the item nonrespondent is selected as the donor.
In the univariate hot-deck case (where only one variable is imputed), the neighborhood of potential donors is determined by calculating the relative distance between the predicted mean for an item nonrespondent and the predicted mean for each potential donor, then choosing those means defined by the distance metric. The pool of donors is restricted further to satisfy logical constraints whenever necessary (e.g., age at first crack use must not be less than age at first cocaine use).
Whenever possible, missing or ambiguous values for more than one response variable are considered together when using hot-deck to select a donor. In this (multivariate) case, the distance metric is a Mahalanobis distance, which takes into account the correlation between variables (Manly, 1986), rather than a Euclidean distance. The Euclidean distance is the square root of the sum of squared differences between each element of the predictive mean vector for the respondent and the predictive mean vector for the nonrespondent. The Mahalanobis distance standardizes the Euclidean distance by the variance-covariance matrix, which is appropriate for random variables that are correlated or have heterogeneous variances. Whether the imputation is univariate or multivariate, only missing or ambiguous values are replaced, and donors are restricted to be logically consistent with the response variables that are not missing. Furthermore, donors are restricted to satisfy "likeness constraints" whenever possible. That is, donors are required to have the same values for variables highly correlated with the response. For example, donors for the age at first use variable are required to be of the same age as recipients, if at all possible. If no donors are available who meet these conditions, these likeness constraints can be loosened. Further details on the PMN methodology are provided by Singh, Grau, and Folsom (2002).
Although statistical imputation could not proceed separately within each state due to insufficient pools of donors, information about each respondent's state of residence was incorporated in the modeling and hot-deck steps. For most drugs, respondents were separated into three "state usage" categories as follows: respondents from states with high usage of a given drug were placed in one category, respondents from states with medium usage into another, and the remainder into a third category. This categorical "state rank" variable was used as one set of covariates in the imputation models. In addition, eligible donors for each item nonrespondent were restricted to be of the same state usage category (i.e., the same "state rank") as the nonrespondent.
Under modified PMN, values for categorical variables are assigned using CSI, an approach that selects values randomly based on the predicted means from the prediction model, rather than by a hot-deck imputation. To ensure consistency across multiple measures, conditional probabilities are used if the imputed value must be restricted. In expectation, under CSI, the weighted mean of the imputed values across all item nonrespondents will be equal to the weighted mean of the predicted means across all item nonrespondents. Utilizing CSI rather than a purely independent random selection reduces the probability of unusual results by ensuring that the random numbers are spread out evenly between 0 and 1 and helps to preserve the distribution.
Typically, approximately 90 percent of variables that undergo statistical imputation require less than 5 percent of their records to be logically assigned or statistically imputed. Variables for measures that are highly sensitive or that may not be known to younger respondents (e.g., family income) often have higher rates of item nonresponse. In addition, certain variables that are subject to a greater number of skip patterns and consistency checks (e.g., frequency of use in the past 12 months and past 30 days) often require greater amounts of imputation.
Since 2015, the questionnaire has included questions about any use of prescription drugs in the past year and lifetime periods (i.e., not just misuse of prescription drugs). Consequently, imputation-revised variables have been created since 2015 for any use of prescription pain relievers, tranquilizers, stimulants, and sedatives. Levels in these new variables indicate any past year use, lifetime but not past year use, and lifetime nonuse. Because of changes in how respondents are asked about the initiation of misuse of prescription drugs, imputation-revised variables for the age at first misuse and the date of first misuse have been created since 2015 only for past year initiates. For nonprescription drugs and for prescription drugs prior to 2015, ages at first use (or misuse) and the date of first use (or misuse) were created for all lifetime users of the drug of interest.
The general approach to developing and calibrating analysis weights involved developing design-based weights as the product of the inverse of the selection probabilities at each selection stage. Unlike the 2005 to 2013 NSDUHs, where a four-stage selection design was used, NSDUHs since 2014 have used a five-stage sample selection scheme in which an extra selection stage of census blocks from census tracts was added before the selection of a segment. Thus, the design-based weights,
, incorporate an extra layer of sampling selection to reflect the sample design change. Adjustment factors,
, then were applied to the design-based weights to adjust for nonresponse, to poststratify to known population control totals, and to control for extreme weights when necessary. In view of the importance of state-level estimates with the 50-state design, it was necessary to control for a much larger number of known population totals. Several other modifications to the general weight adjustment strategy that had been used in past surveys also were implemented for the first time beginning with the 1999 CAI sample.
Weight adjustments were based on a generalization of Deville and Särndal's (1992) logit model. This generalized exponential model (GEM) (Folsom & Singh, 2000) incorporates unit-specific bounds,
for the adjustment factor
as follows:
, D
where
are prespecified centering constants, such that
and
. The variables
,
, and
are user-specified bounds, and
is the column vector of p model parameters corresponding to the p covariates x. The
parameters are estimated by solving
, D
where
denotes control totals that could be either nonrandom, as is generally the case with poststratification, or random, as is generally the case for nonresponse adjustment.
The final weights
minimize the distance function
, defined as
, D
This general approach was used at several stages of the weight adjustment process, including (1) adjustment of household weights for nonresponse at the screener level, (2) poststratification of household weights to meet population controls for various household-level demographics by state, (3) adjustment of household weights for extremes, (4) poststratification of selected person weights, (5) adjustment of responding person weights for nonresponse at the questionnaire level, (6) poststratification of responding person weights, and (7) adjustment of responding person weights for extremes.
Every effort was made to include as many relevant state-specific covariates (typically defined by demographic domains within states) as possible in the multivariate models used to calibrate the weights (nonresponse adjustment and poststratification steps). Because further subdivision of state samples by demographic covariates often produced small cell sample sizes, it was not possible to retain all state-specific covariates (even after meaningful collapsing of covariate categories) and still estimate the necessary model parameters with reasonable precision. Therefore, a hierarchical structure was used in grouping states with covariates defined at the national level, at the census division level within the nation, at the state group within the census division, and, whenever possible, at the state level. In every case, the controls for the total population within a state and the five age groups (12 to 17, 18 to 25, 26 to 34, 35 to 49, 50 or older) within a state were maintained, except that in the last step of poststratification of person weights, six age groups (12 to 17, 18 to 25, 26 to 34, 35 to 49, 50 to 64, 65 or older) were used. Census control totals by age, race, gender, and Hispanic origin were required for the civilian, noninstitutionalized population of each state. Beginning with the 2002 NSDUH, the Population Estimates Branch of the U.S. Census Bureau has produced the necessary population estimates for the same year as each NSDUH survey in response to a special request.
Census control totals for the 2018 NSDUH weights were based on population estimates from the 2010 decennial census as for the 2011 through 2017 NSDUHs, whereas the control totals for the 2010 NSDUH weights were still based on the 2000 census. This shift to the 2010 census data for the 2011 NSDUH could have affected comparisons between substance use and mental health estimates in 2011 and onward and those from prior years. Section B.4.3 in Appendix B of the 2011 NSDUH national findings report (CBHSQ, 2012d) discusses the results of an investigation using data from 2010 and 2011 that assessed the effects of using control totals based on the 2010 census instead of the 2000 census for estimating substance use in 2010. Section B.4.5 in Appendix B of the 2011 NSDUH mental health findings report (CBHSQ, 2012c) discusses the results of a similar assessment of the effects of using control totals based on the 2010 census instead of the 2000 census for making mental health estimates for 2010.
Consistent with the surveys from 1999 onward, control of extreme weights through separate bounds for adjustment factors was incorporated into the GEM calibration processes for both nonresponse and poststratification. This is unlike the traditional method of winsorization, in which extreme weights are truncated at prespecified levels and the trimmed portions of weights are distributed to the nontruncated cases. In GEM, it is possible to set bounds around the prespecified levels for extreme weights. Then the calibration process provides an objective way of deciding the extent of adjustment (or truncation) within the specified bounds. A step was included to poststratify the household-level weights to obtain census-consistent estimates based on the household rosters from all screened households. An additional step poststratified the selected person sample to conform to the adjusted roster estimates. This additional step takes advantage of the inherent two-phase nature of the NSDUH design. The respondent poststratification step poststratified the respondent person sample to external census data (defined within the state whenever possible, as discussed above).
For certain populations of interest, 2 years of NSDUH data were combined to obtain annual averages. The person-level weights for estimates based on the annual averages were obtained by dividing the analysis weights for the 2 specific years by a factor of 2.
| State | Target Number of Completed Interviews, 2013 |
Target Number of Completed Interviews per Year, 2014 to 2022 |
Number of SSRs, 2013 |
Number of SSRs, 2014 to 2022 |
|---|---|---|---|---|
| California | 3,600 | 4,560 | 48 | 36 |
| Florida | 3,600 | 3,300 | 48 | 30 |
| New York | 3,600 | 3,300 | 48 | 30 |
| Texas | 3,600 | 3,300 | 48 | 30 |
| Illinois | 3,600 | 2,400 | 48 | 24 |
| Michigan | 3,600 | 2,400 | 48 | 24 |
| Ohio | 3,600 | 2,400 | 48 | 24 |
| Pennsylvania | 3,600 | 2,400 | 48 | 24 |
| Georgia | 900 | 1,500 | 12 | 15 |
| New Jersey | 900 | 1,500 | 12 | 15 |
| North Carolina | 900 | 1,500 | 12 | 15 |
| Virginia | 900 | 1,500 | 12 | 15 |
| Hawaii | 900 | 967 | 12 | 12 |
| Remaining States, Each | 900 | 960 | 12 | 12 |
| NSDUH = National Survey on Drug Use and Health; SSR = state sampling region. Source: SAMHSA, Center for Behavioral Health Statistics and Quality, National Survey on Drug Use and Health, 2013 to 2022. |
||||
| Year | 12 to 17 | 18 to 25 | 26 or Older, Total |
26 to 34 | 35 to 49 | 50 or Older |
|---|---|---|---|---|---|---|
| 2013 | 22,500 (33%) | 22,500 (33%) | 22,500 (33%) | 6,000 (9%) | 9,000 (13%) | 7,500 (11%) |
| 2014 to 2022 | 16,877 (25%) | 16,877 (25%) | 33,753 (50%) | 10,126 (15%) | 13,501 (20%) | 10,126 (15%) |
| NSDUH = National Survey on Drug Use and Health. NOTE: Percentages of the total sample are shown in parentheses. Source: SAMHSA, Center for Behavioral Health Statistics and Quality, National Survey on Drug Use and Health, 2013 to 2022. |
||||||
| Interview Section | Number of Variables |
Mean | Minimum | 25th Percentile |
Median | 75th Percentile |
Maximum |
|---|---|---|---|---|---|---|---|
| Initial Demographics1 | 14 | 2.753 | 0.062 | 0.542 | 4.078 | 4.125 | 4.223 |
| Substance Use, All Sections2 | 108 | 2.439 | 0.014 | 0.403 | 1.092 | 2.387 | 29.692 |
| Substance Use, Unchanged Sections2,3 | 37 | 2.008 | 0.014 | 0.221 | 0.966 | 2.117 | 17.725 |
| Substance Use, All Changed Sections2,4 | 71 | 2.663 | 0.036 | 0.547 | 1.199 | 2.389 | 29.692 |
| Substance Use, Prescription Drug Sections2,4 | 30 | 2.873 | 0.088 | 0.563 | 0.909 | 1.292 | 29.692 |
| Income and Health Insurance | 16 | 1.908 | 0.223 | 0.421 | 0.681 | 2.536 | 10.176 |
| Other Demographics5 | 10 | 0.716 | 0.114 | 0.143 | 0.189 | 1.291 | 3.109 |
| NSDUH = National Survey on Drug Use and Health. 1 Initial demographics include marital status for 2018. 2 Substance use variables include variables in the specific sections of the interview for cigarettes, smokeless tobacco, cigars, pipe tobacco (lifetime and past month use only), alcohol, marijuana, cocaine (including crack), heroin, hallucinogens, inhalants, methamphetamine, and prescription psychotherapeutic drugs (pain relievers, tranquilizers, stimulants, and sedatives). These include initiation variables for the age at first use but do not include initiation variables beyond the age at first use because these additional questions are asked only if respondents first used within 1 year of their current age. Substance use variables included snuff and chewing tobacco prior to the 2015 NSDUH and include smokeless tobacco instead of snuff and chewing tobacco starting in 2015 and continuing through 2018. Hallucinogens, inhalants, methamphetamine, and prescription psychotherapeutic drugs include measures of substance dependence and abuse starting in 2015 but not for survey years prior to 2015. 3 Substance use sections that were unchanged (or largely unchanged) in 2015 during NSDUH's partial questionnaire redesign include cigarettes, cigars, pipe tobacco (lifetime and past month use only), alcohol, marijuana, cocaine (including crack), and heroin. The one exception is that binge alcohol use was included with the unchanged variables. The threshold for binge alcohol use for females changed from five or more drinks on an occasion in the past 30 days in 2014 to four or more drinks on an occasion beginning in 2015. However, the threshold for males in 2015 remained five or more drinks on an occasion in the past 30 days. 4 Substance use sections that underwent changes (or were new) for 2015 during NSDUH's partial questionnaire redesign include smokeless tobacco, hallucinogens, inhalants, methamphetamine, and prescription psychotherapeutic drugs (pain relievers, tranquilizers, stimulants, and sedatives). New measures introduced in 2015 include measures of substance dependence and abuse for hallucinogens, inhalants, methamphetamine, and prescription psychotherapeutic drugs. 5 Other demographic variables include immigrant status, work status, and household roster variables. Variables for immigrant status and work status were self-administered in 2018. Household roster variables were interviewer administered in 2018. Source: SAMHSA, Center for Behavioral Health Statistics and Quality, National Survey on Drug Use and Health, 2018. |
|||||||
The estimates of the prevalence of substance use and mental health issues from the National Survey on Drug Use and Health (NSDUH) are designed to describe the target population of the survey—the civilian, noninstitutionalized population aged 12 years or older living in the United States. This population covers residents of households (individuals living in houses or townhouses, apartments, condominiums; civilians living in housing on military bases; etc.) and individuals in noninstitutional group quarters (e.g., shelters, rooming or boarding houses, college dormitories, migratory workers' camps, halfway houses). In particular, the 2010 census reported that there were 308.7 million people of all ages living in the United States in 2010, of whom 300.8 million were living in households, or about 97 percent of the total population of the United States (Lofquist, Lugaila, O'Connell, & Feliz, 2012). Thus, the civilian, noninstitutionalized population aged 12 years or older would be expected to include at least 97 percent of the total U.S. population aged 12 years or older.
However, the civilian, noninstitutionalized population excludes some small subpopulations that may have very different estimates of mental disorders and substance use and therefore may have specific issues or needs. For example, the survey excludes active military personnel, who may be exposed to combat situations or stressors associated with extended overseas deployment. In addition, military personnel have been shown to have significantly lower rates of illicit drug use but higher rates of heavy alcohol use compared with their counterparts in the civilian population (Bray et al., 2009). The survey also excludes people living in institutional group quarters, such as prisons, residential substance abuse treatment or mental health facilities, nursing homes, and long-term hospitals. People in some of these institutional settings may have higher rates of mental disorders or substance use disorders (SUDs) compared with the general population. Another subpopulation excluded from NSDUH consists of people with no fixed address (e.g., homeless and/or transient people not living in shelters); homeless people are another population shown to have higher than average rates of mental disorders and substance use problems (Bassuk, Richard, & Tsertsvadze, 2015; Solari, Cortes, Henry, Matthews, & Morris, 2014). Chapter 5 of this report describes other surveys that provide substance use and mental health data for these populations.
The sampling error of an estimate is the error caused by the selection of a sample instead of conducting a census of the population. The sampling error may be reduced by selecting a large sample, by using efficient sample design and estimation strategies (such as stratification, optimal allocation, and ratio estimation), or by taking both approaches. The use of probability sampling methods in NSDUH allows estimation of sampling error from the survey data.
Estimates based on NSDUH data are presented in reports and in sets of tables referred to as "detailed tables" that are available at https://www.samhsa.gov/data/. The national estimates, along with the associated standard errors (SEs), which are the square roots of the variances, were computed for all detailed tables using a multiprocedure package, SUDAAN® Software for Statistical Analysis of Correlated Data. This software uses a Taylor series linearization approach that accounts for the effects of NSDUH's complex sample design features in estimating the SEs (RTI International, 2013). The SEs are used to identify unreliable estimates and to test for the statistical significance of differences between estimates. The final, nonresponse-adjusted, and poststratified analysis weights were used in SUDAAN to compute unbiased, design-based estimates.
The variances and SEs of estimates of means and proportions can be calculated reasonably well in SUDAAN using a Taylor series linearization approach. Estimates of means or proportions,
, such as drug use prevalence estimates for a domain d, can be expressed as a ratio estimate,
, D
where
is a linear statistic estimating the number of individuals with the characteristic of interest (e.g., substance users) in the domain d and
is a linear statistic estimating the total number of individuals in domain d (including individuals with or without the characteristic of interest, such as substance users and nonusers). The SUDAAN software package is used to calculate direct estimates of
and
(and, therefore,
) and also can be used to estimate their respective SEs. A Taylor series approximation method implemented in SUDAAN provides the estimate for the SE of
.
When the domain size,
, is free of sampling error, the following formula is an alternative to using SUDAAN to estimate the SE for the total number of individuals with a characteristic of interest (e.g., substance users):
. D
This alternative SE estimation method is theoretically correct when the domain size estimates,
, are fixed (i.e., among those domains forced to match their respective U.S. Census Bureau population estimates through the weight calibration process). In these situations,
is not subject to a sampling error induced by the NSDUH design. That is, the U.S. Census Bureau population estimates are assumed to be free of sampling error induced by the NSDUH design. Section 2.3.4 in this report contains further information about the weight calibration process. In addition, more detailed information about the weighting procedures for 2018 will appear in the 2018 NSDUH Methodological Resource Book, which is in process. Until that volume becomes available, refer to the 2017 NSDUH Methodological Resource Book (Center for Behavioral Health Statistics and Quality [CBHSQ], 2019a).
For an estimated number
where the domain
is nonfixed (i.e., where domain size estimates are not forced to match the U.S. Census Bureau population estimates), this alternative SE estimation method still may provide a good approximation if it can be assumed that the sampling variation in
is negligible relative to the sampling variation in
. This is a reasonable assumption for many situations in this study.
For some subsets of domain estimates, using this alternative SE estimation method where domain sizes are nonfixed yielded an underestimate of the SE of the total when
was subject to considerable variation. Because of this underestimation, the alternative SE estimation method was not implemented when
was nonfixed. Since the 2005 NSDUH report (Office of Applied Studies [OAS], 2006), a "mixed" method approach has been implemented for all detailed tables to improve the accuracy of SEs and to better reflect the effects of poststratification on the variance of total estimated numbers of individuals. This approach assigns the methods of SE calculation to domains (i.e., subgroups for which the estimates were calculated) within tables so that all estimates among a select set of domains with fixed
were calculated using the alternative SE estimation method, and all other estimates were calculated directly in SUDAAN, regardless of what the other estimates are within the same table. The set of domains with a fixed
was restricted to main effects and two-way interactions to maintain continuity between years.18 The use of such SEs for the estimated numbers of individuals did not affect the SE estimates for the corresponding proportions presented in the same sets of tables because all SEs for means and proportions are calculated directly in SUDAAN. As a result of the use of this mixed-method approach, the SEs for the estimated numbers of individuals within many detailed tables were calculated differently from those in NSDUH reports prior to the 2005 report.
Table 3.1 at the end of this chapter includes the domains that employed the alternative SE estimation method in the 2018 published reports and detailed tables. For example, Tables 8.2 and 8.5 in the 2018 detailed tables present estimates of any mental illness (AMI) and serious mental illness (SMI), respectively, among adults aged 18 or older within the domains of gender, Hispanic origin and race, and current employment. Estimated numbers of adults with AMI or SMI among the total population and age group (age group is the main effect), males and females (age group by gender interaction), and Hispanics and non-Hispanics (age group by Hispanic origin interaction) used the alternative SE estimation method to calculate the SEs. The SEs for all other estimated numbers of individuals, including white and black or African American (age by Hispanic origin by race interaction) were calculated directly in SUDAAN because published NSDUH estimates for racial groups are for non-Hispanics. Thus, the domain for whites (regardless of Hispanic origin) by age group in Table 3.1 is a two-way interaction. However, published estimates for whites by age group for the 2018 NSDUH actually represent a three-way interaction: white by Hispanic origin (i.e., not Hispanic) by age group.
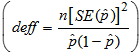
As has been done in past survey years, direct estimates from NSDUH that are designated as unreliable are not shown in reports or tables and are noted by asterisks (*). The criteria used to define unreliability of direct estimates from NSDUH are based on the prevalence (for proportion estimates), relative standard error (RSE) (defined as the ratio of the SE over the estimate), nominal (actual) sample size, and effective sample size for each estimate. These suppression criteria for various NSDUH estimates are summarized in Table 3.2 at the end of this chapter.
Proportion estimates
, or rates, within the range
, and the corresponding estimated numbers of users were suppressed if
The threshold of .175 in the above rule was chosen because it equates with a suppression threshold based on an effective sample size of 68 when
= .05, .50, or .95 (i.e., if the threshold were increased, then that would equate with a lower suppression threshold based on an effective sample size, and vice versa).
Using a first-order Taylor series approximation to estimate
and
, the following equation was derived and used for computational purposes when applying a suppression rule dependent on effective sample size:
The separate formulas for
and
produce a symmetric suppression rule; that is, if
is suppressed,
will be suppressed as well (see Figure 3.1 following Table 3.2). Figure 3.1 also illustrates how this suppression rule can equivalently be expressed as a suppression rule based on the effective sample size as a function of
. The figure illustrates that when
, the symmetric properties of the rule produce a local minimum effective sample size of 50 at
= .2 and at
= .8; however, as
moves away from these two points, then the suppression threshold increases to a maximum of an effective sample size of 68 reached at
= .05 or .95, or at the local maximum,
= .50. Therefore, to simplify requirements and maintain a conservative suppression rule, estimates of
between .05 and .95 were suppressed if they had an effective sample size below 68 (indicated by a horizontal line at 68 in Figure 3.1); the suppression rule was left unchanged for estimates of
outside of this range, which will require increasingly larger effective sample sizes in order to avoid suppression. For example, an effective sample size of 153, 232, and 684 is needed when
= .01, .005, and .001, respectively.
In addition, a minimum nominal sample size suppression criterion (n = 100) was employed that protects against unreliable estimates caused by small design effects and small nominal sample sizes; Table 3.2 shows a formula for calculating design effects. Prevalence estimates also were suppressed if they were close to 0 or 100 percent (i.e., if
< .00005 or if
> .99995).
Beginning with the 1991 survey, the suppression rule for proportions based on
described previously replaced a rule in which data were suppressed whenever
. This rule was changed because the rule prior to 1991 imposed a very stringent application for suppressing estimates when
is small but imposed a very lax application for large
. The new rule ensured a more uniformly stringent application across the whole range of
(i.e., from 0 to 1). The previous rule also was asymmetric in the sense that suppression only occurred in terms of
. That is, there was no complementary rule for (
), which the current NSDUH suppression criteria for proportions take into account.
Estimates of totals were suppressed if the corresponding prevalence rates were suppressed. Estimates of means that are not bounded between 0 and 1 (e.g., mean of age at first use) were suppressed if the RSEs of the estimates were larger than .5 or if the nominal sample size was smaller than 10 respondents. This rule was based on an empirical examination of the estimates of mean age of first use and their SEs for various empirical sample sizes. Although arbitrary, a sample size of 10 appeared to provide sufficient precision and still allow reporting by age at first use for many substances.
This section describes the methods used to compare prevalence estimates in this report. Customarily, the observed difference between estimates is evaluated in terms of its statistical significance. Statistical significance is based on the p value of the test statistic and refers to the probability that a difference as large as that observed would occur due to random variability in the estimates if there were no differences in the prevalence estimates being compared. The significance of observed differences in this report is reported at the .05 level. When comparing prevalence estimates, the null hypothesis (no difference between prevalence estimates) was tested against the alternative hypothesis (there is a difference in prevalence estimates) using the standard t test (with the appropriate degrees of freedom) for the difference in proportions test, expressed as
, D
where df = the appropriate degrees of freedom,
= the first prevalence estimate,
= the second prevalence estimate,
= the variance of the first prevalence estimate,
= the variance of the second prevalence estimate, and
= the covariance between
and
. In cases where significance tests between years were performed, the prevalence estimate from the earlier year becomes the first prevalence estimate, and the prevalence estimate from the later year becomes the second prevalence estimate (e.g., 2017 is the first estimate, and 2018 is the second).
Under the null hypothesis, the test statistic t is a random variable that asymptotically follows a t distribution. Therefore, calculated values of t, along with the appropriate degrees of freedom, can be used to determine the corresponding probability level (i.e., p value). Whether testing for differences between years or from different populations within the same year, the covariance term in the formula for t will, in general, not be equal to zero (0). SUDAAN was used to compute estimates of t along with the associated p values using the analysis weights and accounting for the sample design as described in Chapter 2 of this report. A similar procedure and a similar formula for t were used for estimated numbers of individuals with a characteristic of interest. Whenever the SE for an estimated number of individuals was calculated outside of SUDAAN using the alternative SE estimation method described in Section 3.2.1 (i.e., when domains were forced by the weighting process to match their respective U.S. Census Bureau population estimates), the corresponding test statistics also were computed outside of SUDAAN. The 2017 statistical inference report (CBHSQ, 2019c) includes examples of code for calculating tests of differences for these forced domains.
Under the null hypothesis, the test statistic with known variances asymptotically follows a standard normal (Z) distribution. However, because the variances of the test statistic are estimated, its distribution is more accurately described by the t distribution for finite sample sizes. As the degrees of freedom approach infinity, the t distribution approaches the Z distribution. Because most tests that were performed for the 2018 NSDUH have 750 degrees of freedom,19 the t tests performed produce approximately the same numerical results as if a Z test had been performed (CBHSQ, 2019c).
When comparing population subgroups across three or more levels of a categorical variable, log-linear chi-square tests of independence of the subgroups and the prevalence variables were conducted using SUDAAN in order to first control the error level for multiple comparisons. If, and only if, Shah's Wald F test (transformed from the standard Wald chi-square) indicated overall significant differences, the significance of each particular pairwise comparison of interest was tested using SUDAAN analytic procedures to properly account for the sample design (RTI International, 2013). This two-step procedure protected against inappropriate inferences being drawn due to the number of pairwise differences that were tested.20 Using the published estimates and SEs to perform independent t tests for the difference of proportions will typically provide similar results as tests performed in SUDAAN. However, results may differ for two reasons: (1) the covariance term is included in SUDAAN tests, whereas it is not included in independent t tests; and (2) the reduced number of significant digits shown in the published estimates may cause rounding errors in the independent t tests.
A caution in interpreting trends in estimated numbers of individuals with a characteristic of interest is that respondents with large analysis weights can greatly influence the estimated number in a given year when the number of individuals in the population with that characteristic is relatively small (e.g., past month heroin users). Large analysis weights for some respondents in a single year can result in the estimated numbers of individuals with a given characteristic showing an increase between Year 1 and Year 2 (i.e., the year that had the respondents with large analysis weights) but then decreasing in Year 3 back to an estimated number that is similar to that in Year 1. The potential for these kinds of year-to-year variations in estimated numbers of individuals also underscores the importance of reviewing trends across a larger range of years, especially for outcome measures that correspond to a relatively small proportion of the total population.
A second caution in interpreting trends in estimated numbers of individuals is that a change in the estimated number of individuals with a characteristic of interest could reflect a change in the size of the overall population. Therefore, trends in estimated numbers of individuals should be considered in conjunction with the corresponding estimated percentages because percentages will control for changes in both the number of people with the characteristic of interest and the total number of people in the population. If corresponding percentages are not available (e.g., for estimates of the number of past year initiates), caution should be taken in interpreting increases over time that may be explained by population increases rather than by true increases in the characteristic of interest.
The accuracy of survey estimates can be affected by nonresponse, coding errors, computer processing errors, errors in the sampling frame, reporting errors, and other errors not due to sampling. They are sometimes referred to as "nonsampling errors." These types of errors and their impact are reduced through data editing, statistical adjustments for nonresponse, close monitoring and periodic retraining of interviewers, and improvement in various quality control procedures.
Although these types of errors often can be much larger than sampling errors, measurement of most of these errors is difficult. However, some indication of the effects of some types of these errors can be obtained through proxy measures, such as response rates, and from other research studies.
Starting in 2002, NSDUH provided respondents with a $30 incentive in an effort to maximize response rates. The weighted screening response rate (SRR) is defined as the weighted number of successfully screened households21 divided by the weighted number of eligible households (as defined in Table 3.3), or
, D
where
is the inverse of the unconditional probability of selection for the household and excludes all adjustments for nonresponse and poststratification defined in Section 2.3.4 of this report. The weighted SRR is equivalent to the response rate 2 (
) in the American Association for Public Opinion Research (AAPOR) standard definitions (AAPOR, 2016), or
, D
where I is the weighted sum of the successfully screened households, P is the weighted sum of the partially screened households, R is the weighted sum of the refusals and break-offs, NC is the weighted sum of the noncontacts, O is the weighted sum of the other eligible nonresponding households, UH is the weighted sum of the cases in which it is unknown if an eligible housing unit exists, and UO is the weighted sum of the cases in which it is unknown if an eligible person is present in the housing unit. According to the definition of a successfully screened household, no partially screened households are in NSDUH's SRRs (i.e., the letter P in AAPOR's
). Thus,
becomes
, or
. D
In
, all of the households with unknown eligibility are considered to be eligible. Of the 193,456 eligible households that were sampled for the 2018 NSDUH, 141,879 households were screened successfully, for a weighted SRR of 73.3 percent (Table 3.3).
At the person level, the weighted interview response rate (IRR) for NSDUH is defined as the weighted number of respondents divided by the weighted number of selected individuals (see Table 3.4), or
, D
where
is the inverse of the probability of selection for the person and includes household-level nonresponse and poststratification adjustments (adjustments 1, 2, and 3 in Section 2.3.4). To be considered a completed interview, a respondent must provide enough data to pass the usable case rule (see Section 2.3.1). Similar to the weighted SRR, the weighted IRR is equivalent to the AAPOR standard definition
, except that all of the respondents have known eligibility. Thus, the weighted IRR can be written as
, which is based on the AAPOR definition, or
, D
where I is the weighted sum of the completed interviews, P is the weighted sum of the partial interviews (with enough data to pass the usable case rule), R is the weighted sum of the refusals and break-offs that failed the usable case rule, NC is the weighted sum of the noncontacts, and O is the weighted sum of the other eligible nonrespondents.
In the 141,879 screened households for the 2018 NSDUH, a total of 99,111 sampled individuals were selected, and completed interviews were obtained from 67,791 of these sampled individuals, for a weighted IRR of 66.6 percent (see Table 3.4). A total of 21,918 sampled individuals (23.1 percent) were classified as refusals or parental refusals, 5,828 (5.4 percent) were not available or never at home, and 3,574 (4.9 percent) did not participate for various other reasons, such as physical or mental incompetence or language barrier (see Table 3.4, which also shows the distribution of the selected sample by interview code and age group). Among demographic subgroups, the weighted IRR was higher among 12 to 17 year olds (73.9 percent), females (68.4 percent), blacks (73.1 percent), individuals in the South (69.9 percent), and residents of nonmetropolitan areas (69.8 percent) than among other related groups (Table 3.5).
The overall weighted response rate, defined as the product of the weighted screening response rate and weighted interview response rate, or
, D
was 48.8 percent in 2018. Nonresponse bias can be expressed as the product of the nonresponse rate
and the difference between the characteristic of interest among respondents and nonrespondents in the population
.
Maximizing NSDUH response rates is intended to minimize biases in estimates due to different characteristics of respondents and nonrespondents. Drug use surveys may be particularly vulnerable to nonresponse bias if recent or frequent drug users are less likely to participate in the survey, especially for less commonly used substances such as crack cocaine or heroin. However, a study that matched 1990 census data to 1990 National Household Survey on Drug Abuse (NHSDA) nonrespondents22 found that populations with low response rates did not always have high drug use rates (Gfroerer, Lessler, & Parsley, 1997a). For example, although some populations were found to have low response rates and high drug use rates (e.g., residents of large metropolitan areas and males), other populations had low response rates and low drug use rates (e.g., older adults and high-income populations). These findings suggest that many of the potential sources of bias could cancel each other in estimates of overall prevalence. However, this study has not been conducted again in recent years to determine whether these earlier findings can be replicated.
Among survey participants, item response rates were generally very high for most mental health and drug use items. For example, 0.4 percent of the adult respondents in 2018 had missing data (i.e., responses other than "yes" or "no") for whether they received mental health services in the past 12 months as an inpatient, and 0.6 percent had missing data for whether they received outpatient mental health services in this period. Also, about 0.8 percent of adults had missing data for questions about suicidal thoughts and behavior in the past 12 months. About 0.9 to 1.2 percent of adults had missing data for questions about specific lifetime symptoms of depression; the highest percentage of missing data (1.2 percent) among the depression items occurred in the question about the specific number of pounds that respondents lost without trying to lose weight (question AD26f in the adult depression section).23 In addition, about 0.9 to 1.1 percent of adults had missing data for these lifetime depression symptom questions because they had missing data (e.g., answers of "don't know" or "refused") for preceding questions that needed to be answered affirmatively in order for them to be asked the questions about depression symptoms.
For respondents aged 12 to 17 in the 2018 NSDUH, 1.1 to 1.7 percent had missing data for whether they received mental health services in the past 12 months from specific sources other than through schools; about 2.0 to 2.3 percent had missing data for the receipt of school-based services. About 2.2 to 3.4 percent had missing data for questions about specific lifetime symptoms of depression; as in the case of adults, the highest percentage of missing data for the depression items (3.4 percent) occurred in the question about the specific number of pounds that youths lost without trying to lose weight (question YD26f in the adolescent depression section). About 2.1 to 2.8 percent of youths had missing data for these lifetime depression symptom questions because they had missing data for preceding questions that needed to be answered affirmatively in order to be asked the questions about depression symptoms.
About 1.6 percent of respondents aged 12 or older in 2018 had missing data for whether they received treatment for use of alcohol or illicit drugs in their lifetime or in the past 12 months. About 1.2 percent of respondents had missing data for whether they ever received substance use treatment because their status as a lifetime user of alcohol or illicit drugs was unknown. Among respondents who were aged 12 to 17 years old, 4.8 percent had missing data for whether they ever received substance use treatment, including 4.2 percent whose status as a lifetime user of alcohol or illicit drugs was unknown.
However, item nonresponse becomes important for measures created from multiple questions because nonresponse to a single item can result in the overall measure being assigned a missing value. For example, respondents aged 12 to 17 who reported receiving mental health services in either of two inpatient mental health settings (any type of hospital or a residential treatment center) were asked to report the number of nights that they stayed in a given facility in the past 12 months. An overall measure of the number of nights spent in either setting in the past 12 months would have a missing value if there was insufficient information across both items to determine the total number of nights that were spent in either of these settings. For example, an analysis of item nonresponse for the 2014 NSDUH found that 12.8 percent of respondents aged 12 to 17 had missing data for the total number of nights that they spent in any inpatient facility for mental health care in the past 12 months.
Responses of "don't know" also may suggest an underlying characteristic of respondents. In questions such as the perceived risk of harm from the use of different substances or the perceived availability of substances, responses of "don't know" may be a valid response category for respondents. Respondents may not have formed an opinion on the topic, or they may have no knowledge of the substance. In 2018, about 0.8 to 1.0 percent of respondents aged 12 or older and about 1.5 to 1.7 percent of adolescent respondents aged 12 to 17 answered "don't know" to questions about the perceived risk of harm from smoking a pack or more of cigarettes a day, having four or five drinks of an alcoholic beverage nearly every day, or having five or more drinks of an alcoholic beverage once or twice a week. For the perceived risk of harm from using different illicit drugs, percentages of respondents aged 12 or older who answered "don't know" ranged from 1.4 percent for the perceived risk from using marijuana (once a month or once or twice a week) to 3.0 percent for the perceived risk from trying or using lysergic acid diethylamide (LSD) (trying LSD once or twice or using it once or twice a week). Among adolescent respondents aged 12 to 17, the percentage who answered "don't know" ranged from 2.1 percent for the perceived risk from using marijuana once or twice a week to 6.1 percent for the perceived risk from trying LSD.
Moreover, responses of "don't know" to questions about the perceived risk of harm from substance use were the predominant source of missing data in these questions. Among respondents aged 12 or older with missing data in these questions, about 86 to 94 percent answered "don't know." Among respondents aged 12 to 17 with missing data in these questions, about 90 to 96 percent answered "don't know." For illicit drugs such as LSD, cocaine, or heroin, responses of "don't know" to questions about the perceived risk of harm from using these substances could reflect a general lack of knowledge about these substances.
In addition, 4.3 to 5.0 percent of respondents aged 12 or older reported in 2018 that they did not know how difficult or easy it would be for them to obtain LSD, cocaine, crack cocaine, or heroin if they wanted some. Among respondents aged 12 to 17, percentages of respondents who did not know how easy or difficult it would be to get these substances ranged from 3.8 percent for cocaine to 5.7 percent for LSD. More than 90 percent of respondents aged 12 or older and about 86 to 89 percent of those aged 12 to 17 who had missing data for how difficult or easy it would be for them to obtain LSD, cocaine, crack cocaine, or heroin answered these questions as "don't know." Not knowing how difficult or easy it would be to obtain these substances could indicate a predisposition not to use them.
Aside from issues of potential biases that are discussed below, excluding respondents with missing data for perceived risk and availability measures (especially those who answered "don't know") could have other implications for published estimates. For example, excluding respondents who answered "don't know" to these questions might create the impression that all individuals in the population have an opinion about the perceived risk of harm from substance use or the perceived availability of different substances. For these measures, the percentage of people who did not know how to answer these questions could be useful information.
If statistical imputation was not used to replace missing values with nonmissing values (see Section 2.3.3), then the variables that serve as the starting point for creating NSDUH estimates will have some missing data. Generally, observations with missing values are excluded from standard NSDUH analyses, including a portion (but not all) of the analyses that are used to create the annual detailed tables. For some variables, however, missing values are assumed to be equivalent to negative responses, such as assuming that respondents with missing data for a given symptom of psychological distress in the past 30 days or past 12 months did not have that symptom (see Section 3.4.7). This assumption causes a negative bias. The magnitude of the bias depends on both the percentage of respondents with missing data and the magnitude of the estimate. Specifically, a high level of nonresponse and a high estimate induce a large negative bias. A low level of nonresponse and a low estimate induce a small negative bias. Intermediate combinations induce a moderate negative bias. Several variables for which missing data are treated as being equivalent to a negative response are described in Section 3.4.
Bias may still result when respondents with missing data are excluded from the analysis. This issue is discussed in more detail in the 2017 NSDUH's statistical inference report (CBHSQ, 2019c).
For estimated numbers of individuals with a given characteristic, a negative bias will always occur if there are missing values in the domain variables, the outcome variable, or both. For example, estimates of exposure of youths aged 12 to 17 to school-based substance use prevention messages include a domain variable that consists of youths who attended school in the past 12 months (including those who were home schooled), and the outcome variables, which consist of whether youths received substance use prevention messages in various school settings. Both the domain and the outcome variables may have missing data, and respondents with missing data for school attendance or exposure to school-based prevention activities were excluded from the analyses.
When a population mean or a population proportion is estimated, there may or may not be bias, and the bias can be negative or positive. The direction and magnitude of the bias for means and proportions depend on how different the item respondents are from the item nonrespondents with respect to the outcome of interest. For example, if "true" perceptions of the risk of harm from the use of different substances (i.e., no risk, slight risk, moderate risk, great risk) among respondents with missing data matched the distribution of respondents who did not have missing data, then excluding missing data (and decreasing the number of respondents in the denominator) would be expected to increase the estimated percentage of individuals in the population who perceived great risk of harm from using a substance. However, if the actual perceived risk of harm among respondents with missing data was skewed in favor of perceived great risk of harm, for example, then excluding these missing data might introduce other biases in published estimates.
In order to minimize respondent confusion, inconsistent responses, and item nonresponse, the NSDUH computer-assisted interviewing (CAI) instrument is programmed to skip respondents out of questions that would not apply based on their answers to previous questions. This skip logic reduced the potential for inconsistent data by limiting respondents' opportunity to provide answers that were inconsistent with previous answers. For example, if adult respondents did not report that they stayed overnight in a hospital or other facility to receive mental health services in the past 12 months, they were not asked questions about the type of inpatient facility where they received mental health services, the number of nights they spent in inpatient facilities, or the payment sources for their inpatient mental health services in that period. Thus, respondents could not report that they did not receive inpatient mental health services in the past 12 months and then answer one or more of these additional questions as though they had.
However, programming of skip patterns within the CAI instrument did not eliminate all occurrences of missing or inconsistent data. For example, when asked about cocaine use, respondents who reported that they did not know whether they had ever used cocaine are not asked further questions about this substance, resulting in missing data for their most recent use and when they initiated use. Respondents also could report lifetime use of cocaine but give inconclusive information (i.e., responses of "don't know" or "refused") for when they last used it. Consequently, information is unknown for whether these lifetime users used cocaine in the past year or past month. Similarly, respondents could give inconsistent responses, such as reporting that they last used any form of cocaine more than 12 months ago but that they last used crack cocaine in the past 30 days or last used it more than 30 days ago but within the past 12 months; both answers logically cannot be true.
These missing or inconsistent responses in the substance use data are first resolved where possible through a logical editing process (e.g., logically inferring that more recent reported use of crack cocaine applies to any cocaine). Additionally, missing or inconsistent responses for substance use are imputed using statistical methodology. These imputation procedures in NSDUH are based on responses to multiple questions, so that other relevant information is utilized through statistical modeling when determining whether a respondent is classified as a user or nonuser—and, if the respondent is classified as a user, whether the respondent is classified as having used a substance in the past year or the past month. For example, ambiguous data on the most recent use of cocaine are statistically imputed based on a respondent's data for use (or most recent use) of tobacco products, alcohol, and marijuana. Nevertheless, editing and imputation of missing responses are potential sources of measurement error.
As was the case with the substance use variables, the CAI skip logic also did not eliminate all opportunities for inconsistent reports in the mental health questions. Consequently, the logical editing procedures for the mental health data could slightly increase the amount of missing data when inconsistent answers were given. For example, if adult or adolescent respondents who met the criteria for a lifetime major depressive episode (MDE) (see Section 3.4.8) reported an age at onset for depression symptoms24 that was greater than their current age, the inconsistent age-at-onset variable was set to a missing value. However, the number of respondents in 2018 with this inconsistency was small (i.e., fewer than 10 respondents aged 12 or older).
For more information on editing and statistical imputation, see Sections 2.3.2 and 2.3.3 in this report. Details of the editing and imputation procedures for 2018 also will appear in the 2018 NSDUH Methodological Resource Book, which is in process. Until that volume becomes available, refer to the 2017 NSDUH Methodological Resource Book (CBHSQ, 2019a) for documentation of editing and imputation procedures.
As noted previously, measurement of most types of nonsampling errors can be difficult. However, reliability studies that involve reinterviewing survey respondents provide a direct measure of error due to response variance. Stated another way, the capability of a survey to provide accurate data, and consequent population estimates, can be examined by assessing the consistency of respondents' answers from separate administrations of the survey at two different time points. Low reliability of answers at different time points can raise concerns about the validity of estimates, especially when respondents are asked questions on sensitive topics.
Therefore, a study was conducted as part of the 2006 NSDUH to assess the reliability of responses to the NSDUH questionnaire. Using an interview/reinterview method, 3,136 individuals who had participated in the 2006 NSDUH were reinterviewed between 5 and 15 days after their initial NSDUH interview. The reliability of the responses was assessed by comparing the responses from the first interview with the responses from the reinterview. Responses from the first interview and reinterview that were analyzed for response consistency were data that had been only minimally edited for ease of analysis and had not been imputed (raw data) (see Sections 2.3.2 and 2.3.3 in this report).
This section summarizes results for the reliability of selected variables related to substance use, mental health, and demographic characteristics. The discussion focuses on measures that were considered to have remained comparable with measures in earlier years following the partial questionnaire redesign in 2015, including those from 2006. Reliability results would be less likely to change if the questionnaire items that are used to construct particular measures did not change as part of the partial redesign in 2015. Where the partial redesign affected the comparability of estimates between 2015 and earlier years, however, reliability results from 2006 may not apply to these measures beginning in 2015. In particular, reliability results are not discussed for the overall SUD measure for alcohol or illicit drugs or for substance use treatment because these measures were affected by changes to questions in 2015 for hallucinogens, inhalants, methamphetamine, and prescription psychotherapeutic drugs (see Section C in the methodological summary and definitions report for the 2015 NSDUH; CBHSQ, 2016b).
Reliability is expressed by estimates of Cohen's kappa (κ), which ranges from −1.00 to 1.00 (Cohen, 1960). Cohen's kappa can be interpreted according to benchmarks proposed by Landis and Koch (1977, p. 165): (1) poor agreement for kappas less than 0.00, (2) slight agreement for kappas of 0.00 to 0.20, (3) fair agreement for kappas of 0.21 to 0.40, (4) moderate agreement for kappas of 0.41 to 0.60, (5) substantial agreement for kappas of 0.61 to 0.80, and (6) almost perfect agreement for kappas of 0.81 to 1.00.
The kappa values for the lifetime and past year substance use variables for marijuana use, alcohol use, and cigarette use among individuals aged 12 or older all showed almost perfect response consistency, ranging from 0.82 for past year marijuana use to 0.93 for lifetime marijuana use and past year cigarette use. The variables for the age at first use also showed substantial agreement for any cigarette smoking, daily cigarette smoking, alcohol use, cocaine use, and use of LSD, ranging from 0.63 for cocaine use to 0.85 for LSD use. The age at first use of cigars showed moderate agreement (0.50).
Measures for alcohol use disorder, marijuana use disorder, and cocaine use disorder showed substantial agreement. The kappa values were 0.64 for alcohol use disorder, 0.63 for marijuana use disorder, and 0.65 for cocaine use disorder.
Among adults, the values for the past year use of outpatient mental health services and use of prescription medication for a mental health issue showed almost perfect consistency (0.85 each). Reliability statistics for the adult MDE measures indicated moderate to substantial agreement (lifetime: 0.67; past year: 0.52).
A dichotomous measure of whether adults had scores of less than 13 or scores of 13 or higher based on six items (the Kessler-6 or K6 scale; see Section 3.4.7 in this report for more information on the K6 scale) was used to estimate symptoms of psychological distress during the 1 month in the past 12 months when respondents were at their worst emotionally.25 This measure showed substantial agreement (0.64) between the first interview and the reinterview. The kappa for the K6 score, which ranged from 0 to 24, was weak (0.21) when exact agreement was required between the scores from the first interview and the reinterview. When the K6 scores were allowed to differ by no more than three points between the two interviews, however, the kappa increased to 0.63.
Demographic variables for Hispanic origin and gender showed almost perfect agreement, (0.99 for Hispanic origin and 1.00 for gender). For further information on the reliability of a wide range of measures contained in NSDUH, see the complete methodology report (Chromy et al., 2010).
Most estimates of substance use, including those produced for NSDUH, are based on self-reports of use. This section focuses on the validity of NSDUH respondents' self-reports of substance use and is not intended to provide a comprehensive discussion of issues associated with the validity of any self-report in NSDUH. Factors such as the length of time between an event and the interview date also can affect the accuracy of respondents' recall, independent of the potential sensitivity of the topic covered by a question.
Survey questions about topics such as substance use are considered to be sensitive because respondents may think that these questions are intrusive ("none of your business"), pose risks for negative social or legal consequences if their answers were to become known, or require them to provide socially undesirable answers (Tourangeau & Yan, 2007). Although studies generally have supported the validity of self-report data for sensitive topics, the potential for these data to be biased (underreported or overreported) is well documented. The bias varies by several factors, including the mode of administration, the setting, the population under investigation, and in the case of substance use the type of drug (Aquilino, 1994; Brener et al., 2006; CBHSQ, 2012b; Harrison & Hughes, 1997; Lindberg & Scott, 2018; Tourangeau & Smith, 1996; Tourangeau & Yan, 2007; Turner, Lessler, & Gfroerer, 1992). NSDUH utilizes widely accepted methodological practices for increasing the accuracy of self-reports, such as encouraging privacy through audio computer-assisted self-interviewing (ACASI) and providing assurances that individual responses will remain confidential. Comparisons using these methods within NSDUH have shown that they reduce reporting bias (Gfroerer, Eyerman, & Chromy, 2002).
Various procedures also have been used to validate self-report data, such as biological specimens (e.g., urine, hair, saliva), proxy reports (e.g., family member, peer), and repeated measures (e.g., to identify recanting of previous reports of use) (Fendrich, Johnson, Sudman, Wislar, & Spiehler, 1999). However, these procedures often are impractical or too costly for routine use in general population epidemiological studies (SRNT Subcommittee on Biochemical Verification, 2002). Challenges in collecting biological specimens are especially important for NSDUH because of its large sample size and coverage of all 50 states and the District of Columbia.
A special study cosponsored by the Substance Abuse and Mental Health Services Administration (SAMHSA) and the National Institute on Drug Abuse (NIDA) examined the validity of NSDUH self-report data on drug use among people aged 12 to 25. The study found that urine and hair specimens can be collected with a relatively high response rate in a general population survey and that most youths and young adults reported their recent drug use accurately in self-reports (Harrison, Martin, Enev, & Harrington, 2007). However, some reporting differences were observed in either direction, with some respondents not reporting use but testing positive, and some respondents reporting use but testing negative. Technical and statistical problems related to the hair tests precluded presenting comparisons of self-reports and hair test results. Small sample sizes for self-reports and positive urine test results for opioids and stimulants precluded drawing conclusions about the validity of self-reports of these drugs. Furthermore, inexactness in the window of detection for drugs in biological specimens and biological factors affecting the window of detection could account for some inconsistency between self-reports and urine test results.
In addition, the emphasis on past year rather than lifetime misuse of specific prescription drugs as part of the partial redesign of the 2015 NSDUH questionnaire appears to have affected the validity of estimates for lifetime misuse of prescription psychotherapeutic drugs (see Section C in the methodological summary and definitions report for the 2015 NSDUH; CBHSQ, 2016b). Respondents since 2015 who did not misuse prescription psychotherapeutic drugs in the past 12 months were asked fewer questions than in years prior to 2015 to aid them in recalling whether they misused any prescription psychotherapeutic drug in a given category (e.g., prescription pain relievers) in their lifetime. Respondents since 2015 (including those in the 2018 NSDUH) also did not have cues for recalling misuse more than 12 months ago of prescription drugs that were no longer available by prescription in the United States in 2018 (e.g., sedatives containing methaqualone, such as those with the brand names Quaalude® or Sopor®). Field test results in 2012 and 2013 for the redesigned prescription drug questions found lower estimates of lifetime misuse of prescription psychotherapeutic drugs based on the redesigned questions compared with estimates based on the NSDUH questionnaire that was fielded in those years (CBHSQ, 2014b, 2014c). Because lifetime prescription drug misuse estimates would not be expected to show much change from year to year, CBHSQ concluded that the redesigned questionnaire structure resulted in underreporting of lifetime misuse of prescription psychotherapeutic drugs since 2015 compared with years prior to 2015. For this reason, estimates of lifetime misuse of prescription psychotherapeutic drugs are not included in the 2018 detailed tables.
The prescription drug questions since 2015 allowed respondents to report any use or misuse in the past 12 months for specific medications within a given psychotherapeutic category (e.g., the benzodiazepine tranquilizers Xanax®, Xanax® XR, generic alprazolam, and generic extended-release alprazolam). These details were presented to respondents to aid them with recall and recognition. Because respondents could have difficulty knowing or remembering whether they took a generic or brand name drug or what type of formulation they took (i.e., immediate release or extended release), these questions capture data for the use or misuse of prescription drugs that contain a given active ingredient but not necessarily for the exact drugs that respondents took. For example, respondents could report use or misuse of the brand name tranquilizer Xanax® even if they actually took the generic equivalent. This issue may be especially relevant for respondents who misused prescription drugs by taking them without a prescription of their own. Analytically, therefore, these self-reports are assumed to be reliable for making estimates of use or misuse of prescription drugs containing a given active ingredient (e.g., tranquilizers that contain alprazolam), even if respondents may have misreported the exact drug that they used or misused in the past year. Therefore, 2018 NSDUH estimates for the use or misuse of prescription psychotherapeutic drugs in the past year are reported for overall psychotherapeutic drug categories (e.g., tranquilizers) or for subtypes of related drugs (e.g., benzodiazepine tranquilizers, tranquilizers that contain alprazolam), but they are generally not reported for specific individual prescription drugs from the NSDUH questionnaire.26
However, a strength of NSDUH is that key questions for estimating substance use are intended to undergo minimal or no change across years to maintain the comparability of estimates for assessing trends.27 Therefore, if the extent of underreporting or overreporting of substance use is relatively constant over time, then data users can make reliable conclusions about changes in substance use across years, despite the potential limitations of respondent self-reports. In 2017, for example, the percentage of individuals who used cocaine in the past month was higher than the percentages in 2009 to 2014 (CBHSQ, 2018c). If NSDUH respondents had similar perceptions of the social undesirability of cocaine use in 2009 to 2017, then the higher NSDUH estimate of cocaine use in 2017 is likely to reflect a real change in the population.
During regular data collection and processing checks for the 2011 NSDUH, data errors were identified. These errors resulted from fraudulent cases submitted by field interviewers and affected the data for Pennsylvania (2006 to 2010) and Maryland (2008 and 2009). Although all fraudulent interview cases were removed from the data files, the sample dwelling units (SDUs) that were associated with the falsified interviews were not removed because they were part of the assigned sample. Instead, at the household screening stage, these SDUs were assigned a final screening code of 39 ("Fraudulent Case") and were treated as incomplete with unknown eligibility. The screening eligibility status for these cases then was imputed. Those cases that were imputed to be eligible were treated as unit nonrespondents for weighting purposes; however, these cases were not treated differently from other unit nonrespondents in the weighting process in 2006 to 2010 (see Section 2.3.4 in this report).
Table B.3 in Appendix B of the 2011 mental health findings report (CBHSQ, 2012c) presents screening results for 2010, the last year that was affected by these errors. Cases that were imputed to be eligible are classified with a final code of 39 ("Fraudulent Case"; see Table 3.3 in this report). The cases that were imputed to be ineligible did not contribute to the weights and were reported as "Other, Ineligible" in the affected years. Because any case with falsified screening or interview data was treated either as ineligible or as a unit nonrespondent at the screening level, it did not have any associated interview information (see Table 3.4). However, some estimates for 2006 to 2010 in the national reports from the 2018 NSDUH, as well as other new reports, may differ from corresponding estimates found in some previous reports. Similarly, some estimates for 2006 to 2010 in the 2018 detailed tables may differ from estimates found in previous tables.
These errors had minimal impact on the national estimates and no effect on direct estimates for the other 48 states and the District of Columbia. In reports where model-based small area estimation techniques are used, estimates for all states may be affected, even though the errors were concentrated in only two states. In reports that do not use model-based estimates, the only estimates appreciably affected are estimates for Pennsylvania, Maryland, the mid-Atlantic division, and the Northeast region. Tables and estimates based only on data since 2011 are unaffected by these data errors.
The 2018 national reports do not include region-level, division-level, state-level, or model-based estimates. However, national NSDUH reports through the 2013 NSDUH show estimates for the Northeast region or mid-Atlantic division (or both). The 2018 detailed tables include region-level estimates for some measures but do not include trend data by region for 2006 to 2010. Nevertheless, corrected single-year estimates based on 2006 to 2010 data and estimates based on pooled data including any of these years may differ from previously published estimates in NSDUH reports or tables.
Caution is advised when comparing data from older reports with data from more recent reports that are based on corrected data files. As discussed previously, comparisons of estimates for Pennsylvania, Maryland, the mid-Atlantic division, and the Northeast region are of most concern. Comparisons of national data or data for other states and regions are essentially still valid. CBHSQ within SAMHSA produced a selected set of corrected versions of reports and tables. In particular, CBHSQ released a set of modified detailed tables that include revised 2006 to 2010 estimates for the mid-Atlantic division and the Northeast region for certain key measures. CBHSQ does not recommend making comparisons between unrevised 2006 to 2010 estimates and estimates based on data for 2011 and subsequent years for the geographic areas of greatest concern.
Several measurement issues associated with the 2018 NSDUH are discussed in this section. Specifically, these issues include the methods for measuring the use and misuse of prescription drugs, the initiation of substance use or misuse of prescription drugs, substance use disorders (SUDs), the need for services for substance use and mental health issues, and the definition of county type. Additionally, this section discusses the effects on mental health measures because of questionnaire changes prior to the partial questionnaire redesign for the 2015 NSDUH.
This section also discusses how missing data were handled analytically to produce the estimates that are found in the 2018 NSDUH reports and tables. Readers are reminded to refer to Section 3.3.2 for a discussion of potential biases in estimates because of missing data, especially when missing values are assumed to be equivalent to negative responses (e.g., assuming that respondents with missing data for a given symptom of psychological distress did not have that symptom [see Section 3.4.7]).
The prescription drug questions in the NSDUH CAI instrument underwent a series of changes for the 2015 survey. This section focuses on changes to the prescription drug questions since the 2015 survey that affected estimates for the use or misuse of prescription psychotherapeutic drugs. Implications of these changes for comparability of prescription drug estimates between 2015 and prior years are discussed further in Section C in the methodological summary and definitions report for the 2015 NSDUH (CBHSQ, 2016b). In particular, new baselines were started in 2015 for the use and misuse of prescription psychotherapeutic drugs and also for methamphetamine use. Details about additional changes to the prescription drug questions also are discussed in a separate report on the use and misuse of prescription drugs for the 2015 NSDUH (Hughes et al., 2016). Changes that were made to the prescription drug questions beginning with the 2015 NSDUH include the following:
These changes were designed to address limitations in the measurement of prescription drug misuse because of public health concerns about the misuse of prescription drugs. For example, the number of drug poisoning deaths involving opioid pain relievers such as hydrocodone, oxycodone, and methadone has increased over time (Centers for Disease Control and Prevention, 2013; Paulozzi, 2012).
In particular, the structure of the prescription drug questions in 2015 was modified to ask a set of "screener" questions in which respondents first were asked to report any use of specific prescription drugs in the past 12 months, regardless of the reason. Respondents were then asked about misuse in the past 12 months for the specific prescription drugs that they reported using in that period. Prior to 2015, respondents were asked only about the misuse of specific prescription drugs. This previous question structure required respondents to think about two pieces of information in order to answer a single question: (1) whether they ever used a specific prescription drug for any reason; and (2) if so, whether they ever used it without a prescription or only for the experience or feeling it caused. In addition to this change helping to simplify the cognitive task for respondents, data were made available starting with the 2015 survey for any use of prescription psychotherapeutic drugs in the past 12 months.
As noted previously, misuse of prescription psychotherapeutic drugs also was redefined in 2015 as use "in any way a doctor did not direct you to use it/them." Respondents since 2015 have been presented with examples of use in any way not directed by a doctor, including (1) use without a prescription of one's own; (2) use in greater amounts, more often, or longer than told to take a drug; and (3) use in any other way not directed by a doctor. Prior to the 2015 NSDUH, misuse was defined as use of a prescription drug "that was not prescribed for you or that you took only for the experience or feeling it caused." This prior definition of misuse combined both a behavior (i.e., use without a prescription) and a motivation (i.e., use for the experience or feeling that a drug caused). Thus, the revised definition of misuse since 2015 has focused solely on behaviors that constitute misuse, independent of respondents' motivations for those behaviors. The revised definition also was more comprehensive because it could capture reports of overuse of prescribed medication.
Another change for the 2015 NSDUH that was described previously was to collect detailed data about the misuse of specific prescription drugs within a given category in the past 12 months instead of over the respondent's lifetime. This change for 2015 involved the removal of questions for prescription drugs that were no longer available in the United States. Prescription drugs that were being prescribed more often or were recently approved also were added to the 2015 questionnaire. These changes better address the information needs of policymakers in federal and state agencies who are concerned with recent misuse of prescription drugs that were available by prescription in the United States. A further benefit of a 12-month time frame is that this time period is closer to the interview date and facilitates recall, thereby allowing for more accurate estimates.
Finally, a separate methamphetamine section was added for the 2015 NSDUH. Prior to 2015, questions regarding methamphetamine were asked as part of questions about the misuse of prescription stimulants, and respondents were asked about the use of methamphetamine that was not prescribed or that they took only for the experience or feeling it caused. However, most methamphetamine that is used in the United States is manufactured illegally rather than being dispensed in prescription form (i.e., Desoxyn®). The creation of a separate methamphetamine section was intended to address the concern that some methamphetamine users may have failed to report use in NSDUH if they did not recognize the drug when it was presented in the prescription drug context. To address this issue in part, questions had been added to a later section of the NSDUH interview in 2005 and 2006 to capture information from respondents who may have used methamphetamine but did not recognize it as a prescription drug and therefore did not report use in the stimulants section. With the creation of a separate methamphetamine section, these supplemental questions were deleted from the 2015 questionnaire. This methamphetamine section asks about the use of methamphetamine rather than its misuse. Due to these changes in questionnaire structure and context, the answers for methamphetamine use and misuse of prescription stimulants were no longer expected to be totally consistent.
Minor modifications were made to the prescription drug questions for the 2018 NSDUH. These modifications are described in Section 2.2.2 in this report.
The following prescription drug variables that are relevant to published estimates since 2015 have not undergone statistical imputation to remove missing values (see Section 2.3.3):
Missing values in variables pertaining to subtypes of prescription drugs were assumed in the analyses to be equivalent to reports of no use or no misuse in the past 12 months. Respondents with missing data for the main reason for the last misuse and for the source of the last prescription drug were excluded from the analyses. See Section 3.3.2 for a discussion of the potential bias in estimates depending on how missing data were handled.
For all years since 2015, respondents were not counted as having misused "any other" prescription drug in the past year if the only other drugs they specified were over-the-counter (OTC) drugs.28 Beginning in 2017, respondents also were not counted as having misused any other prescription drug if (1) the only other drugs they specified corresponded to prescription drug subtypes in the NSDUH questionnaire for that psychotherapeutic category (e.g., pain relievers that contain hydrocodone), or (2) they specified only drugs in these subtypes and OTC drugs. For example, respondents in 2017 who specified Vicodin® and OTC drugs (e.g., acetaminophen) as the only other prescription pain relievers they misused in the past year were counted in estimates for the past year misuse of hydrocodone products but were not counted in estimates for the past year misuse of any other pain reliever. In 2015 and 2016, these respondents would have been counted as both past year misusers of hydrocodone products and past year misusers of any other prescription pain reliever.
This procedure could not be applied to estimates for any use in the past year of other prescription drugs in a psychotherapeutic category because respondents were not asked to specify the names of other drugs they used for any reason (i.e., not necessarily misuse). Respondents who reported any past year use of other prescription drugs in a given category were asked whether they misused other prescription drugs in that period and were asked to specify which other drugs they misused. However, respondents could have used other prescription drugs for any reason in the past year in addition to the drugs they specified they had misused in the past year.
Therefore, if respondents were not counted as being past year misusers of other prescription drugs according to the criteria described above, also not counting them as being past year users could underestimate the prevalence of any past year use of prescription drugs. For example, respondents who reported any past year use of other prescription pain relievers, reported past year misuse of other prescription pain relievers, and specified Vicodin® as the only other prescription pain reliever they misused would no longer be counted as past year misusers of other prescription pain relievers. However, these respondents could have used but not misused other pain relievers in the past year (e.g., prescription-strength nonsteroidal anti-inflammatory drugs). These respondents legitimately would not have specified they misused these other pain relievers. Not counting these respondents as having used any other prescription pain reliever in the past year because they specified only the misuse of Vicodin® in that period would underestimate the prevalence of any past year use of other prescription pain relievers. Additional details about this change are described in the 2017 methodological summary and definitions report (CBHSQ, 2018b).
In NSDUH, initiation refers to the first use of a particular substance. For prescription psychotherapeutic drugs (pain relievers, tranquilizers, stimulants, and sedatives), initiation refers to the first time that misuse occurred.29 All of the initiation variables that were used to create published estimates for the 2018 NSDUH underwent statistical imputation to remove missing values (see Section 2.3.3). Therefore, these variables were not subject to the kinds of potential biases because of missing data that are described in Section 3.3.2.
Since 1999, the survey questionnaire has collected year and month of first use for recent initiates (i.e., individuals who used a particular substance for the first time at their current age or the year before their current age). Month, day, and year of birth also are obtained directly or are imputed for item nonrespondents as part of the data postprocessing. Additionally, the CAI instrument records and provides the date of the interview.
In the 2004 NSDUH national findings report (OAS, 2005), a new measure was introduced that is termed as "past year initiation." This measure refers to respondents whose date of first use of a substance (or misuse for psychotherapeutic drugs) was within the 12 months prior to their interview date.30 Past year initiation is determined by self-reported past year use, age at first use, year and month of recent new use, and the interview date.
Calculation of estimates of past year initiation do not take into account whether a respondent initiated substance use while a resident of the United States. This method of calculation allows for direct comparability with other standard measures of substance use because the populations of interest for the measures will be the same (i.e., both measures examine all possible respondents and are not restricted to those initiating substance use only in the United States).
One important note for initiation estimates is the relationship between the main categories and subcategories of substances (e.g., hallucinogens would be a main category, and LSD, phencyclidine [PCP], and Ecstasy would be subcategories in relation to hallucinogens). For most measures of substance use, any member of a subcategory is by necessity a member of the main category (e.g., if respondents are past month users of Ecstasy, then they are also past month users of any hallucinogen). However, this is not the case with regard to estimates for the initiation of substance use. For example, an individual can initiate use of any hallucinogen, LSD, PCP, or Ecstasy only once. Respondents who initiated use of any hallucinogen more than 12 months ago by definition are not past year initiates of hallucinogen use, even if they initiated use of LSD, PCP, or Ecstasy in the past year.
A similar issue applies to initiation estimates for the aggregate substance use categories for any illicit drug, any prescription psychotherapeutic drug, tranquilizers or sedatives (i.e., as a combined category), benzodiazepines, and opioids (i.e., heroin or prescription pain relievers). Individuals who first misused prescription stimulants in the past 12 months but who first misused prescription pain relievers more than 12 months prior to the interview date would be past year initiates for the misuse of stimulants. These individuals would not be past year initiates for the misuse of prescription psychotherapeutic drugs or any illicit drug because they had already misused pain relievers more than 12 months ago. Because of the potential for respondents to underreport lifetime (but not past year) misuse of prescription psychotherapeutic drugs (see the section below for the initiation of misuse of prescription psychotherapeutic drugs), however, lifetime (but not past year) misusers of prescription drugs could be misclassified as past year initiates for any illicit drug or other aggregate substance use categories (e.g., opioids) if they reported past year initiation of another illicit drug (e.g., heroin) but failed to report their lifetime misuse of a prescription psychotherapeutic drug (e.g., pain relievers). For this reason, the 2018 detailed tables do not show initiation estimates for any illicit drug, any prescription psychotherapeutic drug, opioids, benzodiazepines, or the aggregate category for tranquilizers or sedatives.
In addition to estimates of the number of individuals initiating use of a substance in the past year, estimates can be computed for the mean age at first use among past year initiates of these substances. In detailed tables prior to 2018, estimates of the mean age at initiation in the past 12 months were restricted to people aged 12 to 49.31 The upper bound was set at age 49 so that the mean age estimates were not influenced by those few respondents who were past year initiates and were aged 50 or older. As a measure of central tendency, means are influenced heavily by the presence of extreme values in the data. Therefore, constraining the mean age estimates to past year initiates aged 12 to 49 would increase the utility of these results to health researchers and analysts by providing a better picture of the substance use initiation behaviors among the civilian, noninstitutionalized population in the United States. This constraint was applied only to estimates of the mean age at first use in detailed tables prior to 2018 and did not affect estimates of the numbers of new users or associated percentages (e.g., the percentage of past year users who initiated use in the past year).
Although past year initiates aged 26 to 49 are assumed not to be as likely as past year initiates aged 50 or older to influence mean ages at first use, caution still is advised in interpreting trends in these means prior to 2018. Sampling error in initiation estimates for individuals aged 26 to 49 can affect year-to-year interpretation of trends (see Section 3.2). For data in 2002 to 2017 and any estimation of means since 2018, therefore, a review of substance initiation trends across a larger range of years is especially advised for this age group. See Section B.4.1 in Appendix B of the 2013 national findings report for further discussion of data on trends for past year initiates aged 26 to 49 (CBHSQ, 2014d).
Beginning with the 2015 NSDUH, respondents were asked about the initiation of misuse of prescription psychotherapeutic drugs only for the individual prescription drugs that they had misused in the past 12 months (see Section C in the methodological summary and definitions report for the 2015 NSDUH; CBHSQ, 2016b). An important consideration in the redesign of the prescription drug initiation questions was that prior to 2015, asking respondents to recall their first misuse of any prescription drug in an overall category (e.g., pain relievers) required them to think about the prescription drugs that were available when they initiated misuse. However, some of these drugs may no longer have been available when respondents were interviewed.
If respondents since 2015 reported that they first misused one or more prescription drugs at an age or in a year and month that was more than 12 months prior to the interview date, they logically were not past year initiates for misuse of any drug in that psychotherapeutic category (e.g., pain relievers). If respondents reported only past year initiation of the drugs that they misused in the past 12 months, they were asked a follow-up question to determine whether they ever misused any drug in that category more than 12 months prior to the interview.32 Therefore, unlike the situation for other substances in NSDUH (see below), respondents' statuses as past year initiates of misuse of any prescription drug in an overall category was determined principally through their answers to the relevant follow-up question.
If respondents answered the follow-up question as "yes," then they were defined as not being past year initiates for the overall category; the affirmative response indicated that respondents had misused one or more other drugs in the category more than 12 months ago. Respondents who answered the follow-up question as "no" were defined as past year initiates for the overall category; the negative response indicated that these respondents did not misuse any other drug in that category more than 12 months ago. If respondents answered the follow-up question on initiation as "don't know" or "refused," then their status as a past year initiate (or not) was resolved through imputation (see Section 2.3.3).
Because of this question structure for identifying individuals who initiated misuse of any psychotherapeutic drug in a given category in the past year, measures of the age and date of first misuse of any psychotherapeutic drug in that category were created only for respondents who were past year initiates. If past year initiates had no missing data for the age, year, and month when they first misused any drug in that category, then the age, year, and month of first misuse logically were assigned from the earliest reports.33 If past year initiates did not know or refused to report the age when they first misused some drugs in that category but they reported first misuse of at least one psychotherapeutic drug in the category at the age that was 1 year younger than their current age, then it nevertheless could be logically inferred that this was the age when these past year initiates first misused any drug in that category. Similarly, if past year initiates did not know or refused to report the year when they first misused some drugs in that category but they reported first misuse of at least one psychotherapeutic drug in the previous calendar year (e.g., 2017 for respondents in the 2018 NSDUH), then it could be logically inferred that respondents initiated misuse of any drug in that category in the previous calendar year. If it was not possible to assign a definite age, year, and month of first misuse for a past year initiate based on the respondent's questionnaire data, then these values were assigned through imputation.
The total number of past year initiates of misuse of any psychotherapeutic drug in a category can be used in the estimation of percentages among (1) all individuals in the population (or all individuals in a subgroup of the population, such as individuals in a given age group) and (2) individuals who were past year users of the substance. The 2018 NSDUH detailed tables show estimates for these two percentages. Because of the change in focus beginning with the 2015 NSDUH questions for specific psychotherapeutic drugs from the lifetime to the past year period (see Section 3.4.1), respondents who last misused any prescription psychotherapeutic drug in a category more than 12 months ago may underreport misuse, especially if they are not presented with examples of drugs that formerly were available by prescription in the United States but are no longer available. These respondents who did not report misuse that occurred more than 12 months ago would be misclassified as still being "at risk" for initiation of misuse of prescription drugs in that psychotherapeutic category (i.e., individuals who initiated misuse more than 12 months ago are no longer at risk for initiation). For this reason, the 2018 detailed tables do not show percentages for initiation of misuse of psychotherapeutic drugs among individuals who were at risk for initiation.
For substances other than prescription psychotherapeutic drugs (i.e., cigarettes, smokeless tobacco, cigars, alcohol, marijuana, cocaine, crack cocaine, heroin, hallucinogens, inhalants, and methamphetamine), past year initiation of a given substance in the past year can be viewed as an indicator variable defined as follows:
, D
where (MM/DD/YYYY)Interview denotes the month, day, and year of the interview, and (MM/DD/YYYY)First Use of Substance denotes the date of first use. The total number of past year initiates can be used in the estimation of different percentages. For these substances, denominators for the percentages vary according to whether rates are being estimated for (1) all individuals in the population (or all individuals in a subgroup of the population, such as individuals in a given age group), (2) individuals who are at risk for initiation because they have not used the substance of interest prior to the past 12 months, or (3) past year users of the substance. The detailed tables show all three of these percentages.
Because NSDUH is a survey of people aged 12 years old or older at the time of the interview, younger individuals in the SDUs are not eligible for selection into the NSDUH sample. Some of these younger individuals may have initiated substance use during the past year. As a result, past year initiation estimates suffer from undercoverage if a reader assumes that these estimates reflect all initial users instead of reflecting only those above the age of 11. For substance use estimates in 2018 that are comparable with those from earlier years,34 data can be obtained retrospectively based on the age at and date of first use. As an example, individuals who were 12 years old on the date of their interview in the 2018 survey may report having initiated use of cigarettes between 1 and 2 years ago; individuals such as these would have been defined as past year initiates in the 2017 survey had individuals who were 11 years old on the date of the 2017 interview been allowed to participate in the survey. Similarly, estimates of past year use by individuals aged 10 or younger can be derived from the current survey, but they apply to initiation in prior years and not the survey year.
To get a rough estimate of the potential undercoverage in the current year, reports of substance use initiation reported by individuals aged 12 or older were estimated for the years in which these individuals would have been 1 to 11 years younger. These estimates do not necessarily reflect behavior by individuals 1 to 11 years younger in the current survey. Instead, the data for the 11 year olds reflect initiation in the year prior to the current survey, the data for the 10 year olds reflect behavior between the 12th and 23rd months prior to this year's survey, and so on. A crude way to adjust for the difference in the years that the estimate pertains to without considering changes in the population is to apply an adjustment factor to each age-based estimate of past year initiates. This adjustment factor can be based on a ratio of lifetime users aged 12 to 17 in the current survey year to the same estimate for the prior applicable survey year.
To illustrate the calculation, consider past year use of alcohol in 2017 based on data from the 2018 NSDUH. In 2018, an unrounded estimate of 4,878,386 individuals aged 12 or older initiated alcohol use in the past year. An estimated 52,597 individuals in 2018 were 12 years old and initiated use of alcohol between 1 and 2 years earlier. These individuals would have been past year initiates in the 2017 survey conducted on the same dates had the 2017 survey covered younger people. The estimated number of lifetime alcohol users currently aged 12 to 17 was 6,551,230 for 2018 and 6,765,320 for 2017. Thus, an adjusted estimate of initiation of alcohol use by individuals who would have been 11 years old in 2018 is given by
. D
This formula yielded an adjusted estimate of 50,933 individuals in 2018 who initiated the use of alcohol in the past year but would have been 11 years old:
. D
A similar procedure was used to adjust the estimated number of past year initiates among individuals who would have been 10 years old on the date of the interview in 2016 and for younger individuals in earlier years. The overall adjusted estimate for past year initiates of alcohol use by individuals 11 years of age or younger on the date of the interview was 128,660. Therefore, if NSDUH captured information on past year initiation of alcohol use among individuals of all ages, then 5,007,046 individuals would be estimated to have initiated alcohol use in the past year (i.e., 4,878,386 + 128,660 = 5,007,046). About 2.6 percent of this adjusted number of past year initiates would be aged 11 or younger (128,660 ÷ 5,007,046 = 0.02570 × 100). Based on similar analyses, about 2.0 percent of past year initiates of cigarette use and 0.8 percent of past year initiates of marijuana use in 2018 could be assumed to be aged 11 or younger.
The undercoverage rates remained consistent from 2013 to 2018 for these three substances. From 2013 to 2018, the estimated undercoverage of past year initiates ranged from 2.3 to 3.5 percent for alcohol, from 2.0 to 2.7 percent for cigarettes, and from 0.7 to 1.2 percent for marijuana. Stated another way, interviewing respondents aged 12 or older for NSDUH would be expected to capture data for about 96 to 98 percent of people of all ages in the civilian, noninstitutionalized population of the United States who initiated alcohol use in the past year, about 97 to 98 percent of all past year initiates of cigarette use, and about 99 percent of all past year initiates of marijuana use.
Historically, however, interviewing respondents aged 12 or older would fail to cover a sizable proportion of the individuals aged 11 or younger who initiated the use of inhalants in the past year. In 2013 and 2014, for example, the estimated rates of undercoverage of past year initiates of inhalants who would have been aged 11 or younger were 13.4 and 19.7 percent, respectively. However, using data from 2014 and earlier years to estimate the undercoverage of past year initiates aged 11 or younger for inhalants poses difficulties because changes to the questions for inhalants in the 2015 survey affected the comparability of 2015 estimates with those from earlier years.
For 2018, the formula described previously in this section can be used to adjust the estimated number of past year initiates among individuals who would have been 11 years old on the date of the interview in 2017, 10 years old on the date of the interview in 2016, and 9 years old on the date of the interview in 2015 because the data for inhalants are comparable from 2015 and forward. However, attempting to adjust the estimated number of initiates of inhalants who would have been 8 years old or younger on interview dates in 2014 or earlier years would require the use of initiation data that are not comparable with the data from 2015 to 2018. Nevertheless, retrospective data from 2015 to 2018 suggest that if NSDUH had surveyed respondents aged 9 or older (i.e., instead of aged 12 or older), then the estimated number of past year initiates of inhalants in 2018 would have increased from the published estimate of about 576,000 initiates aged 12 or older to about 736,000 initiates aged 9 or older. Thus, if the 2018 NSDUH had covered the population aged 9 or older instead of the population aged 12 or older, then more than one fifth of an estimated 736,000 past year initiates of inhalant use in 2018 (21.7 percent) would have been aged 9 to 11.
The undercoverage of past year initiates aged 11 or younger also has a small effect on mean age at first use estimates for alcohol, cigarettes, and marijuana.35 An adjusted estimate of the mean age at first use was calculated using a weighted estimate of the mean age at first use based on the current survey and the numbers of individuals aged 11 or younger in the past year obtained in the previously mentioned analysis for estimating undercoverage of past year initiates. Analysis results on 2018 data showed that the mean ages at first use among past year initiates aged 49 or younger would change from 17.4 to 17.1 years for alcohol, from 18.6 to 18.3 years for cigarettes, and from 19.4 to 19.3 years for marijuana when the data are adjusted to include assumed initiates who were aged 11 or younger.
The undercoverage of past year initiates of inhalant use aged 11 or younger notably affects mean age at first use estimates for inhalants. Analysis results based on the 2014 data that took into account the undercoverage of all potential initiates aged 11 or younger (i.e., not just potential initiates aged 9 to 11) showed that the mean age at first use for inhalants in 2014 among past year initiates 49 or younger would have changed from 18.2 to 16.5 years. An adjusted estimate of the mean age at first use for inhalants among past year initiates aged 9 to 49 was calculated for 2018 using a weighted estimate of the mean age at first use among initiates aged 12 to 49 based on the current survey data and the expected number of initiates aged 9 to 11 years old based on the previously mentioned analysis for estimating undercoverage of past year initiates. Analysis results for 2018 data indicated that if individuals aged 9 or older had been eligible for the survey, the mean age at first use among past year initiates aged 9 to 49 would have changed from 18.0 to 16.2 years for inhalants.
The NSDUH questionnaire included questions that were designed to measure dependence on nicotine (i.e., cigarettes) and dependence or abuse for alcohol and illicit drugs. The latter also are referred to as SUDs.
For nicotine (cigarettes), questions pertaining to dependence were based on the Nicotine Dependence Syndrome Scale (NDSS; Shiffman, Hickcox, Gnys, Paty, & Kassel, 1995; Shiffman, Waters, & Hickcox, 2004) and the Fagerstrom Test of Nicotine Dependence (FTND; Fagerstrom, 1978; Heatherton, Kozlowski, Frecker, & Fagerstrom, 1991). These scales were first used to measure nicotine dependence in NSDUH in 2003.36
To identify patterns of nicotine (cigarette) dependence within the 2018 NSDUH data, questions measured dependence on nicotine through the use of cigarettes. Respondents were defined as being dependent if they met either the NDSS or the FTND classifications for dependence. The 2018 NSDUH contained 19 NDSS questions that addressed five aspects of dependence: (1) smoking drive (compulsion to smoke driven by nicotine craving and withdrawal), (2) nicotine tolerance, (3) continuous smoking, (4) behavioral priority (preferring smoking over other reinforcing activities), and (5) stereotypy (fixed patterns of smoking). The 2018 NSDUH contained two mutually exclusive questions (DRCGE19a and DRCGE19b) that address the FTND measure of dependence. These questions ask respondents who reported smoking cigarettes in the past month if the first cigarette they smoked was within 30 minutes of waking up on the days that they smoked.
Dependence and abuse questions for alcohol and illicit drugs were based on the criteria in the Diagnostic and Statistical Manual of Mental Disorders, 4th edition (DSM-IV; American Psychiatric Association [APA], 1994). Illicit drugs include marijuana, cocaine, heroin, hallucinogens, inhalants, methamphetamine, and the misuse of prescription psychotherapeutic drugs (i.e., pain relievers, tranquilizers, stimulants, and sedatives).
The NSDUH instrument included items that asked about symptoms of dependence or abuse that were related to the use of a specific substance in the past 12 months. For methamphetamine, the questions were patterned after questions for cocaine dependence or abuse and were separate from questions for symptoms of dependence or abuse that were related to the misuse of prescription stimulants.
For marijuana, hallucinogens, inhalants, and tranquilizers, respondents were defined as having dependence if they met three or more of the following six dependence criteria:
For alcohol, cocaine, heroin, methamphetamine, prescription pain relievers, prescription sedatives, and prescription stimulants, a seventh withdrawal criterion was included. The seventh withdrawal criterion is defined by respondents reporting that they experienced a certain number of withdrawal symptoms that vary by substance (e.g., having trouble sleeping, cramps, hands tremble). Respondents were defined as having dependence if they met three or more of seven dependence criteria for these substances.
For each illicit drug and alcohol, respondents were defined as having abused that substance if they met one or more of the following four abuse criteria and did not meet the criteria mentioned above for dependence on the respective substance in the past year (i.e., because dependence takes precedence over abuse in the DSM-IV criteria):
Criteria that were used to determine whether a respondent was asked the SUD questions for alcohol or illicit drugs during the interview included the questions that established whether respondents used a given substance in the past year (or misused pain relievers, tranquilizers, stimulants, or sedatives in that period), the frequency of substance use questions (for alcohol and marijuana only), questions about the use of cocaine, heroin, or methamphetamine with a needle in the past year, and questions about smoking or sniffing heroin in the past year. Missing or incomplete responses from the respective substance use sections for the most recent use (or misuse) of these substances and the frequency of substance use questions were imputed. Missing or incomplete responses were not imputed for the use of cocaine, heroin, or methamphetamine with a needle or for smoking or sniffing heroin.
Because of changes to the questions for hallucinogens, inhalants, methamphetamine, and prescription pain relievers, tranquilizers, stimulants, and sedatives in 2015 (see Section C in the 2015 NSDUH methodological summary and definitions report; CBHSQ, 2016b), a new baseline in 2015 was established for the SUD measures for these substances. Beginning with the 2015 NSDUH, new imputation procedures were established for these SUD measures using the modified predictive mean neighborhoods (modified PMN) procedure that is described in Section 2.3.3 of this report. Because the SUD variables for these substances were imputed, these variables were not subject to the kinds of potential biases due to missing data that were described in Section 3.3.2. Also, because the SUD variables for pain relievers, tranquilizers, stimulants, and sedatives were imputed, the SUD variables for any prescription psychotherapeutic drug had no missing data.
Imputation of the SUD data for these substances reflected imputation of the data for the corresponding substance use sections. For example, if the edited variable for the most recent use of any hallucinogen indicated use at some point in the respondent's lifetime and the respondent was imputed to be a past year user, then the SUD outcomes for hallucinogens also were imputed.
For methamphetamine, respondents were asked the SUD questions if they reported past year use in the methamphetamine section or if they reported use of methamphetamine with a needle in the special drugs section. Thus, the CAI logic allowed some respondents to be asked the SUD questions for methamphetamine even if they had not previously reported past year use in the methamphetamine section. Consequently, the imputed variable for the most recent use of methamphetamine could indicate that the respondent last used methamphetamine more than 12 months ago, but the respondent could have SUD data for methamphetamine because of reported use with a needle in the past year in the special drugs section. However, about 500 respondents in 2018 were asked the SUD questions for methamphetamine based on their report of past year use in the methamphetamine section. Fewer than 20 additional respondents were asked these questions because they reported past year use of methamphetamine with a needle in the special drugs section despite not having previously reported past year use of methamphetamine.
The method that was used to create SUD data in 2015 through 2018 for alcohol, marijuana, cocaine, and heroin was unchanged from 2014 in order to avoid disrupting SUD trends for these substances. This method involved treating missing responses to the SUD questions as being equivalent to negative responses; see Section 3.3.2 for a discussion of the potential bias in estimates because of this assumption. Very infrequently, this assumption also may result in responses to the SUD questions that are inconsistent with the imputed data for the most recent use or frequency of use for these substances.
For alcohol and marijuana, respondents were asked the SUD questions if they reported substance use on more than 5 days in the past year or if they reported any substance use in the past year but did not report their frequency of past year use (i.e., they had missing frequency data). These missing frequency data were subsequently imputed after data collection processing. Therefore, inconsistencies could have occurred where the imputed frequency of use response indicated less frequent use than required for respondents to be asked the SUD questions originally (i.e., the imputed frequency value was 5 or fewer days). For alcohol, for example, about 40,400 respondents reported past year alcohol use in 2018.37 Of these, about 100 respondents had missing frequency data and were asked the alcohol use disorder questions, but their final imputed frequency of use indicated that they used alcohol on 5 or fewer days in the past year.
As was the case for methamphetamine, respondents were asked the SUD questions for cocaine and heroin if they reported past year use in the corresponding substance use sections or if they reported use in the past year in the special drugs section (i.e., use of cocaine or heroin with a needle in the past year or smoking or sniffing of heroin in the past year). Thus, the CAI logic allowed some respondents to be asked the SUD questions for these drugs even if they did not report past year use when they were asked previously about their most recent use of cocaine, crack cocaine, or heroin. For cocaine, for example, more than 1,650 respondents in 2018 were asked the questions about cocaine use disorder because they reported past year use when asked directly about their most recent use of cocaine or crack. Fewer than 10 additional respondents were asked these questions because they reported past year use of cocaine with a needle in the special drugs section despite not having previously reported past year use of cocaine or crack.
Respondents might have provided ambiguous information about past year use of alcohol, marijuana, cocaine, or heroin, in which case these respondents were not asked the SUD questions for that substance. For example, respondents could report lifetime use of these substances but did not know or refuse to report when they last used it. In these situations, whether their lifetime use included use in the past year was unknown. Also, respondents could report that they last used these substances "more than 12 months ago" (which would make them ineligible to receive the SUD questions) but also could report first use of the substance at their current age, which would imply use at some point in the past 12 months. Subsequently, respondents in these examples or in other situations could have been imputed to be past year users of the respective substance (see Sections 2.3.2 and 2.3.3). If respondents were not asked the SUD questions based on their previous answers in the interview but were imputed to be past year users, the SUD data were unknown; thus, these respondents were classified as not having an SUD for the respective substance and were imputed using the zero fill method. That is, unknown responses were assigned to the "No/Unknown" SUD category. However, these respondents were never asked the SUD questions.
In addition, missing data for SUDs for any illicit drug and for illicit drugs other than marijuana were treated as being equivalent to negative responses. This assumption was made for these aggregate SUD variables because a similar assumption was made for SUD data for alcohol, marijuana, cocaine, and heroin; see Section 3.3.2 for a discussion of the potential bias in estimates because of this assumption.
Beginning in 2016, an opioid use disorder measure was included in the reports and data file. Respondents were classified as having a past year opioid use disorder if they had either a past year heroin use disorder (i.e., dependence or abuse) or a pain reliever use disorder related to their misuse of prescription pain relievers in the past year, or both disorders. The criteria for dependence or abuse for these substances were described previously in this section. Respondents were not counted as having opioid use disorder if they had some symptoms but did not meet the full dependence or abuse criteria individually for either heroin or prescription pain relievers; for example, respondents who met fewer than three criteria for heroin dependence and met fewer than three criteria for pain reliever dependence were not defined as having opioid dependence, regardless of whether the number of symptoms across the heroin and pain reliever dependence criteria summed to three or more.
Beginning with the 2018 NSDUH, a new SUD measure was included in the reports and data file for prescription tranquilizers or sedatives. Respondents were classified as having a past year tranquilizer or sedative use disorder if they had either a past year prescription tranquilizer use disorder or a past year prescription sedative use disorder, or both disorders. The criteria for dependence or abuse for these substances were described previously in this section. Respondents were not counted as having tranquilizer or sedative use disorder if they had some symptoms but did not meet the full dependence or abuse criteria individually for either prescription tranquilizers or prescription sedatives; for example, respondents who met fewer than three criteria for tranquilizer dependence and met fewer than three criteria for sedative dependence were not defined as having tranquilizer or sedative dependence, regardless of whether the number of symptoms across the tranquilizer and sedative dependence criteria summed to three or more.
In 1998, the Office of National Drug Control Policy (ONDCP) convened an interagency workgroup to discuss options for estimating the need for treatment as it applied to illicit drug use.38 In this meeting, it was established that treatment need could be defined by the presence of an SUD for illicit drugs. However, one concern with this definition was that a large number of individuals who received treatment may not meet the criteria for an illicit drug use disorder. Therefore, this workgroup also established that those who received treatment at a specialty facility should also be classified as needing treatment, regardless of whether they met the criteria for an illicit drug use disorder. Several years after this decision, SAMHSA convened an external expert consultant group to recommend a definition of treatment need for alcohol use. Similar to the illicit drug use treatment need definition, alcohol use treatment need was defined as the presence of an alcohol use disorder or the receipt of treatment at a specialty facility for an alcohol use problem in the past 12 months. The term "specialty facility" is defined below and in the glossary in Appendix A of this report.
Based on the recommendations of the interagency workgroup and the external expert consultant group, the need for substance use treatment is defined for NSDUH according to whether individuals were classified as needing treatment in the past year for (a) an illicit drug or alcohol use problem, (b) an illicit drug use problem, or (c) an alcohol use problem. Respondents were classified as needing substance use treatment if they met either of the following criteria:
Respondents who reported lifetime use of alcohol or illicit drugs also were asked whether they received substance use treatment in the past year at (1) a mental health facility as an outpatient, (2) an emergency room, (3) a private doctor's office, (4) a prison or jail, (5) a self-help group (e.g., Alcoholics Anonymous or Narcotics Anonymous), or (6) some other place.39 The first five of these additional locations were not considered to be specialty substance use treatment facilities. Reports of treatment in some other place were considered to be treatment in specialty substance use treatment facilities only if respondents specified a location that corresponded to one of the specialty treatment facilities mentioned above.
Respondents who used alcohol or illicit drugs in the past year were defined as not needing substance use treatment if they did not meet criteria for having an SUD in the past year and they did not report receipt of treatment in the past year at a specialty facility. In particular, past year users of alcohol or illicit drugs were defined as not needing substance use treatment if they did not meet criteria for having an SUD in the past year and they did not report substance use treatment at a specialty facility in the past 12 months but they had some missing data for SUD symptoms for alcohol, marijuana, cocaine, or heroin (see Section 3.4.3). Also see Section 3.3.2 for a discussion of the potential bias in estimates because of the assumption that respondents with missing data for SUD symptoms for alcohol, marijuana, cocaine, or heroin were assumed not to have these symptoms.
Similarly, respondents who had missing information for whether they received any treatment in their lifetime or in the past 12 months for their use of alcohol or illicit drugs were not asked the questions for receipt of substance use treatment at a specialty facility in the past 12 months and were defined as not having received treatment at a specialty facility in the past 12 months; if these respondents did not have an SUD in the past year, then they were defined as not needing substance use treatment. If respondents were not defined as having an SUD in the past year but they reported receiving treatment at a specialty facility in that period, then follow-up questions on the receipt of treatment in a given specialty location for the use of alcohol only, illicit drugs only, or both were used to establish whether respondents needed treatment specifically for their use of alcohol or for their use of illicit drugs. If these respondents had missing information for receipt of treatment at a specialty facility in the past 12 months for their use of alcohol only, illicit drugs only, or both, it could nevertheless be established that they needed treatment for their use of alcohol or illicit drugs. Also see Section 3.3.2 for a discussion of the potential bias in estimates because of missing data.
NSDUH respondents aged 12 or older who used alcohol or illicit drugs in their lifetime and reported that they did not receive substance use treatment in the past 12 months were asked whether they needed treatment for their use of alcohol or illicit drugs. Respondents who reported that they received substance use treatment in the past 12 months were asked whether they needed additional treatment for their use of alcohol or illicit drugs. Respondents who reported that they needed treatment or additional treatment in the past 12 months also were asked whether they made an effort to get treatment. If NSDUH respondents reported that they did not receive treatment for their illicit drug use or alcohol use in the past 12 months but that they needed treatment, they were asked to report the reasons they did not receive treatment. Similarly, respondents who needed additional treatment were asked to report the reasons for not receiving additional treatment.
This information is used in tables and reports to identify the percentage of individuals who needed substance use treatment but did not receive treatment at a specialty facility in the past year but who nevertheless perceived that they needed treatment. This information also is used to identify the reasons for individuals not receiving treatment at a specialty facility despite their perceiving a need for treatment. In addition, estimates are included in NSDUH reports and tables for whether individuals who needed substance use treatment perceived a need for treatment and did or did not make an effort to get treatment. As for the need for substance use treatment, respondents who had missing data for needed treatment for their use of alcohol or illicit drugs were treated as though they did not perceive the need for treatment; see Section 3.3.2 for a discussion of the potential bias in estimates because of this assumption.
Unlike the need for substance use treatment, NSDUH does not have an overall measure for whether individuals aged 12 or older needed mental health services in the past year because mental health questions differ for adults aged 18 or older and for adolescents aged 12 to 17. Also, there is no consensus on how best to define the need for mental health services. Therefore, a definition parallel to the one for the need for substance use treatment may not be appropriate for mental health services. NSDUH reports and tables present estimates of the numbers and percentages of adults aged 18 or older with AMI or SMI who received mental health services in the past year. NSDUH reports and tables also present estimates for youths and adults with a past year MDE who received treatment for depression in the past year. Respondents with missing data for whether they received mental health services in the past year or whether they had an MDE in the past year were excluded from the analyses (see Section 3.3.2).
Questions in NSDUH about the perceived need for mental health services are asked only of adults aged 18 or older. All adult respondents are asked whether they needed mental health treatment or counseling at any time in the past 12 months but did not get it, regardless of whether they reported receiving some type of mental health care in that period. Adults who reported that they needed mental health care but did not get it also are asked to report the reasons that they did not receive care. Thus, adults who received some type of mental health service in the past 12 months could still report a perceived need for services that they did not receive. Adults who received mental health services in the past 12 months also could have felt that they had some unmet need either before or after receiving the care. Adults with missing data for whether they perceived a need for mental health care but did not get it or who had missing data for their reasons for not receiving mental health care were excluded from the analyses (see Section 3.3.2).
County type is based on the "Rural-Urban Continuum Codes"40 developed by the U.S. Department of Agriculture.41 A county type measure was used starting with the 1999 NSDUH and was based on the 1993 Rural-Urban Continuum Codes. For the 2002 to 2014 NSDUHs, the county type measure was based on the 2003 Rural-Urban Continuum Codes. Starting with the 2015 NSDUH, the 2013 Rural-Urban Continuum Codes have been used. The county type measures for 2015 and later years that are defined using the 2013 Rural-Urban Continuum Codes are not comparable with the county type measures from the 2002 to 2014 NSDUHs because of the use of different census data and changes to the statistical area definitions. Because counties are defined for all NSDUH respondents, the county type measures did not have missing data.
To create the 2013 Rural-Urban Continuum Codes, all U.S. counties and county equivalents were first grouped according to their official metropolitan-nonmetropolitan status (i.e., statistical area definitions), as determined by the Office of Management and Budget (OMB) in February 2013. This grouping distinguished metropolitan counties by the population size of their metropolitan area and nonmetropolitan counties by their degree of urbanization and adjacency to a metropolitan area. The OMB determined current metropolitan status by applying population and worker commuting criteria to the results of the 2010 census and the 2006-2010 American Community Survey (ACS). No major changes were made in either the metropolitan-nonmetropolitan or urban-rural criteria between 2000 and 2010. However, the decennial census long form was eliminated in 2010, and the OMB used 5-year average commuting flow data from the 2006-2010 ACS rather than a point-in-time estimate to delineate metropolitan and micropolitan areas.
Nonmetropolitan counties in the three urban-sized categories were further subdivided by whether the county was adjacent to one or more metropolitan areas. A nonmetropolitan county was defined as adjacent if it physically adjoined one or more metropolitan areas and had at least 2 percent of its employed labor force commuting to central metropolitan counties. Nonmetropolitan counties that did not meet these criteria were classed as nonadjacent. The 2006-2010 ACS commuting flow data were also used to compute adjacency for the 2013 Rural-Urban Continuum Codes.
Metropolitan and nonmetropolitan categories were subdivided into three metropolitan and six nonmetropolitan categories, resulting in a nine-part county codification.
The OMB defined nonmetropolitan counties according to (a) the size of the population in urbanized areas within the county (i.e., a population of 20,000 or more in urbanized areas, a population of at least 2,500 but fewer than 20,000 in urbanized areas, or a population of fewer than 2,500 in urbanized areas); and (b) whether these counties were adjacent or not adjacent to a metropolitan area. For NSDUH, these nonmetropolitan categories were categorized as "urbanized," "less urbanized," and "completely rural." The terms "urbanized," "less urbanized," and "completely rural" for counties are not based on the relative proportion of the county population in urbanized areas but rather are based on the absolute size of the population in urbanized areas. For example, some counties classified as "less urbanized" had over 50 percent of the county population residing in urbanized areas, but this percentage represented fewer than 20,000 people in the county.
The mental health questions did not change for the 2018 NSDUH. However, changes were made to the mental health questions in the 2008 and 2009 NSDUH questionnaires. These changes are summarized because trends for mental health measures in NSDUH reports and tables include data from these years. The specific changes in 2008 and 2009 are described below.
For the first change, the past year K6 score in 2008 was created for each adult aged 18 or older based on responses to items regarding either the past 30 days (if adults said that they did not have any other month that was worse) or the worst month in the past 12 months. This change in questionnaire structure was evaluated to determine whether this change may have affected K6 scores and estimates of SPD that were created from the K6 items for the worst month in the past year.
The remaining changes to questions between survey years also could have affected how respondents answer questions in subsequent sections (i.e., context effects). A context effect may be said to take place when the response to a question is affected by information that is not part of the question itself. For example, the content of a preceding question may affect the interpretation of a subsequent question. A respondent also may answer a subsequent question in a manner that is consistent with responses to a preceding question if the two questions are closely related to each other.42 Therefore, the possible impact of these changes was evaluated as well.
For adults aged 18 or older, estimates of past year K6 scores and the percentage of adults with SPD based on the entire 2008 sample, as well as the WHODAS and SDS subsamples, were compared with estimates based on 2007 data. Significant differences in the mean past year K6 scores were observed between 2008 and 2007, thus suggesting a lack of comparability between the 2 years. Across each of the six items forming the past year K6 score, estimates of adults reporting that they had a given problem "none of the time" (e.g., "how often felt restless in worst month") were higher in 2008 based on the full sample of adults compared with the estimates for 2007. The estimate of past year SPD was slightly lower from the full sample of adults in 2008 than in 2007.
The split-sample design in 2008 for adults (item 2 above) affected reporting of MDE, depending on whether adult respondents received the WHODAS or SDS. Both lifetime and past year MDE estimates based on the WHODAS half sample were lower than corresponding estimates from 2007. In turn, lifetime and past year MDE estimates based on the entire sample in 2008 were lower than corresponding estimates from 2007. However, estimates of lifetime and past year MDE based on the SDS half sample in 2008 were not significantly different from the estimates in 2007. Also, the estimate of past year MDE in 2008 based on the WHODAS half sample was lower than the estimate based on the SDS half sample.
Therefore, CBHSQ decided to publish estimates of adult MDE in 2008 that were based on the half sample of adults who received the WHODAS because it was decided that the WHODAS would be retained in subsequent surveys. However, subsequent adjustment procedures were developed for adult MDE from the SDS half sample to allow data from all adult respondents in 2008 to be used for estimating MDE among adults. These adjustment procedures are described further in Section 3.4.8 in this report.
Administration of the WHODAS or SDS in 2008 did not appear to differentially affect responses to the questions for adults about suicidal thoughts and behavior that also were added in 2008. Therefore, further investigation was not done to examine the effects on estimates of suicidal thoughts and behavior in 2009 due to the removal of the SDS items.
The changes to the YMHSU section (item 3) in 2009 could have affected how adolescents answered the items at the beginning of the adolescent depression section (i.e., due to context effects). The adolescent depression section follows the YMHSU section for youths. In turn, changes in youths' answers to these introductory adolescent depression items could affect estimates of adolescent MDE.
Adolescents aged 12 to 17 could be asked up to three questions (YDS21, YDS22, and YDS23) to determine whether they should be asked further questions about lifetime and past year MDE. All adolescents were asked question YDS21: "Have you ever in your life had a period of time lasting several days or longer when most of the day you felt sad, empty, or depressed?" Those who did not answer question YDS21 as "yes" then were asked question YDS22: "Have you ever had a period of time lasting several days or longer when most of the day you felt very discouraged or hopeless about how things were going in your life?" Youths who did not answer either question YDS21 or YDS22 as "yes" then were asked question YDS23: "Have you ever had a period of time lasting several days or longer when you lost interest and became bored with most things you usually enjoy, like work, hobbies, and personal relationships?" Any adolescent who gave an affirmative answer in questions YDS21, YDS22, or YDS23 then was administered additional depression-related items that also were used to determine lifetime and past year MDE.
The effects of these changes to the YMHSU section on subsequent reports in the adolescent depression section were investigated using data from the first 6 months of the 2009 NSDUH. This analysis sought to determine whether changes in the YMHSU section affected responses to the first three adolescent depression questions and the lifetime and past year MDE estimates. To assess whether any difference in estimates between 2008 and 2009 could be due to more than just true changes in the population, comparisons between consecutive years beginning in 2005 also were carried out. For consistency with the 2009 data, comparisons were limited to the first 6 months of data from other survey years.
The changes to the YMHSU section in 2009 did not appear to affect estimates for the variables based on the lead adolescent depression questions or estimates of adolescent MDE between 2008 and 2009. None of the differences in estimated responses to the three lead adolescent MDE items or estimates of adolescent lifetime and past year MDE between 2008 and 2009 was statistically significant. No apparent trend was observed between 2005 and 2009 for the lifetime and past year MDE estimates or for the variable corresponding to question YDS23. Therefore, it was determined that the youth depression items could continue to be compared between 2009 and prior years.
The 1992 Alcohol, Drug Abuse, and Mental Health Administration Reorganization Act that created SAMHSA also required SAMHSA to develop a definition and methodology for estimating SMI among adults for use by states in developing their plans for use of block grant funds distributed by SAMHSA. SAMHSA convened a technical advisory group that developed a definition of SMI, which was published in the Federal Register in 1993 (SAMHSA, 1993):
Pursuant to Section 1912(c) of the Public Health Service Act, as amended by Public Law 102-321, "adults with serious mental illness" are defined as the following:
In NSDUH reports prior to 2004, the K6 psychological distress scale was used to measure SMI. In 2004, yearly estimation of SMI ceased temporarily because of concerns about the validity of using only the K6 distress scale to measure SMI without including a functional impairment scale (see Section B.4.4 of Appendix B in the 2004 NSDUH national findings report [OAS, 2005] for a discussion). In December 2006, a new technical advisory group was convened by SAMHSA's OAS (which later became CBHSQ) and the Center for Mental Health Services to solicit recommendations for data collection strategies to address SAMHSA's legislative requirements.
Although it was recognized that the ideal way to estimate SMI in NSDUH would be to administer a clinical diagnostic interview annually to all 45,000 adult respondents, this approach was not feasible because of constraints on the interview time and the need for trained mental health clinicians to conduct the interviews. Therefore, the approach recommended by the technical advisory group and adopted by SAMHSA for NSDUH was to utilize short scales in the NSDUH interview that separately measure psychological distress and functional impairment for use in a statistical model that predicts whether a respondent had mental illness. To accomplish this, SAMHSA's CBHSQ initiated a Mental Health Surveillance Study (MHSS) in 2007 as part of NSDUH to develop and implement methods to estimate SMI. Models using the short scales for psychological distress and impairment to predict mental illness status were developed from a subsample of adult respondents who had completed the NSDUH interview and were administered a clinical psychological diagnostic interview. For the clinical interview data, individuals were defined as having SMI if they had a diagnosable mental, behavioral, or emotional disorder in the past 12 months, other than a developmental disorder or SUD, that met DSM-IV criteria (APA, 1994) and resulted in substantial functional impairment. This estimation methodology was implemented in the 2008 NSDUH.
A randomly selected subsample of approximately 1,500 adults in 2008 who had completed the NSDUH interview was recruited for a follow-up clinical interview consisting of a diagnostic assessment for mental disorders.43 Also, in order to determine the optimal scale for measuring functional impairment in NSDUH, a split-sample design was incorporated into the full 2008 NSDUH data collection. Roughly half of the adult respondents were assigned to receive an abbreviated eight-item version of the WHODAS (Novak, Colpe, Barker, & Gfroerer, 2010), and the other half were assigned to receive the SDS (Leon, Olfson, Portera, Farber, & Sheehan, 1997).
Weighted logistic regression models that predicted mental illness were developed for each half sample using the data from the subsample of MHSS respondents. The short scales (the K6 in combination with the WHODAS or the K6 in combination with the SDS) were used as predictors in models of mental illness assessed via the clinical interviews. The model parameter estimates then were used to predict SMI in the full 2008 NSDUH sample. For more detailed information on the 2008 MHSS design and analysis, see Colpe, Epstein, Barker, and Gfroerer (2009) and OAS (2009a). Information about the 2008 model is available in Appendix B of the 2012 mental health findings report (CBHSQ, 2013b).
Based on an analysis of the 2008 MHSS data, it was determined that the WHODAS was the better predictor of SMI and that this scale would be used in combination with the K6 scale to predict SMI. It also was decided that the WHODAS would continue to be administered as the sole impairment scale in the 2009 and subsequent NSDUHs (OAS, 2009a). This model that had been developed using the 2008 data (subsequently referred to as the "2008 model") was used in the 2008 through 2011 NSDUHs to produce a predicted probability of having SMI for each clinical interview respondent.
Based on the accumulated MHSS clinical data that were collected from 2008 to 2012, however, SAMHSA determined that the 2008 model had some important shortcomings that had not been detected in the original model fitting because of the small number of respondents in the 2008 clinical sample. Specifically, estimates of SMI and AMI among young adults based on the NSDUH main study data and prediction model were higher than the estimates for this age group based on the clinical interview data. In addition, improvements were needed in the weighting procedures for the MHSS clinical data to account better for undercoverage and nonresponse (i.e., because only NSDUH respondents who answered their surveys in English were eligible for the clinical follow-up and because individuals with mental illness appeared to be more likely to participate in the follow-up). Therefore, using the combined 2008 to 2012 clinical data, SAMHSA fit a more accurate model for the 2012 estimates with revised weights (subsequently referred to as the "2012 model"). In particular, to reduce bias and improve prediction, additional mental health-related variables and an age variable were added in the 2012 model. In addition, to protect against potential coverage and nonresponse error, alternatives for the weights were applied to the clinical sample data for the model development. To provide consistent data for trend assessment, mental illness estimates for 2008 to 2011 were revised using the new 2012 model. The 2012 model has been used for all NSDUH mental illness estimates since 2012.
The next sections describe the instruments and items used to measure the variables employed in the 2012 model. Specifically, the instrument used to measure mental illness in the clinical interviews is described, followed by descriptions of the scales and items in the main NSDUH interviews that were used as predictor variables in the model (e.g., the K6 and WHODAS total scores, age, and suicidal thoughts).44 Next, procedures for the MHSS clinical interview sampling and weighting and for developing the 2012 model are described. The final subsection in Section 3.4.7 discusses SEs for the mental illness estimates based on the 2012 model.
Mental illness was measured in the MHSS clinical interviews using an adapted version of the SCID (First et al., 2002) and was differentiated by the level of functional impairment based on the Global Assessment of Functioning (GAF) scale (Endicott, Spitzer, Fleiss, & Cohen, 1976). Past year disorders that were assessed through the SCID included mood disorders (e.g., MDE, manic episode); anxiety disorders (e.g., panic disorder, generalized anxiety disorder, posttraumatic stress disorder); eating disorders (e.g., anorexia nervosa); intermittent explosive disorder; and adjustment disorder. In addition, the presence of psychotic symptoms was assessed. SUDs also were assessed, although these disorders were not used to produce estimates of mental illness.
The SCID and the GAF in combination were considered to be the "gold standard" for measuring mental illness.
The K6 in the main NSDUH interview consists of two sets of six questions that asked adult respondents how frequently they experienced symptoms of psychological distress during two different time periods: (1) during the past 30 days and, (2) if applicable, the one month in the past year when they were at their worst emotionally. Respondents were asked about the second time period only if they indicated that there was a month in the past 12 months when they felt more depressed, anxious, or emotionally stressed than they felt during the past 30 days.
The six questions in the K6 scale for the past month are as follows:
Response categories are the same for the remaining questions shown below.
In the 2018 NSDUH data, all adult respondents with item nonresponse for psychological distress items (based on the K6 distress scale) had their scores assigned as zeros. In particular, respondents who reported in the K6 questions that they had all six symptoms of psychological distress "none of the time" in the past 30 days or their worst period in the past 12 months (if applicable) were defined as not having psychological distress. Similarly, if respondents answered some of the K6 questions as "don't know" or "refused" and the remainder as "none of the time" (i.e., with no indication of having symptoms at least a little of the time), then these respondents were defined as not having psychological distress. Of the more than 50,900 final adult respondents in the 2018 NSDUH, roughly 790 had at least one of the six past month K6 item scores missing.45 Of those, about 280 had all six item scores missing. As a result of assigning zeros to the K6 scores when respondents answered the questions as "don't know" or "refused," there were no missing values in the 2018 survey for measures of adult SMI and other mental illness measures that were created from a model that included the K6 scores. However, the missing data issues that were described in Section 3.3.2 applied to the K6 scores.
To create a score, the six items (NERVE30, HOPE30, FIDG30, NOCHR30, EFFORT30, and DOWN30) on the K6 scale were recoded from 0 to 4 so that "all of the time" was coded as 4, "most of the time" as 3, "some of the time" as 2, "a little of the time" as 1, and "none of the time" as 0. As noted previously, responses of "don't know" and "refused" also were coded as 0. Summing across the transformed responses in these six items resulted in a score with a range from 0 to 24.
If respondents were asked about a month in the past 12 months when they felt more depressed, anxious, or emotionally stressed than they felt during the past 30 days, they were asked comparable K6 items for that particular month in the past 12 months. The scoring procedures for these K6 items for the past 12 months were the same as those described previously for the past 30 days. The higher of the two K6 total scores for the past 30 days or past 12 months was used both for MHSS analysis purposes and in the adult respondents' final data.
An alternative K6 total score was created in which K6 scores of less than 8 were recoded as 0. A score of 8 was recoded as 1, a score of 9 was recorded as 2, and so on, until a score of 24 was recoded as 17. The rationale for creating the alternative past year K6 score was that SMI prevalence typically was extremely low for respondents with past year K6 scores of less than 8, and the prevalence rates started increasing only when scores were 8 or greater. This alternative K6 score was used in both the 2008 and 2012 SMI prediction models.
An initial step of the MHSS was to modify the WHODAS for use in a general population survey, including making minor changes to question wording and reducing its length (Novak, 2007). That is, a subset of 8 items was found to capture the information represented in the full 16-item scale with no significant loss of information.
Respondents who were not administered the WHODAS because their total K6 score was zero were assigned a zero value for the individual WHODAS items. This includes respondents who reported in the K6 questions that they had all six symptoms of psychological distress "none of the time" in the past 30 days or their worst period in the past 12 months (if applicable) or who answered some of the K6 questions as "don't know" or "refused" and the remainder as "none of the time" (i.e., with no indication of having symptoms at least a little of the time).
Approximately 11,200 respondents were skipped out of the WHODAS questions in 2018 because the sum of all imputation-revised K6 item scores46 was zero. Of these respondents who were skipped out of the WHODAS questions because of a zero total K6 score, slightly more than 10,800 responded to all of the K6 items. Of the approximately 39,700 final adult respondents who were asked the WHODAS questions in the 2018 NSDUH, about 520 had at least one of the eight WHODAS item scores missing, and slightly fewer than 150 had all eight item scores missing. As a result of assigning zeros to the WHODAS scores when respondents answered the questions as "don't know" or "refused" or because of missing data in the K6 items, there were no missing values in the 2018 survey for measures of adult SMI and other mental illness measures that were created from a model that included the WHODAS scores. However, the missing data issues that were described in Section 3.3.2 applied to the WHODAS scores.
The eight WHODAS items that were included in the main NSDUH interview were assessed on a 0 to 3 scale, with responses of "no difficulty," "don't know," and "refused" coded as 0; "mild difficulty" coded as 1; "moderate difficulty" coded as 2; and "severe difficulty" coded as 3. Some items had an additional category for respondents who did not engage in a particular activity (e.g., they did not leave the house on their own). Respondents who reported that they did not engage in an activity were asked a follow-up question to determine if they did not do so because of emotions, nerves, or mental health. Those who answered "yes" to this follow-up question were subsequently assigned to the "severe difficulty" category; otherwise (i.e., for responses of "no," "don't know," or "refused"), they were assigned to the "no difficulty" category. Summing across these codes for the eight responses resulted in a total score with a range from 0 to 24. More information about scoring of the WHODAS can be found in the 2017 NSDUH public use file and codebook (CBHSQ, 2018e).
An alternative WHODAS total score was created in which individual WHODAS item scores of less than 2 were recoded as 0, and item scores of 2 to 3 were recoded as 1. The individual alternative item scores then were summed to yield a total alternative score ranging from 0 to 8. Creation of an alternative version of the WHODAS score was based on the assumption that a dichotomous measure dividing respondents into two groups (i.e., severely impaired vs. less severely impaired) might fit better than a linear continuous measure in models predicting SMI. This alternative WHODAS score was the variable used in both the 2008 and 2012 SMI prediction models.
In addition to the K6 and WHODAS scales, the 2012 model included the following measures as predictors of SMI: (1) serious thoughts of suicide in the past year, (2) having a past year MDE, and (3) age. The first two variables were added to the model to decrease the error rate in the predictions (i.e., the sum of the false-negative and false-positive rates relative to the clinical interview results). A recoded age variable reduced the biases in estimates for particular age groups, especially 18 to 25 year olds.
Since 2008, all adult respondents in NSDUH have been asked the following question about serious thoughts of suicide: "At any time in the past 12 months, that is from [DATEFILL] up to and including today, did you seriously think about trying to kill yourself?"47 Definitions for MDE in the lifetime and past year periods are discussed in Section 3.4.8. For the modeling, adult respondents who had missing data for whether they had serious thoughts of suicide or for having a past year MDE were treated as being equivalent to negative responses (i.e., no serious thoughts of suicide or not having a past year MDE).48 The missing data issues that were described in Section 3.3.2 applied to the handling of the suicide and MDE data in the model.
For respondents aged 18 to 30, an adjusted age was created by subtracting 18 from the respondent's current age, resulting in values ranging from 0 to 12. For a respondent aged 18, for example, the adjusted age was 0 (i.e., 18 minus 18), and for a respondent aged 30, the adjusted age was 12 (i.e., 30 minus 18). For respondents aged 31 or older, the adjusted age was assigned a value of 12.
The target annual respondent sample sizes for the MHSS clinical interviews were 1,500 in 2008 (750 of which received the WHODAS and were used in developing the 2008 model), 500 in 2009 and 2010, and 1,500 in 2011 and 2012. Respondent sample sizes were roughly equal across quarters.
A stratified Bernoulli selection process was used in which all eligible NSDUH respondents were given an independent probability of selection based on their strata. In 2008 and the first two quarters in 2009, stratification was based on K6 scores in an attempt to minimize the variance of the estimate for SMI prevalence. In the last two quarters in 2009, stratification attempted to minimize the variance of the AMI prevalence estimate rather than the variance of the SMI estimate. This change reduced the probability that a respondent with an extremely large weight would be selected. Starting from 2010, stratification for the MHSS sample incorporated information on functional impairment levels (WHODAS scores) and age in addition to K6 scores. Younger age groups were undersampled for the MHSS clinical sample to reverse the impact of the oversampling of younger adults aged 18 to 25 in the main survey (see Section A.1 in Appendix A in the 2012 NSDUH mental health findings report [CBHSQ, 2013b]). This resulted in a more equally allocated clinical sample by age. More details about the sample design for the MHSS clinical study can be found in the 2012 NSDUH's sample design report (CBHSQ, 2013a).
Special clinical sample analysis weights were created. Each was the product of the following seven weight components: (1) the NSDUH analysis weight; (2) a coverage adjustment for Hispanics completing the main NSDUH interview in English to account for Hispanics who completed it in Spanish and thus were not eligible for the English-language clinical follow-up interview; (3) the inverse of the selection probability for clinical follow-up; (4) a refusal adjustment to account for NSDUH respondents who were selected for the MHSS but declined to be contacted for the clinical interview; (5) another nonresponse adjustment to account for MHSS nonresponse among NSDUH respondents who had originally agreed to be recontacted for the clinical interview but did not complete the interview; (6) poststratification adjustments to reduce the variance of the resulting estimates by matching the weighted main NSDUH interview sample by age, gender, race/ethnicity, alternative K6 score, alternative WHODAS score, having had serious thoughts of suicide in the past year, and having had an MDE;49 and (7) a yearly scaling factor. The first six weight components were created separately for each year.
Separate sets of analysis weights were computed for (1) MHSS respondents from the 2008 half sample assigned to impairment questions derived from the WHODAS and (2) MHSS respondents from the half sample assigned to the alternative scale for measuring impairment based on the SDS. Only the MHSS respondents from the WHODAS half sample were used in determining and fitting the 2012 model.
The 2012 model was fit under the assumption that the relationship between SMI and the covariates of the model stayed the same from 2008 through 2012. Because the sample size, sampling allocation, and weight adjustments for the MHSS clinical samples differed across years, gains in statistical efficiency were realized by scaling the weights in each year using the following scaling factors: 12 percent for 2008, 4 percent for 2009, 14 percent for 2010, 35 percent for 2011, and 35 percent for 2012. The scaling factors were determined based on the relative sizes of the estimated variances for estimates of SMI, AMI, and past year MDE made directly from SCID diagnoses.50
The 2012 SMI prediction model was fit with data from 4,912 WHODAS MHSS respondents from 2008 through 2012. The response variable Y equaled 1 when an SMI diagnosis was positive based on the clinical interview; otherwise, Y was 0. Letting X be a vector of the characteristics attached to a NSDUH respondent and letting the probability that this respondent had SMI be
, the 2012 SMI prediction model was as follows:
where
refers to the estimate of the SMI response probability
.
These covariates in equation (1) came from the main NSDUH interview data:
= Alternative Past Year K6 Score: Past year K6 score of less than 8 recoded as 0; past year K6 score of 8 to 24 recoded as 1 to 17.
= Alternative WHODAS Score: WHODAS item score of less than 2 recoded as 0; WHODAS item score of 2 to 3 recoded as 1, then summed for a score ranging from 0 to 8.
= Serious Thoughts of Suicide in the Past Year: Coded as 1 if "yes"; coded as 0 otherwise.
= Past Year MDE: Coded as 1 if the criteria for past year MDE were met (see Section 3.4.8);51 coded as 0 otherwise.
= Adjusted Age: Coded as age minus 18 if aged 18 to 30; coded as 12 otherwise.As with the 2008 model, a cut point probability
was determined, so that if
for a particular respondent, then that respondent was predicted to be SMI positive; otherwise, the respondent was predicted to be SMI negative. The cut point (0.260573529) was chosen so that the weighted numbers of false positives and false negatives in the MHSS dataset were as close to equal as possible. The predicted SMI status for all adult NSDUH respondents was used to compute prevalence estimates of SMI.
A second cut point probability (0.0192519810) was determined so that any respondent with an SMI probability greater than or equal to the cut point was predicted to be positive for AMI, and the remainder were predicted to be negative for AMI. The second cut point was chosen so that the weighted numbers of AMI false positives and false negatives were as close to equal as possible.
Using a combination of the defined mental illness measures, additional levels of mental illness were created based on the 2012 SMI model with the clinical interview data. These additional levels include moderate mental illness (MMI) and mild (low) mental illness (LMI). Clinical interview respondents were defined as having past year MMI if they were classified as having serious or moderate mental illness (SMMI; GAF score below 6052) but were classified as not having SMI. Respondents were defined as having past year LMI if they were classified as having AMI but were also classified as not having SMMI.
Estimates of SMMI were analogously computed in the model with the SMI method; the cut point for SMMI was 0.077686285365. Estimates of LMI and MMI were derived by a process of subtraction. Respondents were classified as belonging to the MMI category if they belonged to the SMMI category but did not belong to the SMI category. Respondents were classified as belonging to the LMI category if they belonged to the AMI category but not to the SMMI category.
Beginning with the 2014 first findings reports, however, estimates for LMI and MMI were replaced with estimates for AMI without SMI; beginning with the 2015 first findings reports, this term was changed to "AMI excluding SMI." Adults with AMI excluding SMI currently or at any time in the past year have had a diagnosable mental, behavioral, or emotional disorder that resulted in less than substantial impairment in carrying out major life activities (see Appendix A in this report). Thus, adults with AMI excluding SMI had either LMI or MMI. Estimates for LMI and MMI also are no longer shown in the detailed tables starting with the 2016 NSDUH. Instead, also starting with the 2016 detailed tables, estimates for mental illness among adults are shown for AMI, SMI, and AMI excluding SMI.
In 2008, approximately half of the respondents in the adult NSDUH sample were assigned to receive questions about impairment based on the WHODAS (referred to as the 2008A sample), and the other half were assigned to receive questions based on the SDS (referred to as the 2008B sample). As noted previously, the purpose of this split sample was to determine whether the SDS or WHODAS impairment scale was a better predictor of SMI. The WHODAS scale was identified as the better predictor.
For the clinical interview respondents who had been administered the SDS in the main survey, an alternative SMI model was fit using the complete MHSS dataset of clinical interviews from 2008 through 2012. SMI, AMI, and SMMI estimates were obtained using the same cut point methodology described previously but applied to the alternative model. Mental illness estimates based on the predicted values for the 2008B sample were compared with the ones based on the 2008A sample using the 2012 model described previously. The model-based estimates from the 2008A and 2008B samples were similar, and the predicted values for the two half samples in 2008 were deemed to be comparable. For example, the AMI estimates for the 2008A and 2008B half samples were 17.69 and 17.78 percent, respectively. Therefore, the predicted values from the 2008B sample were combined with predicted values from the complete WHODAS sample for 2008A and for 2009 through 2012.
In fitting the alternative 2012 model for the SDS half sample, weights for the clinical interview respondents who had been assigned to the SDS were developed separately using the same steps as in other years. The 2008 sample of clinical interview respondents who had received WHODAS questions in NSDUH was treated as being equivalent to a sample in a different year. When data from clinical interview respondents were combined from the 2008A, 2008B, 2009, 2010, 2011, and 2012 samples, the 2008A and 2008B weights were each scaled by 6 percent (0.06). Weights for the other years were scaled as described previously.
The modified 2012 SMI prediction model for the SDS half sample was as follows:
All of the covariates in equation (2) appeared in equation (1) as well.
The estimates of the parameters of the models displayed in equations (1) and (2) are given in Table 3.6 shown at the end of this chapter.
For this report and the detailed tables, SEs for mental illness estimates (SMI, AMI, and AMI excluding SMI) were computed using the NSDUH dichotomous variable values without taking into account any variance introduced through using a model based on the clinical subsample data. This ignores the added error resulting from fitting the 2012 SMI model, which can be very large (see the 2012 MHSS design and estimation report; CBHSQ, 2014a). These conditional SEs (conditional on the model predictions being correct) are useful when making comparisons across years and across subpopulations (except those involved in modeling) within years because the errors due to model fitting are nearly the same across the estimates being compared—and, consequently, roughly cancel each other out.
There are many advantages to using the cut point methodology described in this section to predict SMI and AMI status for every adult responding to the NSDUH main survey interview. For some analyses, however, these predicted values should not be used. In particular, these predicted values should not be employed in analyses that use the mental illness variables in conjunction with variables that were used or were closely related to variables that were used in the prediction model. In particular, estimates of SMI or AMI among individuals with past year or lifetime MDE, among individuals with past year suicidal thoughts, suicide plans, or nonfatal suicide attempts, or among individuals with particular K6 or WHODAS scores should not be computed using these predicted NSDUH data for mental illness (CBHSQ, 2015a).
Beginning in 2004, sections related to major depressive episode (MDE) were included in the questionnaire. These sections, which were originally derived from DSM-IV (APA, 1994) criteria for MDE, contain questions that did not change for the 2018 NSDUH questionnaire. Consistent with the more recent criteria in the Diagnostic and Statistical Manual of Mental Disorders, 5th edition (DSM-5; APA, 2013), NSDUH does not exclude MDEs that occurred exclusively in the context of bereavement.
Questions on depression permit estimates to be calculated for the occurrence of MDE in the population and receipt of treatment for MDE. Separate sections were administered to adults aged 18 or older and youths aged 12 to 17. The adult questions were adapted from the depression section of the National Comorbidity Survey Replication (NCS-R), and the questions for youths were adapted from the depression section of the National Comorbidity Survey Replication Adolescent Supplement (NCS-A).53 To make the sections developmentally appropriate for youths, there are minor wording differences in a few questions between the adult and youth sections. Revisions to the questions in both sections were made primarily to reduce their length and to modify the NCS questions, which were interviewer-administered, to the ACASI format used in NSDUH. In addition, some revisions, based on cognitive testing, were made to improve comprehension. Furthermore, even though titles similar to those used in the NCS were used for the NSDUH sections, the results of these items may not be directly comparable. Potential differences in results are mainly due to differing modes of administration in each survey (ACASI in NSDUH vs. computer-assisted personal interviewing [CAPI] in the NCS), revisions to wording necessary to maintain the logical processes of the ACASI environment, and possible context effects resulting from deleting questions not explicitly pertinent to severe depression.
According to DSM-5, individuals are defined as having had an MDE54 in their lifetime if they had at least five or more of nine symptoms nearly every day (except where noted) in the same 2-week period, where at least one of the symptoms is a depressed mood or loss of interest or pleasure in daily activities (APA, 2013). These symptoms are as follows: (1) depressed mood most of the day; (2) markedly diminished interest or pleasure in all or almost all activities most of the day; (3) significant weight loss when not sick or dieting, or weight gain when not pregnant or growing, or decrease or increase in appetite; (4) insomnia or hypersomnia; (5) psychomotor agitation or retardation at a level that is observable by others; (6) fatigue or loss of energy; (7) feelings of worthlessness or excessive or inappropriate guilt; (8) diminished ability to think or concentrate or indecisiveness; and (9) recurrent thoughts of death or suicidality (i.e., recurrent suicidal ideation without a specific plan, making a specific plan, or making an attempt). Unlike the other symptoms listed previously, recurrent thoughts of death or suicidality did not need to have occurred nearly every day.
Respondents who have had an MDE in their lifetime are asked if, during the past 12 months, they had a period of depression lasting 2 weeks or longer while also having some of the other symptoms mentioned. Respondents reporting experiences consistent with their having had an MDE in the past year are asked questions from the SDS to measure the level of functional impairment in major life activities reported to be caused by the MDE in the past 12 months (Leon et al., 1997). Note that the responses to the SDS questions are not used as predictors of SMI in NSDUH after 2008; for more information, see Section 3.4.7.
NSDUH measures the nine symptoms associated with MDE as defined in DSM-5 with the following questions. Note that the questions shown are taken from the adult depression section of the 2018 NSDUH questionnaire. A few of the questions in the youth section were modified slightly to use wording more appropriate for youths aged 12 to 17. However, no exclusions were made for MDE caused by medication, alcohol, illicit drugs, or any medical illness.
Respondents who had missing data for whether they had an MDE in the past 12 months were excluded from the analyses to produce published estimates for the 2018 NSDUH. See Section 3.3.2 for a discussion of the potential bias in estimates because of missing data.
NSDUH also collects data on impairment using the SDS, which is a measure of impairment due to mental health issues in four major life activities or role domains. These four domains are defined separately for adults aged 18 or older and youths aged 12 to 17 to reflect the different roles associated with the two age groups. Each section consists of four questions, and each item uses an 11-point scale ranging from 0 (no interference for adults and no problems for adolescents) to 10 (very severe interference for adults and very severe problems for adolescents). The impairment score is defined as the single highest severity level of role impairment across the four SDS role domains. Ratings greater than or equal to 7 on the scale were considered severe impairment.
In addition to past year MDE, NSDUH shows estimates for past year MDE with severe impairment. Estimates for severe impairment are calculated separately for youths and adults because the four domains are slightly different for the two groups. Respondents who had missing data for impairment were excluded from the analyses to produce published estimates for MDE with severe impairment in the 2018 NSDUH. See Section 3.3.2 for a discussion of the potential bias in estimates because of missing data.
The questions pertaining to the four domains of functional impairment for adults aged 18 or older are listed below. The scale is shown below for the first domain but applies to all four domains.
The questions pertaining to the four domains of functional impairment for adolescents aged 12 to 17 are listed below. The scale is also shown below for the first domain but applies to all four domains.
Since 2004, the NSDUH questions that determine MDE have remained unchanged for both adults and youths. In the 2008 questionnaire, however, changes were made in other mental health items that precede the MDE questions (K6, suicide, and impairment) for adults. Questions also were retained in 2009 for the WHODAS impairment scale, and the questions for the SDS impairment scale were deleted; see Sections 3.4.6 and 3.4.7 of this report for further details about these questionnaire changes. The 2008 questionnaire changes affected the reporting on MDE questions among adults. Thus, adult MDE estimates for 2008 through 2018 cannot be directly compared with previously published unadjusted NSDUH adult MDE estimates based on data prior to 2008 or with unadjusted data from the 2008B half sample that is described in Section 3.4.7 of this report. See Sections B.4.4 and B.4.7 of the 2008 NSDUH's national findings report (OAS, 2009b) for a further discussion of this comparability issue. In addition, estimates of adult MDE in 2008 that were included in the 2009 mental health findings report (CBHSQ, 2010a) were based on only half of the sample (see Section 3.4.6 in this report).
To address the break in comparability of the adult MDE data beginning in 2008 and to estimate adult MDE based on the full sample of adults from 2008, adjusted versions of the lifetime and past year MDE variables for adults were created retroactively for 2005 to 2008. These variables were adjusted to make MDE estimates from the SDS half sample in 2008 and from all adult respondents for 2005 to 2007 comparable with the MDE estimates based on data from the half sample who received the WHODAS in 2008 and from all adult respondents in later years. The adjusted data from 2005 to 2008 were used in conjunction with unadjusted data from later years to estimate trends in adult MDE over the entire period from 2005 to 2018.
Specifically, a weighted logistic regression was fit for the NSDUH data from 2005 to 2009 with past year MDE as the binary dependent variable. Independent variables in this model controlled for the questionnaire differences between NSDUHs from 2005 to 2007 and NSDUHs from 2008 and 2009, as well as for the context effects associated with the SDS half sample in 2008. This model was used to compute predicted probabilities of past year MDE for each respondent. The predicted probabilities, which can have any value between 0 and 1, then were dichotomized such that each respondent was specified as having or not having MDE in the past year. Adjusted lifetime MDE estimates were similarly constructed, with the additional condition that respondents reporting past year MDE were assumed to have lifetime MDE. Details about the adjustment of the adult MDE data for 2005 to 2008 can be found in a report describing these procedures (CBHSQ, 2012a).
In addition, changes to the YMHSU section questions in 2009 that preceded the questions about adolescent depression could have affected adolescents' responses to the adolescent depression questions and estimates of adolescent MDE. As discussed in Section 3.4.6 in this report, however, these changes in 2009 did not appear to affect the estimates of adolescent MDE. Therefore, data on trends in past year MDE from 2004 to 2009 did not require adjustment for adolescents aged 12 to 17.
| Main Effects | Two-Way Interactions |
|---|---|
| Age Group | |
| 12–17 | |
| 18–25 | |
| 26–34 | |
| 35–49 | |
| 50–64 | |
| 65 or Older | |
| Collapsed Age Group Categories from Above1 | |
| Age Group × Gender | |
| Gender | (e.g., Males Aged 12 to 17) |
| Male | |
| Female | |
| Age Group × Hispanic Origin1 |
|
| Hispanic Origin |
(e.g., Hispanics or Latinos Aged 18 to 25) |
| Hispanic or Latino | |
| Not Hispanic or Latino | |
| Age Group × Geographic Region1 |
|
| Race2 |
(e.g., Individuals Aged 12 to 25 in the Northeast) |
| White | |
| Black or African American | |
| Others | Gender × Hispanic Origin |
| (e.g., Not Hispanic or Latino Males) | |
| Geographic Region |
|
| Northeast | |
| Midwest | Hispanic Origin × Race |
| South | (e.g., Not Hispanic or Latino Whites) |
| West | |
NOTE: The alternative standard error (SE) estimation method for the estimated number of individuals (totals), , is applied when the domain size estimates, , are among those forced to match their respective U.S. Census Bureau population estimates through the weight calibration process.NOTE: This table shows only the domains and domain combinations used in the first finding reports and detailed tables. Other domains and domain combinations are omitted that also use this alternative SE estimation method but are not included in these specific reports or tables. For example, methodological studies or special requests often include a wider variety of domains and survey years. This variation requires the SE method to be assessed for each individual analysis. For a detailed list of domains for NSDUH that were forced to match their respective U.S. Census Bureau population estimates through the weight calibration process, see (CBHSQ, 2019b). 1 Main effect age group categories shown in the table can be collapsed to form broader age group categories (e.g., 12 or older, 50 or older, 18 to 49, 26 to 49). Collapsed main effect age group categories and two-way interactions with other main effect demographic or geographic domains shown (e.g., males aged 50 or older) also use the alternative SE estimation method because the collapsed main effects will sum to the census totals for the category being defined. However, broader age groups that include only a subset of the main effect age groups (e.g., 12 to 20, 21 or older, 15 to 44), age groups that are finer than the main effect age groups (e.g., 12 to 13, 18 to 20), or two-way interactions of these types of collapsed age categories with other main effect domains (e.g., females aged 15 to 44) should not use the alternative SE estimation method. 2 Race is included as a main effect in this table for completeness; however, race groups presented here include all individuals within a given race category, regardless of whether they are Hispanic or not Hispanic. In contrast, all other groups presented in the detailed tables are indented underneath the "Non-Hispanic" ethnicity row heading. For example, the domain for whites in the detailed tables is actually non-Hispanic whites and is therefore a two-way interaction. Thus, any additional domains crossed with non-Hispanic whites (e.g., whites aged 18 to 25) represent three-way interactions that do not use the alternative SE estimation method. Source: SAMHSA, Center for Behavioral Health Statistics and Quality, National Survey on Drug Use and Health, 2018. |
|
| Estimate | Suppress if: |
|---|---|
Prevalence Rate, , with Nominal Sample Size, n, and Design Effect, deff,![]() |
(1) The estimated prevalence rate, , is < .00005 or > .99995, or(2) when , or when , or(3) , where , or(4) .Note: The rounding portion of this suppression rule for prevalence rates will produce some estimates that round at one decimal place to 0.0 or 100.0 percent but are not suppressed. |
Estimated Number (Numerator of ) |
The estimated prevalence rate, , is suppressed.Note: In some instances when is not suppressed, the estimated number may appear as a 0. This means that the estimate is greater than 0 but less than 500 (estimated numbers are shown in thousands). |
Mean Age at First Use, with Nominal Sample Size, n |
(1) , or(2) . |
| deff = design effect; RSE = relative standard error; SE = standard error. Source: SAMHSA, Center for Behavioral Health Statistics and Quality, National Survey on Drug Use and Health, 2018. |
|
| Final Screening Result Code | Sample Size 2017 |
Sample Size 2018 |
Weighted Percentage 2017 |
Weighted Percentage 2018 |
|---|---|---|---|---|
| TOTAL SAMPLE | 217,756 | 227,252 | 100.00 | 100.00 |
| Ineligible Cases | 33,490 | 33,796 | 15.51 | 14.92 |
| Eligible Cases | 184,266 | 193,456 | 84.49 | 85.08 |
| INELIGIBLES |
33,490 | 33,796 | 15.51 | 14.92 |
| 10 - Vacant | 17,405 | 17,974 | 50.28 | 51.02 |
| 13 - Not a Primary Residence | 7,285 | 6,966 | 24.90 | 22.83 |
| 18 - Not a Dwelling Unit | 2,195 | 2,315 | 5.78 | 6.19 |
| 22 - All Military Personnel | 326 | 356 | 0.80 | 0.97 |
| Other, Ineligible1 | 6,279 | 6,185 | 18.24 | 18.98 |
| ELIGIBLE CASES |
184,266 | 193,456 | 84.49 | 85.08 |
| Screening Complete |
138,061 | 141,879 | 75.08 | 73.30 |
| 30 - No One Selected | 68,875 | 71,457 | 36.19 | 35.80 |
| 31 - One Selected | 39,934 | 40,854 | 22.15 | 21.54 |
| 32 - Two Selected | 29,252 | 29,568 | 16.73 | 15.97 |
| Screening Not Complete |
46,205 | 51,577 | 24.92 | 26.70 |
| 11 - No One Home | 6,644 | 8,018 | 3.35 | 3.92 |
| 12 - Respondent Unavailable | 1,432 | 1,682 | 0.85 | 1.00 |
| 14 - Physically or Mentally Incompetent | 748 | 790 | 0.38 | 0.38 |
| 15 - Language Barrier - Hispanic | 186 | 265 | 0.10 | 0.15 |
| 16 - Language Barrier - Other | 1,228 | 1,349 | 0.69 | 0.74 |
| 17 - Refusal | 29,645 | 32,199 | 16.29 | 16.78 |
| 21 - Other, Access Denied2 | 6,050 | 7,026 | 3.08 | 3.59 |
| 24 - Other, Eligible | 152 | 115 | 0.13 | 0.06 |
| 27 - Segment Not Accessible | 0 | 0 | 0.00 | 0.00 |
| 33 - Screener Not Returned | 42 | 23 | 0.02 | 0.01 |
| 39 - Fraudulent Case | 77 | 110 | 0.05 | 0.07 |
| 44 - Electronic Screening Problem | 0 | 0 | 0.00 | 0.00 |
| 1 Examples of "Other, Ineligible" cases are those in which all residents lived in the dwelling unit for less than half of the calendar quarter and dwelling units that were listed in error. 2 "Other, Access Denied" includes all dwelling units to which the field interviewer was denied access, including locked or guarded buildings, gated communities, and other controlled access situations. Source: SAMHSA, Center for Behavioral Health Statistics and Quality, National Survey on Drug Use and Health, 2017 and 2018. |
||||
| Final Interview Code | 12+ Sample Size 2017 |
12+ Sample Size 2018 |
12+ Weighted Percentage 2017 |
12+ Weighted Percentage 2018 |
12-17 Sample Size 2017 |
12-17 Sample Size 2018 |
12-17 Weighted Percentage 2017 |
12-17 Weighted Percentage 2018 |
18+ Sample Size 2017 |
18+ Sample Size 2018 |
18+ Weighted Percentage 2017 |
18+ Weighted Percentage 2018 |
|---|---|---|---|---|---|---|---|---|---|---|---|---|
| TOTAL |
97,667 | 99,111 | 100.00 | 100.00 | 22,750 | 22,962 | 100.00 | 100.00 | 74,917 | 76,149 | 100.00 | 100.00 |
| 70 - Interview Complete | 68,032 | 67,791 | 67.12 | 66.56 | 17,033 | 16,852 | 75.07 | 73.85 | 50,999 | 50,939 | 66.31 | 65.83 |
| 71 - No One at Dwelling Unit | 2,163 | 2,537 | 1.99 | 2.22 | 310 | 411 | 1.25 | 1.69 | 1,853 | 2,126 | 2.06 | 2.28 |
| 72 - Respondent Unavailable | 3,033 | 3,291 | 2.97 | 3.22 | 531 | 583 | 2.31 | 2.74 | 2,502 | 2,708 | 3.04 | 3.26 |
| 73 - Break-Off | 45 | 25 | 0.08 | 0.04 | 4 | 4 | 0.01 | 0.01 | 41 | 21 | 0.08 | 0.05 |
| 74 - Physically/ Mentally Incompetent | 1,402 | 1,448 | 2.16 | 2.32 | 306 | 291 | 1.33 | 1.31 | 1,096 | 1,157 | 2.25 | 2.43 |
| 75 - Language Barrier - Hispanic | 201 | 199 | 0.19 | 0.19 | 10 | 5 | 0.05 | 0.03 | 191 | 194 | 0.20 | 0.21 |
| 76 - Language Barrier - Other | 563 | 584 | 1.11 | 1.21 | 31 | 22 | 0.18 | 0.14 | 532 | 562 | 1.20 | 1.32 |
| 77 - Refusal | 17,799 | 18,616 | 21.80 | 21.77 | 1,167 | 1,294 | 4.91 | 5.22 | 16,632 | 17,322 | 23.53 | 23.43 |
| 78 - Parental Refusal | 3,181 | 3,302 | 1.29 | 1.29 | 3,181 | 3,302 | 13.95 | 14.19 | N/A | N/A | 0.00 | 0.00 |
| 91 - Fraudulent Case | 42 | 32 | 0.05 | 0.05 | 11 | 5 | 0.06 | 0.03 | 31 | 27 | 0.05 | 0.05 |
| Other1 | 1,206 | 1,286 | 1.24 | 1.12 | 166 | 193 | 0.89 | 0.79 | 1,040 | 1,093 | 1.28 | 1.15 |
| N/A = Not applicable. 1 "Other" includes eligible person moved, data not received from field, too dangerous to interview, access to building denied, computer problem, and interviewed wrong household member. Source: SAMHSA, Center for Behavioral Health Statistics and Quality, National Survey on Drug Use and Health, 2017 and 2018. |
||||||||||||
| Demographic Characteristic | Selected Individuals 2017 |
Selected Individuals 2018 |
Completed Interviews 2017 |
Completed Interviews 2018 |
Weighted Response Rate 2017 |
Weighted Response Rate 2018 |
|---|---|---|---|---|---|---|
| TOTAL |
97,667 | 99,111 | 68,032 | 67,791 | 67.12% | 66.56% |
| AGE IN YEARS |
||||||
| 12–17 | 22,750 | 22,962 | 17,033 | 16,852 | 75.07% | 73.85% |
| 18–25 | 23,707 | 24,363 | 16,618 | 16,711 | 69.57% | 68.62% |
| 26 or Older | 51,210 | 51,786 | 34,381 | 34,228 | 65.78% | 65.39% |
| GENDER |
||||||
| Male | 48,047 | 48,706 | 32,555 | 32,419 | 65.08% | 64.65% |
| Female | 49,620 | 50,405 | 35,477 | 35,372 | 69.06% | 68.36% |
| RACE/ETHNICITY |
||||||
| Hispanic | 16,645 | 17,847 | 11,769 | 12,342 | 67.65% | 67.13% |
| White, Not Hispanic | 60,899 | 60,454 | 41,647 | 40,658 | 66.48% | 66.15% |
| Black, Not Hispanic | 10,925 | 11,252 | 8,285 | 8,431 | 73.13% | 73.10% |
| All Other Races, Not Hispanic | 9,198 | 9,558 | 6,331 | 6,360 | 62.22% | 59.17% |
| REGION |
||||||
| Northeast | 19,783 | 20,075 | 13,261 | 12,939 | 64.33% | 62.01% |
| Midwest | 23,047 | 23,438 | 15,922 | 15,932 | 67.23% | 66.96% |
| South | 31,954 | 31,929 | 22,839 | 22,817 | 69.48% | 69.90% |
| West | 22,883 | 23,669 | 16,010 | 16,103 | 65.30% | 64.24% |
| COUNTY TYPE |
||||||
| Large Metropolitan | 45,196 | 45,934 | 30,489 | 30,613 | 65.03% | 64.65% |
| Small Metropolitan | 33,391 | 34,322 | 23,792 | 23,863 | 69.38% | 68.64% |
| Nonmetropolitan | 19,080 | 18,855 | 13,751 | 13,315 | 70.56% | 69.77% |
| NOTE: Estimates are based on demographic information obtained from screener data and are not consistent with estimates on demographic characteristics presented in the 2017 and 2018 sets of detailed tables. Source: SAMHSA, Center for Behavioral Health Statistics and Quality, National Survey on Drug Use and Health, 2017 and 2018. |
||||||
| Variable | Beta | Beta SE | T Statistic | P Value | DF | Wald P Value1 |
|---|---|---|---|---|---|---|
| WHODAS Sample (2008A-2012) | ||||||
| Intercept | −5.9726640 | 0.3201 | −18.6586 | 0.0000 | ||
| Alt PY K6 | 0.0873416 | 0.0248 | 3.5247 | 0.0009 | 1 | 0.0009 |
| Alt WHODAS | 0.3385193 | 0.0349 | 9.7034 | 0.0000 | 1 | 0.0000 |
| PY Suicidal Thoughts | 1.9552664 | 0.2164 | 9.0342 | 0.0000 | 1 | 0.0000 |
| PY MDE | 1.1267330 | 0.2196 | 5.1308 | 0.0000 | 1 | 0.0000 |
| Age1830 | 0.1059137 | 0.0244 | 4.3380 | 0.0001 | 1 | 0.0001 |
| WHODAS and SDS Samples (2008–2012)2 | ||||||
| Intercept | −5.7736246 | 0.3479 | −16.5960 | 0.0000 | ||
| Alt PY K6 | 0.1772067 | 0.0190 | 9.3251 | 0.0000 | 1 | 0.0000 |
| PY Suicidal Thoughts | 1.8392433 | 0.1941 | 9.4781 | 0.0000 | 1 | 0.0000 |
| PY MDE | 1.6428623 | 0.2119 | 7.7528 | 0.0000 | 1 | 0.0000 |
| Age1830 | 0.1231266 | 0.0259 | 4.7482 | 0.0000 | 1 | 0.0000 |
| Age1830 = recoded age variable; Alt = alternative; DF = degrees of freedom; K6 = Kessler-6, a six-item psychological distress scale; MDE = major depressive episode; MHSS = Mental Health Surveillance Study; PY = past year; SDS = Sheehan Disability Scale; SE = standard error; SMI = serious mental illness; WHODAS = eight-item World Health Organization Disability Assessment Schedule. 1 The Wald p value is obtained from the overall model fitting. 2 The model is fit over the WHODAS and SDS samples in 2008–2012 but is used only to produce predictions for the 2008 SDS sample. NOTE: Alternative past year K6 score: past year K6 score of < 8 recoded as 0; past year K6 score of 8 to 24 recoded as 1 to 17. NOTE: Alternative WHODAS score: WHODAS item score of < 2 recoded as 0; WHODAS item score of 2 to 3 recoded as 1, then summed for a score ranging from 0 to 8. NOTE: Past year suicidal thought: coded as 1 if had serious thoughts of suicide in the past year; coded as 0 otherwise. NOTE: Past year MDE: coded as 1 if the criteria for past year MDE were met; coded as 0 otherwise. NOTE: Age1830: coded as age minus 18 if aged 18 to 30; coded as 12 otherwise. Source: SAMHSA, Center for Behavioral Health Statistics and Quality, National Survey on Drug Use and Health, 2008–2012. |
||||||
After marijuana, prescription psychotherapeutic drugs (prescription pain relievers, tranquilizers, stimulants, and sedatives) have historically been the second most commonly used or misused illicit drugs in the United States. In 2015 to 2017, for example, 47.7 million to 51.8 million people aged 12 or older used illicit drugs in the past 12 months, including 36.0 million to 40.9 million who used marijuana and 18.1 million to 18.9 million who misused prescription psychotherapeutic drugs. Among the people aged 12 or older in 2015 to 2017 who misused prescription psychotherapeutic drugs in the past 12 months, 11.1 million to 12.5 million misused prescription pain relievers (Center for Behavioral Health Statistics and Quality [CBHSQ], 2019d).
Moreover, the number of drug poisoning deaths involving prescription opioid pain relievers, such as hydrocodone, oxycodone, and methadone, more than quadrupled from 1999 to 2010, with parallel increases in prescription opioid sales over this period (Centers for Disease Control and Prevention, 2013; Paulozzi, 2012). Drug overdose deaths involving opioids (i.e., prescription opioids, heroin, or other illicitly manufactured opioids, such as illicitly manufactured fentanyl) increased by nearly 28 percent from 2015 to 2016, and overdose deaths involving prescription opioids increased by about 11 percent over this period (Seth, Scholl, Rudd, & Bacon, 2018). Overdose deaths involving any opioid continued to increase between 2016 and 2017 but not for prescription opioids or heroin; these increases were attributed to overdoses involving illicitly manufactured fentanyl or other synthetic opioids (Scholl, Seth, Kariisa, Wilson, & Baldwin, 2019). In addition, the benzodiazepine drugs alprazolam (e.g., Xanax®) and diazepam (e.g., Valium®) were among the top 10 drugs involved in overdose deaths in 2010 to 2014 (Warner, Trinidad, Bastian, Miniño, & Hedegaard, 2016).
For these reasons, the prescription drug sections of the National Survey on Drug Use and Health (NSDUH) interview were redesigned for the 2015 NSDUH to obtain the most complete and accurate data possible on the use and misuse of prescription drugs in the United States. Section 4.1 discusses important characteristics of this redesign.
The 2018 NSDUH included questions about four categories of prescription psychotherapeutic drugs: pain relievers, tranquilizers, stimulants, and sedatives. Starting in 2015, respondents were first asked whether they used any drug from a series of specific prescription drugs in the past 12 months for each of the prescription psychotherapeutic drug categories. Unlike the questionnaire used prior to 2015, therefore, the focus of the prescription drug questions beginning in 2015 was on the past 12 months rather than on the lifetime period. To aid respondents in recalling whether they used a specific prescription drug in the past 12 months, electronic images of pills or other forms of the drugs (where applicable) were shown to respondents on the computer screen; a document showing the prescription drug images for the 2018 NSDUH is available at https://www.samhsa.gov/data/ (CBHSQ, 2019f). Respondents who did not report use in the past 12 months of any specific prescription psychotherapeutic drug within a category (e.g., prescription pain relievers) were asked whether they ever, even once, used any prescription psychotherapeutic drug within that category (e.g., any prescription pain reliever). Respondents who reported use of prescription psychotherapeutics in any of these four psychotherapeutic drug categories in the past 12 months or the lifetime period were defined as users of any prescription psychotherapeutic drug.
In order to identify past year misusers of prescription psychotherapeutic drugs, respondents who reported they used specific prescription psychotherapeutic drugs in the past 12 months were shown a list of the drugs they used in the past 12 months and were asked for each drug whether they used it in the past 12 months "in any way not directed by a doctor" (i.e., misuse). (See Section 4.2 for more information about how misuse has been defined in NSDUH since the 2015 survey.) If respondents reported misuse of one or more specific drugs within a psychotherapeutic drug category in the past 12 months, they were asked whether they misused any drug in that category (e.g., prescription pain relievers) in the past 30 days. This question was used to estimate past month or "current" misuse. Respondents who reported (a) any use of prescription psychotherapeutics in a category in the past 12 months but no misuse in the past 12 months or (b) any use in their lifetime but not in the past 12 months were asked whether they ever, even once, misused any prescription psychotherapeutic drug within that category (e.g., any prescription pain reliever). Respondents who reported misuse in their lifetime were identified as having misused prescription psychotherapeutic drugs in their lifetime but not in the past 12 months. Respondents who reported misuse of prescription psychotherapeutics in any of these four psychotherapeutic drug categories in the past 30 days, past 12 months, or in the lifetime period were defined as having misused any prescription psychotherapeutic drug.
NSDUH reports and tables since 2015 do not refer to "prescription-type" psychotherapeutic drugs because questions about the use of methamphetamine since 2015 are asked separately from questions about the use and misuse of prescription psychotherapeutic drugs. Prior to 2015, methamphetamine was included in the section of the interview for prescription stimulants. However, most methamphetamine used in the United States is produced in clandestine laboratories rather than by the pharmaceutical industry. Thus, in 2015, methamphetamine questions were removed from the prescription stimulants section of the interview and included in a new, separate section. Also, with the greater emphasis of the redesigned prescription drug questions on use and misuse in the past year instead of in the lifetime period, the specific prescription drugs included in the 2015 NSDUH were currently or recently available by prescription in the United States relative to when the data were collected. For these reasons, it was not necessary for NSDUH in 2015 and afterward to refer to "prescription-type" psychotherapeutic drugs.
The Controlled Substances Act (CSA) of 1970 gives authority to the Drug Enforcement Administration (DEA) within the U.S. Department of Justice to place controlled substances into "schedules" (CSA, 2012). Schedules are defined according to factors such as (a) a substance's potential for abuse, (b) the state of current scientific knowledge regarding a drug, (c) risks to the public health, or (d) the potential for physiological or psychological dependence.
Because of the greater risks associated with the drugs in Schedule II, the prescribing of these drugs is more tightly restricted and regulated than is the prescribing of drugs in Schedules III or IV (U.S. Food and Drug Administration [FDA], 2017). In principle, the classification of prescription drugs into these schedules could affect the availability of prescription drugs for misuse.
Table 4.1 shows the subtypes of specific pain relievers in the 2018 NSDUH questionnaire according to their CSA schedule numbers. Figure 4.1 also shows these pain reliever subtypes and the specific pain relievers for each subtype.55 All of the pain reliever subtypes listed in Table 4.1 are prescription opioids, which are substances that act in the central nervous system (CNS) to reduce the perception of pain. As their name suggests, opioids include drugs found naturally in the opium poppy Papaver somniferum, such as morphine and codeine. Opioids also include drugs chemically similar to these naturally occurring substances but are manufactured in the laboratory (e.g., hydrocodone, fentanyl) (National Institute on Drug Abuse [NIDA], 2018c).
Questions in the 2018 NSDUH questionnaire for prescription pain relievers were used to define the following 11 specific subtypes of opioid pain relievers:
Respondents also are asked if they used or misused "any other" prescription pain reliever in the past 12 months (i.e., besides the ones they were already asked about). Respondents who reported they misused other pain relievers in the past 12 months are asked to specify the names of the other pain relievers they misused. Although all of the pain reliever subtypes listed above are opioids, respondents could specify they misused other pain relievers that are not opioids, such as nonsteroidal anti-inflammatory drugs not classified as controlled substances (e.g., prescription-strength ibuprofen). Section 4.4 discusses implications of respondents' ability to specify that other pain relievers they misused in the past 12 months were not opioids.
As noted previously, most of the pain relievers in the NSDUH questionnaire since 2015 are in the more stringently controlled Schedule II. Exceptions are products containing tramadol (Schedule IV); codeine plus acetaminophen (Schedule III), such as Tylenol® with codeine 3 or 4; or buprenorphine (Schedule III). In 2014, pain relievers containing hydrocodone plus acetaminophen (e.g., Vicodin®, Norco®) were moved by the DEA from the less restrictive Schedule III to the more restrictive Schedule II; this change became effective on October 6, 2014 (DEA, 2014). Consequently, virtually all reports of the use and misuse of hydrocodone products in the past 12 months for the 2018 NSDUH are assumed to refer to pain relievers respondents obtained by prescription or otherwise when these drugs were in the more restrictive Schedule II category.
The NSDUH questionnaire since 2015 also has included questions about codeine products. For the 2015 NSDUH, codeine products were included in estimates of the use and misuse of any prescription pain reliever. However, separate estimates were not created for the use and misuse of codeine products for 2015 because of concerns that respondents in 2015 might overreport the use and misuse of codeine products if they confused Tylenol® with codeine 3 or 4 (which is available in the United States only by prescription) with over-the-counter (OTC) Tylenol®, which does not require a prescription. Changes were made to the 2016 NSDUH questionnaire to emphasize that Tylenol® with codeine 3 or 4 is not the same as OTC Tylenol®. Therefore, estimates since 2016 have been produced for the use and misuse of codeine products.
The Substance Abuse and Mental Health Services Administration (SAMHSA) concluded from further analysis of the 2015 and 2016 NSDUH data that unpublished estimates for past year use and misuse of codeine products in 2015 were not comparable with the corresponding published estimates for 2016. However, the change in 2016 for Tylenol® with codeine 3 or 4 did not affect the comparability of estimates between 2015 and 2016 for the use and misuse of any prescription pain reliever or any prescription psychotherapeutic drug (CBHSQ, 2017b). Because the questions for Tylenol® with codeine 3 or 4 did not undergo further change after 2016, estimates for the use and misuse of codeine products are considered to be comparable from 2016 to 2018.
Table 4.2 shows the subtypes of tranquilizers in the 2018 NSDUH questionnaire according to their CSA schedule numbers. Figure 4.2 also shows these tranquilizer subtypes and the specific tranquilizers for each subtype. Questions for specific prescription tranquilizers were used to define the following broad subtypes of prescription tranquilizers (not counting other tranquilizers):
Benzodiazepine tranquilizers were further categorized into the following four subtypes:
Muscle relaxants were further categorized into subtypes for (a) cyclobenzaprine and (b) Soma®.
Respondents also are asked if they used or misused "any other" prescription tranquilizer in the past 12 months (i.e., besides the ones they were already asked about). Respondents who reported they misused other tranquilizers in the past 12 months are asked to specify the names of the other tranquilizers they misused.
Several of the tranquilizers in the 2018 NSDUH questionnaire are in the less restrictive Schedule IV. However, cyclobenzaprine (also known as Flexeril®) is not classified by the DEA as a controlled substance (i.e., other than requiring a prescription). This substance was included in the tranquilizers section of the interview in the 2014 NSDUH and was retained for the partially redesigned 2015 questionnaire based on the results of field testing of the planned questionnaire and a review by pharmacists of the proposed specific prescription drugs for the questionnaire. Although cyclobenzaprine is not scheduled as a controlled substance, it is classified as a muscle relaxant. As shown in Table 4.2, another muscle relaxant in the questionnaire (Soma®) is a controlled substance. Despite cyclobenzaprine not being a controlled substance, the label for Flexeril® indicates that the drug may enhance the effects of alcohol and other CNS depressants.56 The FDA-required "Drug Abuse and Dependence" section of the product label for Flexeril® indicates that similarities between this drug and tricyclic antidepressants require that certain withdrawal symptoms be considered when Flexeril® is administered.
As discussed in Section 4.1.5, other benzodiazepines are prescribed as sedatives. Although both tranquilizers and sedatives cause drowsiness, including tranquilizers and sedatives that are benzodiazepines, a distinction between these drug categories is that tranquilizers are prescribed for anxiety relief or to relieve muscle spasms, whereas sedatives are prescribed specifically for the relief of insomnia. In particular, benzodiazepine drugs prescribed as tranquilizers typically are metabolized more slowly than benzodiazepines prescribed as sedatives.57,58 The rate of metabolism determines the duration and intensity of a drug's pharmacological effect on the body.
Because benzodiazepines are chemically similar regardless of whether they are prescribed as tranquilizers or sedatives, estimates were included in 2018 NSDUH reports and tables for the use and misuse of any benzodiazepine in the past 12 months in 2015 to 2018. Issues related to the measurement of any use and misuse of benzodiazepines are discussed further in Section 4.6.
Table 4.3 shows the subtypes of stimulants in the 2018 NSDUH questionnaire according to their CSA schedule numbers. Figure 4.3 also shows these stimulant subtypes and the specific stimulants for each subtype.
Stimulants can be prescribed for multiple reasons, including treatment of attention-deficit/hyperactivity disorder (ADHD), weight reduction or control, or promoting wakefulness because of sleepiness associated with conditions such as narcolepsy or sleep apnea. Thus, unlike the other prescription drug categories, the intended purpose of prescribing stimulants is not always apparent from the name of the category. In contrast, the reason for prescribing pain relievers, tranquilizers, or sedatives is implied in the category name (i.e., pain relief, anxiety control, or sedation to relieve insomnia, respectively). For this reason, some of the subtypes of stimulants for 2018 shown in Table 4.3 and in Figure 4.3 refer to the condition for which the drugs are prescribed.
Questions in the 2018 NSDUH for specific prescription stimulants were used to define the following broad subtypes of prescription stimulants (not counting other stimulants):
Respondents also are asked if they used or misused "any other" prescription stimulant in the past 12 months (i.e., besides the ones they were already asked about). Respondents who reported they misused other stimulants in the past 12 months are asked to specify the names of the other stimulants they misused.
The amphetamines and stimulants containing methylphenidate that are primarily prescribed for the treatment of ADHD are in the more restrictive Schedule II. Stimulants in Table 4.3 that are prescribed for weight control are in Schedules III or IV.
As noted previously, methamphetamine has not been included as a prescription stimulant in NSDUH since 2015 unless the prescription form of methamphetamine (Desoxyn®) had been specified as some other stimulant respondents had misused in the past year. However, this drug was not mentioned at all in 2015 or 2016. It was mentioned only rarely as some other stimulant in 2017. In 2018, it was mentioned rarely as some other drug respondents injected.59 Because Desoxyn® is chemically similar to other prescription amphetamines (e.g., Adderall®), it was classified as an amphetamine beginning in 2017 (Table 4.3) if it was specified as some other stimulant respondents misused.
Table 4.4 shows the subtypes of sedatives in the 2018 NSDUH questionnaire according to their CSA schedule numbers. Figure 4.4 also shows these sedative subtypes and the specific sedatives for each subtype. Questions in the 2018 NSDUH for specific prescription sedatives were used to define the following broad subtypes of prescription sedatives (not counting other sedatives):
Benzodiazepine sedatives were further categorized into the following three subtypes:
Respondents also are asked if they used or misused "any other" prescription sedative in the past 12 months (i.e., besides the ones they were already asked about). Respondents who reported they misused other sedatives in the past 12 months are asked to specify the names of the other sedatives they misused.
Most of the sedatives in the 2018 NSDUH questionnaire are in the less restrictive Schedule IV. However, some barbiturates are in Schedule II (Seconal®) or Schedule III (Butisol®). As noted in Section 4.1.3 on tranquilizers, the benzodiazepines prescribed as sedatives for the relief of insomnia (e.g., Halcion®) typically have a shorter duration of action compared with benzodiazepines prescribed for the treatment of anxiety (e.g., Xanax®).
The definition and examples of sedatives can vary across surveys covering segments of the NSDUH population. In the Monitoring the Future (MTF) study of adolescents and young adults (see Chapter 5), for example, a version of its 2004 questionnaire for a subsample of 12th graders asked about the misuse of "sedatives, including barbiturates." Because the data did not show an effect on estimates due to this wording change, this revision was applied generally to the full 2005 MTF questionnaire, but only barbiturates were cited as examples of sedatives (i.e., phenobarbital, Tuinal®, Nembutal®, and Seconal®) (Bachman, Johnston, O'Malley, & Schulenberg, 2011; Miech et al., 2017). In 2013, phenobarbital was kept in the MTF question on sedatives (including barbiturates), but Tuinal®, Nembutal®, and Seconal® were replaced with Ambien®, Lunesta®, and Sonata® (Bachman, Johnston, O'Malley, Schulenberg, & Miech, 2015). This change was determined not to have affected the comparability of MTF estimates between 2012 and 2013 for sedative misuse among 12th graders, but it did affect the comparability of estimates among young adults (Miech et al., 2017; Schulenberg et al., 2017).
Prior to the 2015 NSDUH, the term "nonmedical use" was employed in NSDUH reports to describe the use of prescription drugs not prescribed for individuals or that individuals took only for the experience or feeling the drugs caused. Since 2015, respondents have been asked about the use of prescription drugs "in any way that a doctor did not direct you to use them." Examples of such use included (a) using prescription drugs without a prescription of one's own; (b) using them in greater amounts, more often, or longer than people were told to take them; and (c) using them in any other way not directed by a doctor. With this change to the prescription drug questions came the opportunity for SAMHSA to reevaluate the terminology used in NSDUH to describe these types of uses of prescription drugs.
Potential alternatives to the term "nonmedical use" include "extramedical use," "misuse," and "abuse"; these terms have different meanings and therefore are not interchangeable (Zacny & Lichtor, 2008). Any one term is unlikely to describe and encompass all of the behaviors that may be associated with the use of prescription drugs outside of proper medical supervision. Nevertheless, the term "misuse" appears for multiple reasons to be the most appropriate and parsimonious term to describe the types of behaviors covered by the NSDUH prescription drug questions since 2015. Butler and colleagues (2007) defined substance misuse as use in a manner other than how a drug is indicated or prescribed.
The variables used to estimate any use and misuse in the past year for the overall categories of prescription pain relievers, tranquilizers, stimulants, and sedatives included statistical imputation to account for item nonresponse and, therefore, had no missing data (Section 2.3.3). Past year initiation variables for prescription drug misuse and SUD variables for prescription drugs since 2015 also were imputed (see Sections 2.3.3, 3.4.2, and 3.4.3). However, prescription drug variables for the following estimates in NSDUH reports and tables did not undergo statistical imputation and, therefore, had missing data:
Respondents with missing data for the main reason for the last misuse and for the source of the last prescription drug in a category were excluded from analyses to produce estimates of these outcomes. Bias may result when respondents with missing data are excluded from an analysis. For population totals (i.e., estimated numbers of individuals with a given characteristic), a negative bias will always occur if there are missing values in the domain variables, the outcome variable, or both. For the resulting outcomes (e.g., numbers of individuals who obtained the last prescription drug they misused from a particular source), this negative bias can yield estimates lower than the true population total.60 When population proportions are estimated for these two measures, there may or may not be bias, and the bias can be negative or positive. The direction and magnitude of the bias for proportions depend on how different the item respondents are from the item nonrespondents with respect to the outcome of interest.
In addition, respondents could have missing data for whether they used or misused specific subtypes of prescription drugs in the past year. For example, respondents were presented with a list of prescription pain relievers containing hydrocodone and were asked to report which, if any, of these they had used in the past 12 months. Except in special situations, respondents who answered "don't know" or "refused" when presented with this list would have missing data for the past year use of hydrocodone products. In turn, these respondents were not asked whether they misused specific hydrocodone products in the past year.61
Since 2015, missing values in variables pertaining to subtypes of prescription drugs were coded as "no use" or "no misuse" in the past 12 months as part of data processing. Estimates for subtypes of prescription drugs were then produced based on the data from respondents who did not have missing data and the respondents with missing data who were assumed not to have used or misused that subtype. However, some of these respondents with missing data could have used or misused a specific subtype of prescription drugs in the past 12 months, which will cause a negative bias in the estimates (see Section 3.3.2). The magnitude of this bias in estimated percentages of people who used or misused a given prescription drug subtype will depend on (a) the percentage of respondents with missing data and (b) the difference between the true percentage from the item respondents and the true percentage from the item nonrespondents. These true percentages are not known but can be estimated by the difference in estimates, depending on whether respondents with missing data are excluded from the analysis or are included (i.e., and are assumed to be equivalent to nonusers). However, low percentages of NSDUH respondents in 2018 had missing data for most prescription drug measures.
Since 2015, additional prescription drug variables for the following measures were edited but not imputed:
These edited variables were not used to produce published estimates in reports and tables for the 2018 NSDUH, but they will be available on the 2018 NSDUH public use file. Therefore, users of the 2018 NSDUH data have the option to decide how to handle missing data in analyses with these edited prescription drug variables. Potential biases associated with missing data discussed in this section and in Section 3.3.2 will apply to analyses using these edited variables.
The opioid pain relievers described in Section 4.1.2 are available in the United States by prescription as controlled substances. As opioids, however, they can produce the same kinds of adverse effects as heroin or other illegally manufactured opioids. Individuals who misuse prescription opioid pain relievers can develop an SUD or can overdose, sometimes fatally. Moreover, people who are prescribed opioids for pain relief and take them as directed can develop tolerance, where they need to take a medication in higher dosages or more often (or both) to achieve the desired effects (NIDA, 2018c). As noted in Section 4.1.2, most prescription opioids in the NSDUH questionnaire are in the more stringently controlled Schedule II category because of their high potential for abuse that can lead to severe psychological or physiological dependence.
NSDUH respondents are asked about their use and misuse of prescription pain relievers rather than being asked specifically about their use and misuse of prescription opioids or prescription opioid pain relievers. Respondents are more likely to understand the term "pain relievers" rather than "opioids" because "pain relievers" indicates the purpose for which the drugs are likely to be taken. In contrast, the term "opioids" could be too sophisticated for respondents at a 6th grade reading level. This term also would require respondents to know the chemical classification of a prescription drug.
Since 2016, the NSDUH questionnaire has included questions about 39 specific prescription pain relievers that fall into 11 opioid pain reliever subtypes (see Section 4.1.2 and Table 4.1). As noted in Section 4.1.2, however, respondents are also asked if they used or misused "any other" prescription pain reliever in the past 12 months. Respondents who reported the misuse of any other pain reliever in the past 12 months were asked to type the names of those other drugs. These responses are subsequently referred to in this section as "write-in" data.
Respondents could report drugs other than prescription opioids as the other prescription pain relievers they misused in the past year. Therefore, respondents who reported the misuse only of any other prescription pain reliever and reported the misuse of only drugs that are not opioids would be counted in NSDUH estimates of prescription pain reliever misuse. For this reason, published NSDUH estimates of the misuse of prescription pain relievers that include the any other prescription pain reliever category are not completely synonymous with the use and misuse of prescription opioids.
NSDUH also publishes estimates of past year opioid misuse, which is defined as the use of heroin or the misuse of prescription pain relievers in the past 12 months. Therefore, a small percentage of published opioid misuse estimates can be attributed to respondents who did not explicitly report the misuse of an opioid.
Another consideration in differentiating between the misuse of prescription pain relievers and prescription opioids is that if clinicians prescribe fewer opioids over time in response to changing treatment guidelines for patients with chronic pain (Dowell, Haegerich, & Chou, 2016), then NSDUH respondents could increasingly specify that the other prescription pain relievers they misused were nonopioids. According to the NSDUH definition of prescription drug misuse, use of a nonopioid prescription drug without a prescription or in other ways not medically directed (e.g., use in greater amounts or more often than directed) would still constitute misuse. Furthermore, nonopioid drugs such as gabapentin (e.g., Neurontin®) that are prescribed "off label"62 for pain relief may have abuse potential, especially among individuals with a history of opioid misuse (Buttram, 2018; Buttram, Kurtz, Dart, & Margolin, 2017; Havens, 2018; Smith, Havens, & Walsh, 2016).
Nevertheless, if prescription opioid misuse constitutes the vast majority of prescription pain reliever misuse estimated by NSDUH, data users can have greater confidence about terms such as "prescription pain relievers" and "prescription opioids" both being used to describe these NSDUH estimates. Also, if respondents used heroin and also misused prescription pain relievers in that period, or if they misused both a prescription opioid and a nonopioid, then these respondents would be classified as opioid misusers regardless of whether they also misused a nonopioid.
An analysis is conducted annually of the impact of nonopioid reports on NSDUH estimates of past year prescription pain reliever misuse and past year opioid misuse. This analysis is useful for understanding estimates of the past year misuse of any prescription pain reliever and any opioid.
Among individuals aged 12 or older in 2018 who misused any prescription pain reliever in the past year, 3.4 percent misused only other pain relievers and specified only nonopioid drugs as the other drugs they misused.63 Corresponding percentages were 2.5 percent in 2015, 2.1 percent in 2016, and 2.9 percent in 2017. Stated another way, the large majority of individuals who were classified as misusing prescription pain relievers in the past year misused a prescription opioid pain reliever. In 2018, for example, 96.6 percent of individuals who misused prescription pain relievers in the past year were assumed to have misused a prescription opioid pain reliever.64
When estimated percentages were based on the entire population aged 12 or older (i.e., rather than among individuals who misused prescription pain relievers), 3.6 percent of individuals aged 12 or older in 2018 misused prescription pain relievers in the past year. An estimated 3.5 percent of individuals aged 12 or older in 2018 misused an opioid pain reliever in the past year, including (but not limited to) any of the 11 subtypes of opioid pain relievers described in Section 4.1.2. Thus, the large majority of the misuse of prescription pain relievers for the 2018 NSDUH consisted of the misuse of prescription opioids.
In the 2018 detailed tables and the 2018 report of key substance use and mental health indicators, the categories for the misuse of prescription pain relievers and the use of heroin were combined into an overall category for opioid misuse. An estimated 3.7 percent of individuals aged 12 or older in 2018 misused prescription pain relievers or used heroin in the past year. If individuals were excluded who misused only nonopioid pain relievers (i.e., and did not also use heroin), then the past year opioid misuse estimate for 2018 would decrease to 3.6 percent.
Among all past year opioid misusers in 2018, however, only 3.3 percent unambiguously misused only nonopioid pain relievers, and 96.7 percent were assumed to have misused a prescription opioid pain reliever or heroin. Although individuals who misused only nonopioid pain relievers but also used heroin in the past year would still be classified as opioid misusers, this pattern did not occur in the 2018 data. Corresponding percentages of past year misusers of any opioid who misused only nonopioid pain relievers in 2015 to 2017 ranged from 2.0 percent in 2016 to 2.8 percent in 2017. Thus, for the overall category of any opioid misuse in the past year, the large majority of individuals were assumed to have misused prescription opioids, used heroin, or to have used or misused both.
Drugs defined in NSDUH as tranquilizers or sedatives have a number of important features in common.
The Multum Lexicon® database of drugs has a category for "anxiolytics, sedatives, and hypnotics" that includes drugs defined in NSDUH as tranquilizers or sedatives (National Center for Health Statistics, 2017). Because of these similarities, reports and tables for the 2018 NSDUH include estimates for the misuse of any tranquilizer or sedative.
Beginning in 2018, the following measures for the misuse of tranquilizers or sedatives were included in NSDUH reports or tables and in the data file:
Respondents were classified as having misused prescription tranquilizers or sedatives in the past 12 months if they reported the misuse of prescription tranquilizers, prescription sedatives, or both in that period. A similar principle applied to the classification of respondents as having misused tranquilizers or sedatives in the past 30 days.
As noted previously, respondents who reported they misused other tranquilizers in the past 12 months were asked to specify the names of the other tranquilizers they misused. Similarly, respondents who reported they misused other sedatives in that period were asked to specify the names of the other sedatives they misused. Consequently, respondents could specify a prescription tranquilizer (e.g., Xanax®) as some "other sedative" they misused, or vice versa. Consistent with the principle discussed in Section 2.3.2.1, if respondents specified the misuse of a prescription tranquilizer as some other sedative they had misused, these data for the misuse of other sedatives were not used to edit the data for the use and misuse of tranquilizers in that section of the interview.
However, the reporting of prescription tranquilizers as other sedatives or the reporting of prescription sedatives as other tranquilizers did not affect the creation of the aggregate measures for the misuse of prescription tranquilizers or sedatives in the past year or past month. For example, if respondents reported in the sedatives section they misused Ambien® in the past 12 months and also specified the misuse of a tranquilizer as some other sedative they misused in that period, then they still would be past year misusers for the combined category of tranquilizers or sedatives. Because these respondents reported the misuse of more than one drug in the sedatives section, they would have been asked about the misuse of "prescription sedatives" in the past 30 days.67 If these respondents had answered the question about the misuse of prescription sedatives in the past 30 days as "yes," then they would still be defined as past month misusers for the combined tranquilizer or sedative category, regardless of whether a drug they misused in that period may technically have been a tranquilizer.
Respondents were classified as having a tranquilizer or sedative use disorder in the past 12 months if they had either a tranquilizer use disorder (i.e., dependence or abuse) related to their misuse of prescription tranquilizers in the past year, a sedative use disorder related to their misuse of prescription sedatives in the past year, or both disorders. The criteria for dependence or abuse for these substances are described in Section 3.4.3.
The following measures were not created for the misuse of any tranquilizer or sedative:
Respondents who reported the misuse of both tranquilizers and sedatives in the past 30 days were asked in these two sections of the interview to report the number of days they misused that particular category of prescription drugs in that period. However, reports of (a) the number of days respondents misused prescription tranquilizers and (b) the number of days respondents misused prescription sedatives in the past 30 days are not mutually exclusive because respondents could have misused both prescription tranquilizers and sedatives on the same day.
As noted in Section 3.4.2, individuals who misused prescription drugs in their lifetime but not in the past 12 months could underreport this lifetime misuse. This underreporting could result in some individuals being misclassified as having initiated the misuse of any prescription tranquilizer or sedative in the past year, when in fact they first misused any prescription tranquilizer or sedative more than 12 months prior to the interview date. For this reason, aggregate estimates were not created for the 2018 NSDUH for the initiation of misuse of any tranquilizer or sedative.
For example, individuals who first misused prescription sedatives in the past 12 months but who first misused prescription tranquilizers more than 12 months prior to the interview date would be a past year initiate for the misuse of sedatives. These individuals would not be a past year initiate for the misuse of any prescription tranquilizer or sedative because they had already misused tranquilizers more than 12 months ago. Because of the potential for respondents to underreport lifetime (but not past year) misuse of prescription psychotherapeutic drugs (including tranquilizers or sedatives), however, lifetime (but not past year) misusers of prescription tranquilizers could be misclassified as past year initiates for the misuse of tranquilizers or sedatives if they reported past year initiation of sedatives but failed to report their lifetime misuse of tranquilizers. A similar situation would apply to respondents who initiated the misuse of tranquilizers in the past year but failed to report their lifetime misuse of sedatives.
As noted in Sections 4.1.3, 4.1.5, and 4.5, prescription drugs categorized as benzodiazepines can be prescribed as either tranquilizers or sedatives. The benzodiazepines listed in Tables 4.2 and 4.4 are classified as Schedule IV controlled substances. Regardless of whether benzodiazepine prescriptions are prescribed as tranquilizers or sedatives, therefore, these drugs have the potential to produce physical or psychological dependence. Because benzodiazepines are CNS depressants, they cause drowsiness and can impair motor skills important for tasks such as operating a motor vehicle or machinery. Individuals also can overdose on benzodiazepines, especially when taken in combination with other CNS depressants such as opioids (NIDA, 2018a, 2018b).
The number of adults who filled prescriptions for benzodiazepines increased from 8.1 million adults in 1996 to 13.5 million in 2013, an increase of 67 percent. The total quantity of benzodiazepine prescriptions adults filled more than tripled, and the rate of overdose deaths among adults involving benzodiazepines more than quadrupled over this period (Bachhuber, Hennessy, Cunningham, & Starrels, 2016). Among the total population, there was more than an eightfold increase from 2002 to 2016 in the number of overdose deaths involving benzodiazepines, an increase driven largely by overdoses in which benzodiazepines and opioids were taken in combination (NIDA, 2018d). As noted previously, some benzodiazepines were among the top 10 drugs involved in overdose deaths in 2010 to 2014 (Warner et al., 2016).
Therefore, estimates were included in 2018 NSDUH reports and tables for the use and misuse of any benzodiazepine in the past 12 months, regardless of whether it was classified as a tranquilizer or a sedative. The next section discusses the creation of measures from the NSDUH data for any benzodiazepine use and misuse.
Respondents were classified as having used any benzodiazepine tranquilizer or sedative in the past 12 months if they reported the use of one or more of the benzodiazepines shown in Figures 4.2 and 4.4 for whatever reason in that period. Respondents who did not report using the specific benzodiazepines asked about in the tranquilizers section or sedatives section in the past 12 months, but specified a benzodiazepine as one of the other tranquilizers or other sedatives they misused also were defined as having used benzodiazepines for a specified reason in the past 12 months; by definition, respondents who misused other benzodiazepines in the past 12 months used them for any reason. Similarly, respondents who reported they misused a benzodiazepine tranquilizer or sedative in the past 12 months—either from a response to a direct question (e.g., the direct question about misuse of Xanax® in the past 12 months) or as some other tranquilizer or sedative they misused in that period—were classified as having misused any benzodiazepine in the past 12 months.
Consistent with the discussion in Section 4.5.2, respondents could specify a benzodiazepine prescribed as a tranquilizer (e.g., Xanax®) as some "other sedative" they misused in the past 12 months. Similarly, respondents could specify a benzodiazepine prescribed as a sedative (e.g., Halcion®) as some "other tranquilizer" they misused in that period. Regardless of whether specific benzodiazepines were reported as tranquilizers or sedatives, these responses were included in the aggregate measures of any use or misuse of benzodiazepines in the past 12 months because the benzodiazepine measures were constructed from data in both the tranquilizers and sedatives sections. Consistent with the principle of not editing across sections of the interview (see Section 2.3.2.1), however, reports of benzodiazepines in sections other than for tranquilizers or sedatives were not included in the measures of benzodiazepine use or misuse, such as if respondents specified a benzodiazepine as some "other pain reliever" they misused in the past 12 months.
In addition, estimates in the 2018 detailed tables for the use and misuse of any benzodiazepine tranquilizer and specific benzodiazepine tranquilizer subtypes in Figure 4.2 were based solely on reports from the tranquilizers section of the interview. Thus, for example, respondents who did not report the use or misuse of benzodiazepine tranquilizers in the tranquilizers section but specified the misuse of a benzodiazepine tranquilizer as some other sedative were not counted as users or misusers of benzodiazepine tranquilizers in published estimates. Similarly, estimates for the use and misuse of any benzodiazepine sedative and specific benzodiazepine sedative subtypes shown in Figure 4.4 were based solely on reports from the sedatives section.
Because of the potential for respondents to report the misuse of benzodiazepine tranquilizers as other sedatives or vice versa, measures for the past year misuse of any miscellaneous prescription benzodiazepine also were created for the 2018 NSDUH detailed tables. Respondents were classified in this miscellaneous prescription benzodiazepine category if they reported the misuse of benzodiazepine tranquilizers they specified as other sedatives or the misuse of benzodiazepine sedatives they specified as other tranquilizers. However, respondents in this miscellaneous prescription benzodiazepine category also could fall into other benzodiazepine tranquilizer or sedative categories in the detailed tables. For example, respondents who reported in the tranquilizers section that they misused Xanax® in the past year and specified the past year misuse of Xanax® as some other sedative were counted as having misused benzodiazepine tranquilizers and alprazolam products because of their report of Xanax® misuse in the tranquilizers section; these respondents also were included in the miscellaneous prescription benzodiazepine measure because of their report that they misused Xanax® as some other sedative. Nevertheless, the miscellaneous prescription benzodiazepine estimates provide data users with an indication of the extent of reporting of benzodiazepines across the respective categories for tranquilizers and sedatives.
The following measures were not created for benzodiazepines:
These measures were not created because the interview sections for tranquilizers and sedatives also included drugs that are not benzodiazepines.
For example, suppose respondents misused a sedative in the past 12 months that was not a benzodiazepine (e.g., Ambien®) and misused a benzodiazepine sedative in the past 12 months (e.g., Halcion®). These respondents were asked about their misuse in the past 30 days and their SUD symptoms in the past 12 months for "prescription sedatives." Consequently, it could not be determined unambiguously for these respondents whether they misused a benzodiazepine sedative in the past 30 days or whether their SUD symptoms were attributable to their misuse of benzodiazepine sedatives or sedatives that were not benzodiazepines.
As noted in Section 3.4.2, NSDUH respondents beginning with the 2015 survey were asked about the initiation of misuse of prescription psychotherapeutic drugs only for the individual prescription drugs they had misused in the past 12 months. If respondents misused benzodiazepine sedatives and sedatives that are not benzodiazepines in the past 12 months and reported past year initiation of misuse for all the sedatives they misused in that period, then they were asked whether they ever misused any prescription sedative more than 12 months prior to the interview. Respondents who reported they misused "any prescription sedative" prior to the past 12 months would not be past year initiates for the misuse of any prescription sedative but could still have initiated the misuse of benzodiazepine sedatives (or any benzodiazepine) in the past year.
NOTE: Prescription pain reliever categories shown in the red and blue boxes represent estimates for subtypes shown in reports or tables for the 2018 NSDUH.
NOTE: The following drugs in this figure are generic drugs: hydrocodone, oxycodone, tramadol, extended-release tramadol, codeine pills, morphine, extended-release morphine, fentanyl, buprenorphine, buprenorphine plus naloxone, oxymorphone, extended-release oxymorphone, hydromorphone, extended-release hydromorphone, and methadone.
NOTE: Prescription tranquilizer categories shown in the red, blue, and gray boxes represent estimates for subtypes shown in reports or tables for the 2018 NSDUH.
NOTE: The following drugs in this figure are generic drugs: alprazolam, extended-release alprazolam, lorazepam, clonazepam, diazepam, and cyclobenzaprine.
NOTE: Prescription stimulant categories shown in the red and blue boxes represent estimates for subtypes shown in reports or tables for the 2018 NSDUH.
NOTE: Vyvanse® is included with amphetamine products because its active ingredient (lisdexamfetamine) is metabolized to dextroamphetamine.
NOTE: The following drugs in this figure are generic drugs: dextroamphetamine, amphetamine-dextroamphetamine combinations, extended-release amphetamine-dextroamphetamine combinations, methylphenidate, extended-release methylphenidate, dexmethylphenidate, extended-release dexmethylphenidate, benzphetamine, diethylpropion, phendimetrazine, and phentermine.
NOTE: Prescription sedative categories shown in the red, blue, and gray boxes represent estimates for subtypes shown in reports or tables for the 2018 NSDUH.
NOTE: The following drugs in this figure are generic drugs: zolpidem, extended-release zolpidem, eszopiclone, zaleplon, flurazepam, temazepam, triazolam, and phenobarbital.
| Subtype | CSA Schedule |
Comments |
|---|---|---|
| Hydrocodone Products | II | Subtype includes Vicodin®, Lortab®, Norco®, Zohydro® ER, generic hydrocodone, and any other pain reliever containing hydrocodone respondents specified for past year misuse. |
| Oxycodone Products | II | Subtype includes OxyContin®, Percocet®, Percodan®, Roxicodone®, generic oxycodone, and any other pain reliever containing oxycodone respondents specified for past year misuse. Roxicet® was included in the 2015 questionnaire but has not been included since 2016. |
| Tramadol Products | IV | Subtype includes Ultram®, Ultram® ER, Ultracet®, generic tramadol, generic extended-release tramadol, and any other pain reliever containing tramadol respondents specified for past year misuse. |
| Codeine Products | II or III | Subtype includes Tylenol® with codeine 3 or 4 and codeine pills. Codeine included in combination with pain relievers such as acetaminophen (e.g., Tylenol® with codeine 3 or 4) is classified as a Schedule III controlled substance. Codeine not included in combination with other pain relievers is classified as a Schedule II controlled substance. Cough medicines containing low dosages of codeine (which are classified as Schedule V controlled substances) that respondents specified as other pain relievers were not counted as codeine products.1 Estimates for codeine products have been included in NSDUH reports since 2016 because of changes to the questions for codeine products in the 2016 questionnaire. |
| Morphine Products | II | Subtype includes Avinza®, Kadian®, MS Contin®, generic morphine, generic extended-release morphine, and any other pain reliever containing morphine respondents specified for past year misuse. |
| Fentanyl Products | II | Subtype includes Duragesic®, Fentora®, generic fentanyl, and any other pain reliever containing fentanyl respondents specified for past year misuse. Actiq® was included in the 2015 questionnaire but has not been included since 2016. |
| Buprenorphine Products | III | Subtype includes Suboxone®, generic buprenorphine, generic buprenorphine plus naloxone, and any other pain reliever containing buprenorphine respondents specified for past year misuse. Generic buprenorphine plus naloxone has been included in the 2016 NSDUH questionnaire since 2016. |
| Oxymorphone Products | II | Subtype includes Opana®, Opana® ER, generic oxymorphone, generic extended-release oxymorphone, and any other pain reliever containing oxymorphone respondents specified for past year misuse. |
| Demerol® | II | Includes Demerol® and any other pain reliever containing meperidine respondents specified for past year misuse. |
| Hydromorphone Products | II | Subtype includes Dilaudid® or hydromorphone, Exalgo® or extended-release hydromorphone, and any other pain reliever containing hydromorphone respondents specified for past year misuse. |
| Methadone | II | Includes methadone and any other pain reliever containing methadone respondents specified for past year misuse. |
| CSA = Controlled Substances Act of 1970; NSDUH = National Survey on Drug Use and Health. 1 A small number of respondents in 2016 who specified the misuse of cough syrup with promethazine and codeine (which is in Schedule V) were classified as having misused codeine products. Beginning in 2017, this was no longer counted with Schedule II and Schedule III codeine products. Source: U.S. Drug Enforcement Administration. (2019). Controlled substances. Alphabetical order. Retrieved from https://www.deadiversion.usdoj.gov/ |
||
| Subtype | CSA Schedule | Comments |
|---|---|---|
| Alprazolam Products | IV | Subtype is for a benzodiazepine prescribed as a tranquilizer. Includes Xanax®, Xanax® XR, generic alprazolam, generic extended-release alprazolam, and any other tranquilizer containing alprazolam respondents specified for past year misuse. |
| Lorazepam Products | IV | Subtype is for a benzodiazepine prescribed as a tranquilizer. Includes Ativan®, generic lorazepam, and any other tranquilizer containing lorazepam respondents specified for past year misuse. |
| Clonazepam Products | IV | Subtype is for a benzodiazepine prescribed as a tranquilizer. Includes Klonopin®, generic clonazepam, and any other tranquilizer containing clonazepam respondents specified for past year misuse. |
| Diazepam Products | IV | Subtype is for a benzodiazepine prescribed as a tranquilizer. Includes Valium®, generic diazepam, and any other tranquilizer containing diazepam respondents specified for past year misuse. |
| Cyclobenzaprine | None | This is a muscle relaxant. It is not a controlled substance. The drug also is known as Flexeril®, which is no longer available in the United States. |
| Soma® | IV | This is a muscle relaxant. The active ingredient is carisoprodol. |
| CSA = Controlled Substances Act of 1970; NSDUH = National Survey on Drug Use and Health. Source: U.S. Drug Enforcement Administration. (2019). Controlled substances. Alphabetical order. Retrieved from https://www.deadiversion.usdoj.gov/ |
||
| Subtype | CSA Schedule | Comments |
|---|---|---|
| Amphetamine Products1 | II | Subtype includes Adderall®, Adderall® XR, Dexedrine®, Vyvanse®, generic dextroamphetamine, generic amphetamine-dextroamphetamine combinations, generic extended-release amphetamine-dextroamphetamine combinations, or similar products respondents specified for past year misuse.2 Vyvanse® is included because its active ingredient (lisdexamfetamine) is metabolized to dextroamphetamine. |
| Methylphenidate Products1 | II | Subtype includes Ritalin®, Ritalin® LA, Concerta®, Daytrana®, Metadate® CD, Metadate® ER, Focalin®, Focalin® XR, generic methylphenidate, generic extended-release methylphenidate, generic dexmethylphenidate, generic extended-release dexmethylphenidate, and any other stimulant containing methylphenidate respondents specified for past year misuse. Ritalin® SR was included in the 2015 questionnaire but has not been included since 2016. |
| Anorectic (Weight-Loss) Stimulants | III or IV | Subtype includes Didrex®, benzphetamine, Tenuate®, diethylpropion, phendimetrazine, phentermine, or similar products respondents specified for past year misuse. Didrex®, benzphetamine, and phendimetrazine are Schedule III controlled substances. Tenuate®, diethylpropion, and phentermine are Schedule IV controlled substances. |
| Provigil® | IV | The active ingredient is modafinil. The drug is prescribed to improve wakefulness in adult patients with excessive sleepiness associated with narcolepsy, obstructive sleep apnea, or shift work disorder. |
| CSA = Controlled Substances Act of 1970; NSDUH = National Survey on Drug Use and Health. 1 The amphetamine and methylphenidate products include stimulants primarily prescribed for the treatment of attention-deficit/hyperactivity disorder (ADHD). 2 Desoxyn®, the prescription form of methamphetamine, was included as an amphetamine product. It was specified only rarely in 2015 to 2017 as some other prescription stimulant but not in 2018. Source: U.S. Drug Enforcement Administration. (2019). Controlled substances. Alphabetical order. Retrieved from https://www.deadiversion.usdoj.gov/ |
||
| Subtype | CSA Schedule | Comments |
|---|---|---|
| Zolpidem Products | IV | Subtype includes Ambien®, Ambien® CR, generic zolpidem, extended-release generic zolpidem, and any other sedative containing zolpidem respondents specified for past year misuse. |
| Eszopiclone Products | IV | Subtype includes Lunesta®, generic eszopiclone, and any other sedative containing eszopiclone respondents specified for past year misuse. |
| Zaleplon Products | IV | Subtype includes Sonata®, generic zaleplon, and any other sedative containing zaleplon respondents specified for past year misuse. |
| Flurazepam | IV | This is a benzodiazepine prescribed as a sedative. The drug also is known as Dalmane®, which is no longer available in the United States. |
| Temazepam Products | IV | Subtype is for a benzodiazepine prescribed as a sedative. Includes Restoril®, generic temazepam, and any other sedative containing temazepam respondents specified for past year misuse. |
| Triazolam Products | IV | Subtype is for a benzodiazepine prescribed as a sedative. Includes Halcion®, generic triazolam, and any other sedative containing triazolam respondents specified for past year misuse. |
| Barbiturates | II, III, or IV | Subtype includes Butisol®, Seconal®, phenobarbital, and any other barbiturate respondents specified for past year misuse. Seconal® (secobarbital) is a Schedule II controlled substance. Butisol® (butabarbital) is a Schedule III controlled substance. Phenobarbital is a Schedule IV controlled substance. |
| CSA = Controlled Substances Act of 1970; NSDUH = National Survey on Drug Use and Health. Source: U.S. Drug Enforcement Administration. (2019). Controlled substances. Alphabetical order. Retrieved from https://www.deadiversion.usdoj.gov/ |
||
The National Survey on Drug Use and Health (NSDUH) provides estimates of substance use and mental health issues for the civilian, noninstitutionalized population aged 12 years or older in the United States. Surveys and data systems other than NSDUH also produce findings for substance use and mental health indicators. Integrating information from multiple national data sources, such as those included in this chapter, can provide more complete information about substance use and mental health issues among the U.S. population. Therefore, considering the findings produced from other data sources can be useful in discussions of NSDUH estimates. When data users compare estimates between surveys, it is important for them to understand the methodological differences between surveys and the impact that these differences could have on estimates of substance use and mental health issues. That is, the purpose, data collection, and estimation methods for various sources of mental health and substance use data often differ, making comparisons between them difficult. Some methodological differences that may affect comparisons include, but are not limited to, the populations covered, timing of data collection, sample design, mode of data collection, instruments used, operational definitions, and estimation methods.
This chapter describes data systems that provide information on substance use and mental health indicators, including treatment for substance use problems or the receipt of mental health services. This chapter also presents selected comparisons of estimates from other data sources with NSDUH estimates, both for populations covered and those not covered by NSDUH (e.g., people receiving treatment in facilities as inpatients or residents for an extended period, and people entering treatment as inpatients after having been incarcerated).
This chapter also provides a general overview of other relevant data sources; several other reports provide details comparing estimates from NSDUH and other data sources. These reports include comparisons on the following topics: substance use estimates for adolescents (Center for Behavioral Health Statistics and Quality [CBHSQ], 2012b); substance use estimates among adult male arrestees (Lattimore et al., 2014); estimates of health conditions and health care utilization (Pemberton et al., 2013); and data about utilization of substance use treatment (Batts et al., 2014). For mental health indicators, further information about the data sources described in this chapter and other data systems can be found in a report comparing NSDUH mental health data and methods with those from other data sources (Hedden et al., 2012). These and other CBHSQ reports can be found at https://www.samhsa.gov/data/.
The Behavioral Risk Factor Surveillance System (BRFSS)—a state-based system of health surveys—collects information on health risk behaviors, preventive health practices, and health care access primarily related to chronic disease and injury. The BRFSS surveys are cross-sectional telephone surveys conducted by state health departments with technical and methodological assistance from the Centers for Disease Control and Prevention (CDC). Every year, states conduct monthly telephone surveys of adults (aged 18 or older) in households using random-digit-dialing (RDD) methods; unlike NSDUH, BRFSS excludes people living in group quarters (e.g., dormitories).
Currently, the BRFSS questionnaire has three parts: (1) a core questionnaire, (2) optional modules, and (3) state-added questions. The core questionnaire consists of a standard set of questions asked by all states every year and includes questions on demographic characteristics, alcohol use, and tobacco use; the core component also includes rotating core questions that are included in even- and odd-numbered years. Questions about lifetime depression have been included in the core questionnaire since 2011. Optional modules consist of questions on specific topics that states can elect to include. Although the modules are optional, CDC standards require that states use them without modification. Optional modules addressing mental health topics, such as anxiety, depression, or psychological distress, were included from 2006 to 2013. However, the number of states administering optional modules has varied from year to year. For example, 10 states and Puerto Rico administered the mental illness and stigma module in 2012, but only 5 states did so in 2013.68 States also may include state-added questions at their own expense. However, these questions are not part of the official BRFSS questionnaire. Development of these questions and analysis of data from them are not supported by the CDC.
In 2017, BRFSS collected data from all 50 states, the District of Columbia, Guam, and Puerto Rico (CDC, 2018). More than 400,000 adults are interviewed each year.
Prior to 2011, the sample included only households with landline telephones, and the weighting methodology included a poststratification step. Beginning with the 2011 BRFSS, the sample was expanded to include households with only cellular telephones in addition to those that were covered by landline telephones, and the weighting methodology replaced the poststratification step with raking in order to incorporate more demographic variables (e.g., education level, home ownership) as well as telephone source (landline or cellular telephone). These changes were recognized as having the potential to produce shifts in prevalence estimates in 2011 and subsequent years relative to estimates in prior years that were based on the previous methodology (CDC, 2012). The CDC has since concluded that the BRFSS 2011 prevalence data should be considered a baseline year because of these methodological changes.
Beginning in 2014, all adults contacted via cellular telephone were eligible regardless of whether they also had a landline phone. (In 2011 to 2013, respondents were interviewed if they had only cellular phone coverage, but those who were contacted via cellular phone were not interviewed if they also had a landline phone.) The overlap of sampling frames since 2014 has been accounted for during the weighting process; comparability of data since 2014 with data from 2011 to 2013 was not affected.
BRFSS includes questions on alcohol consumption and tobacco use, but some definitions vary from those used in NSDUH. Since 2015, NSDUH and BRFSS have used corresponding definitions of binge alcohol use (i.e., four or more drinks on an occasion for females and five or more drinks on an occasion for males). Prior to 2015, NSDUH defined binge alcohol use for both males and females as consumption of five or more drinks on an occasion. Definitions of heavy alcohol use and current cigarette use differ between NSDUH and BRFSS. BRFSS defines heavy drinking as more than 14 drinks per week for men and more than 7 drinks per week for women; NSDUH defines heavy alcohol use as binge drinking on 5 or more days in the past month. Current cigarette users are defined in BRFSS as adults who have smoked 100 or more cigarettes in their lifetime and who report that they currently smoke cigarettes. In NSDUH, current cigarette use is defined as any cigarette use in the 30 days prior to the interview.
Methodological differences can also affect comparability between NSDUH and BRFSS estimates. First, national estimates in NSDUH represent the percentage of the entire civilian, noninstitutionalized population aged 12 or older or percentages of all individuals in a given subgroup (e.g., adults aged 18 or older). In contrast, because BRFSS data are collected at the state (or territory) level, national estimates for all 50 states and the District of Columbia from the online analysis tool or in publications that cite BRFSS data typically are presented as median percentages.69 Second, NSDUH utilizes audio computer-assisted self-interviewing (ACASI) for administration of sensitive questions, whereas BRFSS uses computer-assisted telephone interviewing (CATI); ACASI increases respondent privacy for reporting of sensitive behaviors and therefore may yield higher prevalence estimates than in CATI. Response rates also have been higher in NSDUH than BRFSS, which could result in differential nonresponse bias patterns in the two surveys.
These definitional and methodological differences between NSDUH and BRFSS should be considered in the following comparison of estimates. In the 2017 NSDUH, 26.4 percent of adults were estimated to be binge alcohol users in the past month, and 6.7 percent were heavy alcohol users in that period (CBHSQ, 2018a). Online analysis tool data for BRFSS indicated that the median prevalence estimates in 2017 among adults for the 50 states and the District of Columbia were 17.4 percent for binge drinking and 6.3 percent for heavy alcohol use. The prevalence of current cigarette use among adults in NSDUH in 2017 was 19.4 percent; the median BRFSS prevalence for the 50 states and the District of Columbia was 17.1 percent.
For further details, see the BRFSS website at https://www.cdc.gov/brfss/.
Monitoring the Future (MTF) is an ongoing study of substance use trends and related attitudes among America's secondary school students, college students, and adult high school graduates through age 60. MTF provides information on the use of alcohol, illicit drugs, and tobacco. The study is conducted annually by the Institute for Social Research at the University of Michigan through grants awarded by the National Institute on Drug Abuse (NIDA). MTF and NSDUH are the federal government's largest and primary tools for tracking youth substance use. MTF is composed of three substudies: (a) an annual survey of high school seniors that was initiated in 1975, (b) ongoing panel studies of representative samples from each graduating class (i.e., 12th graders) that have been conducted by mail since 1976, and (c) annual surveys of 8th and 10th graders that were initiated in 1991. Each spring, students in the 8th, 10th, and 12th grades complete a self-administered, machine-readable questionnaire during a regular class period. In the MTF that was conducted in 2018, approximately 44,500 students in 392 public and private secondary schools were surveyed for the cross-sectional study (Johnston, Miech, O'Malley, Bachman, Schulenberg, & Patrick, 2019). In addition, approximately 2,400 respondents who participated in the survey of 12th graders are followed longitudinally.70
Comparisons between the MTF estimates for 8th, 10th, and 12th graders and NSDUH estimates for adolescents aged 12 to 17 generally have shown NSDUH substance use prevalence levels to be lower than MTF estimates (see Tables 5.1 to 5.3 and Figures 5.1 to 5.4 at the end of this chapter).71 The lower estimates in NSDUH may be due to more underreporting in the household setting as compared with the MTF school setting and some overreporting in the school settings. However, NSDUH and MTF have generally shown parallel trends in the prevalence of substance use for youths.
The population of inference for the MTF school-based data collection is adolescents who were in the 8th, 10th, and 12th grades; therefore, the MTF does not survey dropouts. The MTF also does not include students who were absent from school on the day of the survey, although they are part of the population of inference. NSDUH has shown that dropouts and adolescents who frequently were absent from school have higher rates of illicit drug use (CBHSQ, 2012b; Gfroerer, Wright, & Kopstein, 1997b). In October 2017, the percentages of individuals who were not currently enrolled in school and had not graduated from high school were 1.8 percent for adolescents aged 14 or 15, 5.0 percent for those aged 16 or 17, 6.9 percent for young adults aged 18 or 19, and 5.5 percent for those aged 20 or 21.72 Depending on the effects of the exclusion of dropouts and frequent absentees, data from MTF may not generalize to the population of adolescents as a whole, especially for older adolescents.
For further details, see the MTF website at http://www.monitoringthefuture.org/
.
Conducted by the University of Michigan's Survey Research Center, the National Comorbidity Survey (NCS) was sponsored by the National Institute of Mental Health (NIMH), NIDA, and the W. T. Grant Foundation. The survey was designed to measure the prevalence, risk factors, and consequences of psychiatric morbidity and comorbidity among the general population. The first wave of the NCS was an interviewer-administered household survey of individuals in the continental United States (i.e., excluding Alaska and Hawaii) that collected data from 8,098 respondents aged 15 to 54 using paper-and-pencil interviewing (PAPI). Survey responses were weighted to produce nationally representative estimates. The interviews took place between 1990 and 1992. The NCS used a modified version of the Composite International Diagnostic Interview (the University of Michigan [UM]-CIDI) to estimate the prevalence of mental disorders according to the criteria of the Diagnostic and Statistical Manual of Mental Disorders, 3rd revised edition (DSM-III-R) (American Psychiatric Association [APA], 1987).
The NCS provides information on the use of alcohol, illicit drugs, and tobacco. The NCS data also allow estimates to be produced from the following classes of disorders: mood disorders (major depressive disorder [MDD], bipolar disorder, dysthymia), anxiety disorders (panic disorder, agoraphobia, social phobia, simple phobia, generalized anxiety disorder), substance use disorders (SUDs) (alcohol abuse, alcohol dependence, drug abuse, drug dependence), antisocial personality disorder (ASPD), and nonaffective psychosis.
A published estimate from the 1990 to 1992 NCS of the prevalence of one or more disorders (including SUDs) was 29.5 percent in the past 12 months among adults aged 18 to 54 (Kessler et al., 1994). The NSDUH estimate for the prevalence of any mental illness (AMI) for adults was 19.1 percent in 2018 (CBHSQ, 2019d). One difference between the two studies is how they define "one or more disorders." The NCS included respondents with SUDs. For NSDUH, the operational definition of AMI excludes SUDs.73 Methodological differences between the two surveys that could affect the estimates include the following:
Furthermore, given that data from the surveys were collected at different times (2018 for NSDUH vs. 1990 to 1992 for the NCS), differences in estimates could reflect changes in population prevalence.
For further details, see the NCS website at https://www.hcp.med.harvard.edu/ncs/
.
There have been several follow-ups to and replications of the original NCS, including a replication study (the National Comorbidity Survey Replication [NCS-R]) conducted in 2001 to 2003 with a newly recruited, nationally representative, multistage, clustered-area probability sample of 9,282 U.S. respondents aged 18 or older (Kessler et al., 2004a). As in the NCS, the sample for the NCS-R excluded Alaska and Hawaii. Conducted by the University of Michigan's Survey Research Center, the NCS-R was sponsored through a grant from NIMH, with supplemental support from NIDA, the Substance Abuse and Mental Health Services Administration (SAMHSA), the Robert Wood Johnson Foundation, and the John W. Alden Trust. Interviews were conducted using computer-assisted personal interviewing (CAPI). Unlike the NCS, which used DSM-III-R criteria, the NCS-R used DSM-IV criteria for measuring substance use and mental disorders. Specifically, the NCS-R used a modified version of the World Mental Health Version of the Composite International Diagnostic Interview (WMH-CIDI) (Kessler & Üstün, 2004) to generate diagnoses according to the definitions and criteria of DSM-IV. Disorders assessed in the NCS-R included anxiety disorders (adult separation anxiety disorder, agoraphobia, generalized anxiety disorder, panic disorder, posttraumatic stress disorder [PTSD], social phobia, specific phobia), mood disorders (bipolar I, bipolar II, dysthymia, MDD), impulse control disorders (attention deficit disorder, conduct disorder, intermittent explosive disorder, oppositional-defiant disorder), and SUDs (alcohol abuse, alcohol dependence, drug abuse, drug dependence, nicotine dependence).
Rates of alcohol dependence or abuse and rates of illicit drug dependence or abuse were generally lower in NCS-R than in NSDUH. The 2001 to 2003 NCS-R estimate of any past year alcohol or illicit drug use disorder among adults was 3.8 percent (Kessler, Chiu, Demler, Merikangas, & Walters, 2005). NSDUH estimates of past year SUDs among adults were 9.4 percent in 2002 and 9.1 percent in 2003 (Office of Applied Studies [OAS], 2004). For SUDs, it should be noted that in the NCS-R questionnaire, only those respondents who reported at least one symptom of abuse were asked questions about dependence for a given substance (e.g., alcohol) (Harvard School of Medicine, 2005). This approach differs from the DSM-IV guidelines and the way in which SUDs are assessed in the NSDUH interview. Likewise, in several published reports of NCS-R data (e.g., Kessler et al., 2005), respondents were classified as having abuse even if they also met criteria for dependence on that substance. In contrast, NSDUH follows DSM-IV guidelines and limits the classification of abuse to individuals who do not meet the criteria for dependence on that substance.
In an analysis of the NCS-R data, respondents with any 12-month mental disorder (excluding SUD) were identified as having past year SMI if they also had at least one of the following: bipolar I disorder or nonaffective psychosis, suicide attempt, at least two areas in which severe role impairment occurred as measured by the Sheehan Disability Scale (SDS) (Leon et al., 1997), or the presence of functional impairment consistent with a Global Assessment of Functioning (GAF) (Endicott et al., 1976) score of 50 or less (Kessler et al., 2006). This produced an estimate of SMI among adults of 5.8 percent in the past year for 2001 to 2003. The 2018 NSDUH estimate for SMI among adults was 4.6 percent (CBHSQ, 2019d). Furthermore, for the NCS-R, 26.2 percent of adults aged 18 or older were estimated to have any disorder in the past 12 months (including SUDs) (Kessler et al., 2006); when SUDs were excluded, the estimate of any disorder was 24.8 percent (Druss et al., 2009; Kessler et al., 2006). As noted previously, the 2018 NSDUH estimate for the prevalence of AMI among adults was 19.1 percent.
The NSDUH estimates for SMI and AMI were based on statistical prediction models that were developed using clinical and main interview data from separate subsamples of respondents who were interviewed in 2008 to 2012 (see Section 3.4.7 in this report). That is, information derived from the NSDUH interview (age, psychological distress, functional impairment, suicidal thoughts, and depression) was used for the independent variables in a statistical model that predicts mental illness. The dependent variable was the presence of SMI and was based on in-depth, structured clinical interviews conducted by trained clinical interviewers. This model was used to produce estimates of SMI and AMI in the full NSDUH sample. In contrast, the NCS-R measures were directly estimated based on structured diagnostic interviews by lay interviewers.
Differences in estimates of SMI and AMI between the NCS-R and NSDUH also could be due in part to various other methodological differences between the surveys. In addition to the different years represented in each survey (the NCS-R data were collected from 2001 to 2003 vs. NSDUH data in 2018), the NCS-R data were collected using interviewer-administered questionnaires through CAPI, and NSDUH employed self-administration with ACASI. As noted above, the NCS-R and NSDUH also used different methods for estimating SMI and AMI.
The definitions and disorders covered by NSDUH and the NCS-R also differ. Several published estimates of any mental disorder that used NCS-R data have included individuals whose only disorder was an SUD (Kessler et al., 2006). In contrast, the models used for NSDUH's estimates of AMI did not include people with only SUDs. The NCS-R also included mental disorders that were not assessed in the clinical study used to develop the prediction models of AMI and SMI in NSDUH. In addition, several estimates of SMI have been published with NCS-R data using various operational definitions (Kessler et al., 2006) that differ slightly from those that use NSDUH data for estimates of SMI.
Estimates of past year major depressive episode (MDE) (7.6 percent), serious thoughts of suicide (2.6 percent), and suicide plans (0.7 percent) and attempts (0.4 percent) among adults also have been produced using the NCS-R data (Borges et al., 2006; Kessler et al., 2003b). The 2018 NSDUH estimate of past year MDE was 7.2 percent. The 2018 NSDUH estimates of suicidal thoughts and suicide plans (4.3 and 1.3 percent, respectively) were higher than the NCS-R estimates. The 2018 NSDUH estimate for suicide attempts (0.6 percent) was not significantly different from the estimate in the NCS-R (CBHSQ, 2019d). Although the items used to develop the MDE estimate from NSDUH are based on the items used in the NCS-R, slight revisions to the items in NSDUH were required for the ACASI environment. More importantly, the context in which the depression items are presented and the placement of the depression items differ between the NCS-R and NSDUH.
In the NCS-R, the three screening questions for MDE75 were followed by screening questions for symptoms of bipolar disorder, irritable depression, anxiety, SUD, phobias, and impulse control disorders. Following the screening questions, NCS-R respondents who answered affirmatively to any of the screening questions for depression were asked about depression symptoms. Also, questions about depression appeared relatively early in the NCS-R interview.
For NSDUH, adults who gave affirmative answers to any of the three same screening questions for MDE as in the NCS-R are routed directly to further questions about depression without being asked screening questions for other disorders. The depression questions for adults also appear later in the NSDUH interview, after respondents have been asked questions about substance use, SUD (if applicable), arrests, treatment for problems with substance use (if applicable), physical health conditions, use of mental health services, and additional mental health issues (i.e., psychological distress, difficulty carrying out activities because of psychological distress, and suicidal thoughts and behavior).
In addition, the items used in the NCS-R and NSDUH to assess serious thoughts of suicide and suicidal behavior are different. The NCS-R first required respondents to report lifetime suicidal thoughts, plans, or behavior before they were asked whether these occurred in the past 12 months. In NSDUH, adult respondents are asked directly about suicidal thoughts and behavior in the past 12 months.
For further details, see the NCS website at https://www.hcp.med.harvard.edu/ncs/
.
The National Comorbidity Survey Replication Adolescent Supplement (NCS-A) was designed to estimate the lifetime and current prevalence, age of onset, course, and comorbidity of DSM-IV disorders among adolescents in the United States; to identify risk and protective factors for the onset and persistence of these disorders; to describe patterns and correlates of service use for these disorders; and to lay the groundwork for subsequent follow-up studies that can be used to identify early expressions of adult mental disorders. Similar to the NCS-R, the NCS-A was conducted by the University of Michigan's Survey Research Center and was sponsored through a grant by NIMH, with supplemental support from NIDA, SAMHSA, the Robert Wood Johnson Foundation, and the John W. Alden Trust. The NCS-A consisted of a sample, collected from 2001 to 2004, of adolescents aged 13 to 17. The sample included 904 adolescents from households that participated in the NCS-R and 9,244 respondents from a nationally representative sample of 320 public and private secondary schools (Kessler et al., 2009). Similar to the NCS and NCS-R, the sample for the NCS-A excluded Alaska and Hawaii. All adolescents were interviewed in their homes using CAPI.76
Findings from the NCS-A indicated that 8.2 percent of adolescents aged 13 to 17 had MDD or dysthymia77 in the past 12 months (Kessler et al., 2012). The 2018 NSDUH estimate of MDE in the past year among adolescents aged 12 to 17 was 14.4 percent (CBHSQ, 2019d). However, these estimates are not comparable because MDD, dysthymia, and MDE have different diagnostic criteria. Estimates from these surveys also could be affected by differences such as mode of administration (ACASI for NSDUH vs. CAPI for the NCS-A) and when the data were collected (2018 for NSDUH vs. 2001 to 2004 for the NCS-A).
Estimates of any SUD in the past year among adolescents (excluding nicotine dependence) were similar for the NCS-A (7.8 percent) and the 2010 NSDUH (7.3 percent) (Kandel, Hu, & Griesler, 2013). The 2010 NSDUH estimates of dependence (alcohol: 1.7 percent; illicit drugs: 2.5 percent) tended to be higher than the NCS-A estimates (alcohol: 1.0 percent; illicit drugs: 1.1 percent). Similar to the situation that was described previously for the adult SUD estimates from the NCS-R, only those NCS-A respondents who reported at least one symptom of abuse were asked questions about dependence for a given substance (e.g., alcohol). This approach differs from the DSM-IV guidelines and from the way in which SUDs are assessed in the NSDUH interview. The NCS-A estimate for illicit drug abuse (4.5 percent) was higher than the 2010 NSDUH estimate (2.2 percent).
For further details, see the NCS website at https://www.hcp.med.harvard.edu/ncs/
.
The NCS data mentioned previously that were collected between 1990 and 1992 have been used by the Uniform Reporting System (URS) of the Center for Mental Health Services (CMHS) to produce state-level SMI estimates (Kessler et al., 2003a, 2003b, 2006). Using data from the NCS and the Baltimore site of the Epidemiologic Catchment Area (ECA) research project, methods were developed to estimate SMI (Kessler et al., 1996, 1998, 2001). The definition of SMI was operationalized as respondents having met the following criteria: (1) presence of a "severe" and persistent mental illness as defined by the National Advisory Mental Health Council of NIMH (National Advisory Mental Health Council, 1993) or (2) respondents with another past 12-month DSM-III-R mental disorder (excluding "V" codes in the DSM,78 SUD, and developmental disorders) and a planned suicide, attempted suicide, lack of a productive role, serious role impairment, or serious interpersonal impairment (Kessler et al., 1996, 2001). Impairment was assessed using questions that were included in the NCS and the ECA for other purposes (Kessler et al., 2001; Narrow, Rae, Robins, & Regier, 2002). The SMI prevalence for the total population aged 18 or older based on the NCS and the ECA was 5.4 percent (Kessler et al., 1996).
Specifically, the URS selected a method for estimating state-level SMI prevalence that used the combined NCS data and data from the Baltimore site of the ECA by applying a model that controlled for demographic and geographic characteristics and corresponding census data (Kessler et al., 1998, 2004b). CMHS (1999) announced this methodology in the Federal Register as its final procedure for estimating the number of adults with SMI within each state. Through the URS, the CMHS has continued to provide state and national estimates of the prevalence of SMI among the civilian population aged 18 years or older that fixes the national SMI prevalence at 5.4 percent. Estimates of SMI by state are updated annually by applying updated population characteristics when new population data become available through the U.S. Census Bureau. Notably, this estimation method assumes that the prevalence of SMI in the adult population within the modeled demographic and geographic categories is homogeneous across states and does not change over time.
In contrast to the estimated prevalence of 5.4 percent among adults based on the NCS and the ECA, the estimated prevalence of SMI based on 2018 NSDUH data was 4.6 percent among adults (CBHSQ, 2019d). Several important differences between NSDUH and the URS that could affect estimates of mental illness warrant discussion. Most importantly, the URS assumes a national prevalence of SMI of 5.4 percent based on research conducted in the mid-1990s and the assumption that estimates for Baltimore hold true for the rest of the nation. In contrast, the 2018 NSDUH estimates are based on a statistical model developed using clinical interview data from separate subsamples of NSDUH respondents that were collected in 2008 to 2012, in combination with data from NSDUH interviews for all adults that were conducted in 2018. The difference between the research periods on which the SMI estimates are based is a key distinction between NSDUH and the URS. In particular, SMI estimates using the pooled NCS and ECA data used the Diagnostic and Statistical Manual of Mental Disorders, 3rd edition (DSM-III) (APA, 1980), and DSM-III-R (APA, 1987) diagnostic criteria. NSDUH interview data were based on DSM-IV (APA, 1994) criteria.
The National Health and Nutrition Examination Survey (NHANES) has assessed the health and nutritional status of children and adults in the United States since the 1960s through the use of both survey and physical examination components. It is sponsored by the National Center for Health Statistics (NCHS) and began as a series of periodic surveys in which several years of data were combined into a single data release. Since 1999, it has been a continuous survey, with interview data collected each year for approximately 5,000 individuals of all ages. The target population for NHANES is the civilian, noninstitutionalized population from birth onward. Aggregated data for 2015-2016 are the most current data available for public use; 2 years of data are combined to protect respondent confidentiality. Data are released to the 2015-2016 public use file on a flow basis.79
NHANES interviews are conducted in respondents' homes. NHANES includes two components: a household interview component that is administered through CAPI and a mobile examination center (MEC) component that collects physical health measurements and data on sensitive topics through ACASI; MECs travel to locations throughout the United States. The household interview component includes a family questionnaire that collects household- and family-level information and a sample person questionnaire that collects individual-level information on the selected participants.80 In the household interview component, NHANES participants who were aged 16 or older answer for themselves; a proxy respondent provides information for participants who were younger than 16 or who could not answer themselves. The CAPI interviews were conducted in English or Spanish. The ACASI instrument in the MEC component is available in English, Spanish, and the following Asian languages: Chinese (traditional or simplified Mandarin or Cantonese), Korean, and Vietnamese.81 In the 2015 and 2016 NHANES, 15,327 individuals were selected, 9,971 completed the household interview, and 9,544 were examined.
Questions about cigarette smoking were administered to adult respondents in the household interview component using CAPI. The NHANES MEC interview also includes questions on alcohol, illicit drug, and tobacco use. The content of the MEC component varies according to the age of the household members who are selected for this component. Tobacco and alcohol use questions in the MEC component are administered to respondents aged 12 to 17 using ACASI, and the alcohol questions are administered to adults using CAPI. Illicit drug use questions in the MEC component are administered to respondents aged 12 to 69 using ACASI. Substance use data for adolescents are not available on public use files to protect respondent confidentiality.
Both NSDUH and NHANES use complex cluster sample designs that affect the precision of estimates. In addition, the smaller sample sizes for NHANES (i.e., 5,000 per year vs. 67,500 per year for NSDUH) are likely to yield estimates that are less precise than those in NSDUH. The sources of nonresponse and coverage bias also differ for the two surveys. For example, NHANES respondents have to travel to an MEC to respond to the substance use items, which may eliminate homebound respondents or affect the participation of respondents with limited access to transportation.
Substance use estimates from NHANES for adolescents based on combined data from 1999 to 2004 indicated that 13.0 percent of youths aged 12 to 17 had smoked cigarettes in the past 30 days, 21.1 percent had used alcohol in the past 30 days, and 10.4 percent were past month binge alcohol users. An estimated 21.1 percent of youths had ever tried marijuana, and 2.4 percent had ever used cocaine (Fryar, Merino, Hirsch, & Porter, 2009). NSDUH estimates for youths aged 12 to 17 in 2002 to 2004 ranged from 11.9 to 13.0 percent for past month use of cigarettes, from 17.6 to 17.7 percent for past month alcohol use, and from 10.6 to 11.1 percent for past month binge alcohol use. Lifetime use of marijuana in 2002 to 2004 among youths ranged from 19.0 to 20.6 percent, and lifetime use of cocaine ranged from 2.4 to 2.7 percent.
The sample person questionnaire for NHANES that is administered through CAPI also asks respondents82 whether they used or took medication in the past 30 days "for which a prescription is needed."83 Analyses of 2015 NSDUH data for any use of prescription drugs in the past year and 2013-2014 NHANES data for any use of prescription drugs in the past 30 days are discussed in detail in a separate NSDUH report on the evaluation of the partial redesign of the 2015 NSDUH questionnaire (CBHSQ, 2017a). In brief, the NSDUH and NHANES data were consistent in terms of which prescription drug subtypes were reported most often and which were reported least often. Both data sources showed hydrocodone products to be the most commonly reported pain reliever subtype, alprazolam products to be the most commonly reported tranquilizer subtype, and zolpidem to be the most commonly reported sedative subtype. For stimulants, NSDUH and NHANES showed amphetamines that are prescribed for the treatment of attention-deficit/hyperactivity disorder (ADHD) as being the most commonly used stimulant subtype, followed by methylphenidate products, which also are prescribed for ADHD.
Because the estimates for both surveys were subject to sampling error, the relative rankings of prescription drug subtypes in each survey could have shifted—especially for estimates that were close to one another—if new samples had been drawn. In addition, statistical comparisons were not made because the NSDUH data pertained to the past 12 months and the NHANES data pertained to the past 30 days. As noted previously, these data sources also differed in terms of (a) the types of questions (e.g., NHANES respondents being asked to show containers of prescription drugs, which could encourage respondents to report use of medications for which they had legitimate prescriptions and to underreport misuse of medications without a prescription of their own); (b) mode of administration (ACASI in NSDUH and CAPI in NHANES); (c) whether proxy respondents (in NHANES) or the respondents themselves (in NSDUH) answered for sample members aged 12 to 15; (d) sample sizes (68,073 respondents aged 12 or older in the 2015 NSDUH vs. 7,201 respondents in this age range for the 2013-2014 NHANES84); and (e) when the data were collected.
For further details, see the NHANES website at https://www.cdc.gov/nchs/nhanes/index.htm.
The National Health Interview Survey (NHIS) is a continuous, nationally representative sample survey that collects data using personal household interviews through CAPI. The survey is sponsored by the NCHS and provides national estimates of the health status, access to care and insurance, health service utilization, and health behaviors of the civilian, noninstitutionalized population, including cigarette smoking and alcohol use among adults aged 18 or older. NHIS data have been collected since 1957. In 2017, there were four main components of the survey: the Household Composition section, which collects basic demographic and relationship information for all individuals in the household; the Family Core, which collects information about all family members, typically from a respondent (the "household respondent") who is of legal majority age in the state;85 the Sample Adult Core, which collects information from one adult aged 18 or older in each family; and the Sample Child Core, which collects information on youths under age 18 from a knowledgeable family member, usually a parent, in households with a child. The 2017 NHIS public use file had data for 32,617 households containing 78,132 individuals. Sample sizes for the Sample Adult Core and Sample Child Core were 26,742 and 8,845, respectively. The household response rate was 66.5 percent. Final response rates were 65.7 percent for the Family Core, 53.0 percent for the Sample Adult Core, and 60.2 percent for the Sample Child Core (NCHS, 2018a).
The NHIS estimates of substance use for adults are not strictly comparable with NSDUH estimates. For example, in the NHIS, consumption of five or more drinks on at least 1 day is measured for the past year, whereas the reference period for NSDUH is the past 30 days. Similar to BRFSS, adults in the NHIS are defined as current cigarette users if they smoked at least 100 cigarettes in their lifetime and also reported that they currently smoke. In 2017, 14.0 percent of adults were current cigarette users based on the definition used in the NHIS (NCHS, 2018b). The 2017 NSDUH estimate of current cigarette use among adults was 19.4 percent (CBHSQ, 2018a).
For further details, see the NHIS website at https://www.cdc.gov/nchs/nhis/index.htm.
The National Epidemiologic Survey on Alcohol and Related Conditions (NESARC) was preceded by the National Longitudinal Alcohol Epidemiologic Survey (NLAES). The NLAES was conducted in 1991 and 1992 by the U.S. Bureau of the Census for the National Institute on Alcohol Abuse and Alcoholism (NIAAA). Face-to-face, interviewer-administered interviews using paper-and-pencil questionnaires were conducted with 42,862 respondents aged 18 or older in households in the contiguous United States. Despite the survey name, the design was cross-sectional.
NESARC's first wave was conducted using CAPI in 2001 and 2002, also by the U.S. Bureau of the Census for NIAAA. The NESARC sample of adults aged 18 or older was designed to make inferences for the adult civilian, noninstitutionalized population of the United States, including Alaska, Hawaii, and the District of Columbia, and including people living in noninstitutional group quarters. NESARC's 2001 and 2002 initial wave had a final sample size of 43,093 respondents aged 18 or older. Its second wave was conducted in 2004 and 2005, in which 34,653 respondents were reinterviewed (Grant & Dawson, 2006; NIAAA, 2010).
NESARC-III is the most recent cross-sectional survey based on a nationally representative sample of the civilian, noninstitutionalized population of the United States aged 18 years or older. Black, Hispanic, and Asian adults were oversampled to allow reliable estimates to be made for these groups. The survey was conducted by Westat for NIAAA from April 2012 through June 2013 using CAPI. The final sample size of adults was 36,309, including adults living in households and in selected noninstitutional group quarters (Grant et al., 2015).
NESARC contains assessments of alcohol, tobacco, and other drug use, as well as dependence and abuse and certain mental disorders. The first wave of NESARC included an extensive set of questions based on DSM-IV criteria (APA, 1994) and was designed to assess the presence of symptoms of alcohol or drug dependence or abuse in people's lifetimes and during the prior 12 months. For the 2001 and 2002 NESARC, estimates of the prevalence of major mental disorders based on the DSM-IV were generated using the Alcohol Use Disorder and Associated Disabilities Interview Schedule-IV (AUDADIS-IV), which is a structured, diagnostic interview that captures major DSM-IV axis I and axis II disorders. NESARC-III used the AUDADIS-5, which assesses SUD based on DSM-5 criteria (APA, 2013; Hasin et al., 2015). Mood disorders assessed in NESARC included MDD, dysthymia, bipolar I disorder, and bipolar II disorder. Anxiety disorders that were assessed included panic disorder (with or without agoraphobia), social phobia, specific phobia, and generalized anxiety disorder (Grant et al., 2004). An additional component of NESARC-III was collection of saliva samples from consenting respondents to obtain DNA.
Prior research comparing estimates from NSDUH and the first wave of NESARC has indicated the following: (a) prevalence estimates for substance use were generally higher in NSDUH than in NESARC; (b) rates of past year SUD for cocaine and heroin use were higher in NSDUH than in NESARC; (c) rates of past year SUD for use of alcohol, marijuana, and hallucinogens were similar between NSDUH and NESARC; and (d) prevalence estimates for past year SUD conditional on past year use were substantially lower in NSDUH for the use of marijuana, hallucinogens, and cocaine (Grucza, Abbacchi, Przybeck, & Gfroerer, 2007). NSDUH estimates in 2012 and 2013 also were higher than NESARC-III estimates from 2012 to 2013 for past year cocaine use (Kerridge et al., 2019) and lifetime heroin use (Martins et al., 2017).
However, NESARC-III estimates of past year alcohol use among adults were greater than corresponding NSDUH estimates in 2012 and 2013. An estimated 72.7 percent of adults aged 18 or older in 2012-2013 were past year alcohol users based on NESARC-III (Dawson, Goldstein, Saha, & Grant, 2015). Corresponding NSDUH estimates for past year alcohol use among adults were 71.0 percent for 2012 and 70.7 percent for 2013. An estimated 4.1 percent of adults aged 18 or older in 2012-2013 were past year nonmedical prescription opioid users based on NESARC-III (Saha et al., 2016). Based on the redesigned prescription drug questions beginning with the 2015 NSDUH, 4.7 percent of adults in 2015, 4.3 percent in 2016, 4.2 percent in 2017, and 3.7 percent in 2018 misused prescription pain relievers in the past year (CBHSQ, 2019d). Although the data collection periods differ between NESARC-III and the 2015 through 2017 NSDUHs, the NSDUH definition of misuse of prescription drugs from the partially redesigned NSDUH questionnaire corresponds closely with the NESARC-III definition.86
As noted previously, NESARC-III assessed past year SUD prevalence based on the DSM-5 criteria. The NESARC-III questionnaire also allowed SUD estimates to be made based on the DSM-IV criteria. NESARC-III prevalence estimates for SUD in the past year among adults aged 18 or older in 2012 and 2013 based on the DSM-IV criteria were 14.6 percent for any SUD (i.e., for alcohol or illicit drugs), 12.7 percent for alcohol use disorder, and 4.1 percent for illicit drug use disorder (Goldstein et al., 2015). These estimates were greater than corresponding estimates for adults from the 2012 NSDUH (8.8 percent for any SUD, 7.2 percent for alcohol use disorder, and 2.7 percent for illicit drug use disorder). However, not all SUD estimates from NESARC-III that were based on DSM-IV criteria were greater than NSDUH estimates in 2012 and 2013. For example, the NSDUH estimates of past year cocaine use disorder among adults were 0.5 percent in 2012 and 0.4 percent in 2013. The NESARC-III estimate based on DSM-IV criteria was 0.4 percent when rounded to the nearest tenth of a percent (Kerridge et al., 2019).
NESARC-III data indicated that 10.4 percent of adults in 2012 to 2013 were estimated to have had MDD in the past year (Hasin et al., 2018). The NESARC estimate excluded depressive cases in which symptoms were caused by substance use or a medical condition; these exclusions were not made for the NSDUH estimate of MDE. The estimates of past year MDE among adults were 6.9 percent in the 2012 NSDUH and 6.7 percent in the 2013 NSDUH (CBHSQ, 2019d).
A number of methodological factors might have contributed to prior differences in estimates between NSDUH and NESARC, including privacy and anonymity. Questions about sensitive topics in NSDUH are self-administered, while similar questions are interviewer administered in NESARC, which may have resulted in higher substance use estimates in NSDUH, especially compared with estimates in earlier waves of NESARC. In addition, differences in instrumentation for measurement of SUD and mental disorders, including differences in item sequencing and the context of questions, may have resulted in differences in prevalence estimates between the two surveys (e.g., AUDADIS-5 for NESARC-III and depression questions adapted from the NCS-R for NSDUH).
For further details, see the NESARC-III website at https://www.niaaa.nih.gov/research/nesarc-iii.
The National Longitudinal Study of Adolescent Health (Add Health) was conducted to measure the effects of family, peer group, school, neighborhood, religious institution, and community influences on health risks, such as tobacco, drug, and alcohol use. Add Health was initiated in 1994 and supported by grants from the Eunice Kennedy Shriver National Institute of Child Health and Human Development (NICHD) with cofunding from 23 other federal agencies and foundations.
The study began in 1994-1995 (wave I) with an in-school questionnaire administered to a nationally representative sample of 90,000 students in grades 7 to 12 in 144 schools and followed up with an in-home interview. In wave I, the students were administered brief, machine-readable questionnaires during a regular class period. Interviews also were conducted with about 20,000 students and their parents in the students' homes using a combined CAPI and ACASI design. In wave II, conducted in 1996, about 15,000 students in grades 8 to 12 were interviewed a second time in their homes. In wave III in 2001-2002, about 15,000 of the original Add Health respondents, then aged 18 to 26, were reinterviewed to investigate how adolescent experiences and behaviors are related to outcomes during the transition to adulthood. Wave IV was conducted in 2007-2008 when the approximately 15,000 respondents were aged 24 to 32. Add Health is reinterviewing cohort members in a wave V follow-up from 2016-2018 to collect social, environmental, behavioral, and biological data with which to track the emergence of chronic disease as the cohort moves through their fourth decade of life.
The study provides information on the use of alcohol, illicit drugs, and tobacco and has measured SUDs in some waves of the study. The longitudinal design of Add Health, in which the same sample of respondents is followed over time (and is subject to attrition in later waves of the survey), limits the kinds of comparisons that can be made with cross-sectional NSDUH data, in which estimates are based on independent samples. Consequently, findings for Add Health tend to be reported for substance use and mental health measures either as predictor variables (e.g., whether substance use in an earlier wave predicts another outcome in a later wave) or as outcome variables (e.g., whether other characteristics in an earlier wave predict substance use in later waves). Another factor that affects comparability of Add Health and NSDUH data is differences in measures. For example, binge alcohol use for Add Health has been defined as having five or more drinks in one setting more than once a month in the past year (Humensky, 2010). Since 2015, NSDUH has defined binge alcohol use in terms of consumption of four or more drinks for females or five or more drinks for males on 1 or more days in the past month, regardless of the frequency of this behavior in the past year. Also, estimates of alcohol dependence or abuse have been reported for the lifetime period for Add Health (Haberstick et al., 2014). In NSDUH, the estimates are measured for the past year.
Nevertheless, one study that analyzed Add Health data reported that the estimates of past month cigarette smoking ranged from 28 percent in wave I to 35 percent based on respondents followed through waves II and III (i.e., when respondents were young adults), and 39 percent in wave IV, when respondents were in their mid-20s to early 30s (Pampel, Mollborn, & Lawrence, 2014). In another study, estimates of past month marijuana use were 13.70 percent in wave I and 23.98 percent in wave III. Past month cocaine use went from 1.10 percent in wave I to 3.69 percent in wave III (Humensky, 2010).
For further details, see the Add Health website at https://www.cpc.unc.edu/projects/addhealth
.
Since 2001, the Health Resources and Services Administration's (HRSA's) Maternal and Child Health Bureau (MCHB) has sponsored the National Survey of Children's Health (NSCH) and its companion survey, the National Survey of Children with Special Health Care Needs (NS-CSHCN). These studies were designed to provide national- and state-level prevalence estimates for a variety of physical health, substance use, and mental health indicators among children aged 0 to 17 in the United States. The NSCH was previously conducted in 2003, 2007, and 2011-2012; the NS-CSHCN was conducted three times between 2001 and 2010 (2001, 2005-2006, and 2009-2010). The surveys were conducted as modules of the State and Local Area Integrated Telephone Survey (SLAITS) system by the NCHS. SLAITS used RDD sampling of landline telephone numbers, with cellular telephone supplementation in the last year of administration for both surveys.
In 2015, the MCHB redesigned the NSCH and NS-CSHCN into a single combined survey, incorporating questions from both surveys and retaining the NSCH name. The most recent data collection since the redesign took place was in 2017 and was conducted by the U.S. Census Bureau on behalf of the NCHS. The redesigned survey uses an address-based sampling frame in which addresses are randomly sampled within states. Administrative records from multiple sources are then used to identify households with children. Households believed to contain children are placed into one sampling stratum, and the remaining households are placed into a second stratum; addresses in the first stratum are sampled at a higher rate than those in the second. Starting in 2017, addresses in the second stratum were further subdivided according to their probability of children being present; however, the substratum with a very low probability of children being present was excluded from the sampling.87 In households with more than one child, the age and special health care needs of those children are used to randomly select one child for the survey, with children with special health care needs and children aged 5 or younger having a higher probability of selection.
Households are first mailed an invitation for a parent to complete the household screening and to respond to the survey for the sampled child, with instructions for accessing web-based screening and survey instruments. Parents who prefer not to complete the survey online can call a toll-free number to complete the screening and survey using a telephone, or they can complete paper-and-pencil screening and survey instruments that are mailed to the household address. Screening and survey instruments are available in English and Spanish; Spanish-speaking household members who request to be interviewed over the telephone are placed in a Spanish-language calling queue and are assigned to a trained agent who answers any questions and enters data into the Spanish-language web instruments. NSCH results are weighted to represent the population of noninstitutionalized children aged 0 to 17 years nationally and in each state (U.S. Census Bureau, 2018).
The parent completing the survey is asked whether a doctor or other health professional ever told the parent that the child had specific mental health conditions, including depression. If the parent reported being told that the child ever had depression, the parent is asked whether the child currently has depression and, if so, whether the adult would describe the child's depression as mild, moderate, or severe. Estimates for depression from the 2017 NSCH are presented for children aged 3 to 17. Based on NSCH data for 2017, the estimated prevalence of current depression nationally among adolescents aged 12 to 17 was 5.6 percent, and 2.8 percent of adolescents were described as currently having moderate or severe depression.88 The 2018 NSDUH estimate of MDE in the past year among adolescents aged 12 to 17 was 14.4 percent, and 10.0 percent had MDE with severe impairment (CBHSQ, 2019d).
Methodological differences between the two surveys that could affect the estimates of depression among adolescents include the following: (a) the modes of administration (ACASI in for NSDUH vs. mixed-mode administration [web, telephone, or paper-and-pencil] for the NSCH); (b) the source of information about an adolescent's health (direct self-reports from an adolescent respondent in NSDUH vs. parental reports in the NSCH); (c) differences in measures for estimating the prevalence and severity of depression;89 and (d) differences in the reference period for recent depression (past 12 months in NSDUH vs. "currently" in the NSCH). Response rates were 65.8 percent for adults aged 18 or older in the 2018 NSDUH (see Table 3.4 in this report) and 37.4 percent overall in the 2017 NSCH (U.S. Census Bureau, 2018). Thus, differential nonresponse bias patterns could contribute to differences in estimates between these two surveys.
For further details, see the NSCH website at https://www.childhealthdata.org/learn-about-the-nsch/NSCH
.
Since 1991, the national Youth Risk Behavior Survey (YRBS) has been a component of the CDC's Youth Risk Behavior Surveillance System (YRBSS), which measures the prevalence of six priority health risk behavior categories: (a) behaviors that contribute to unintentional injuries and violence; (b) tobacco use; (c) alcohol and other drug use; (d) sexual behaviors related to unintended pregnancy and sexually transmitted diseases, including human immunodeficiency virus infection; (e) unhealthy dietary behaviors; and (f) physical inactivity. The YRBSS includes state, territorial, tribal, and local school-based surveys of high school students conducted every 2 years. The national school-based survey uses a three-stage cluster sample design to produce a nationally representative sample of students in grades 9 through 12 who attend public and private schools. The state and local surveys use a two-stage cluster sample design to produce representative samples of public school students in grades 9 through 12 in their jurisdictions. The national YRBS is conducted biennially during the spring, with students completing a self-administered, machine-readable questionnaire during a regular class period. For the 2017 national YRBS (the latest that has been conducted), 15,624 usable questionnaires were obtained from students in 125 schools.
In general, the YRBS school-based survey has found higher rates of substance use for youths than those found in NSDUH (Tables 5.1 and 5.3). The lower prevalence rates in NSDUH are likely due to the differences in study design. As in the case of comparisons with estimates from the MTF and other school-based surveys, the lower prevalences in NSDUH may be due to more underreporting in the household setting, as compared with the YRBS school setting, and to some overreporting in the school settings (CBHSQ, 2012b).
Similar to other school-based surveys, the population of inference for the YRBS is the population of adolescents who are in school, specifically those in the 9th through 12th grades. Consequently, the YRBS does not include data from dropouts. The YRBS makes follow-up attempts to obtain data from youths who were absent on the day of survey administration but nevertheless does not obtain complete coverage of these youths. For these reasons, YRBS data are not intended to be used for making inferences about the adolescent population of the United States as a whole.
For further details, see the YRBS website at https://www.cdc.gov/healthyyouth/data/yrbs/index.htm.
SAMHSA's Behavioral Health Services Information System (BHSIS, formerly the Drug and Alcohol Services Information System, or DASIS) includes three components that provide national- and state-level information on the numbers and characteristics of individuals admitted to substance use treatment programs and that describe the facilities that deliver care to those individuals. The core of BHSIS is the Inventory of Behavioral Health Services (I-BHS), a comprehensive listing of all known substance use treatment and mental health care facilities. The focus of I-BHS is to update information continually; therefore, summary statistics about I-BHS are not included in this section. The two other components of BHSIS are described in this section: the National Survey of Substance Abuse Treatment Services (N-SSATS) and the Treatment Episode Data Set (TEDS).
The National Survey of Substance Abuse Treatment Services (N-SSATS) started in 2000 and is an annual census of all known drug and alcohol abuse treatment facilities in the United States and U.S. jurisdictions. The 2017 N-SSATS facility universe totaled 17,029 facilities. About 9 percent of the facilities in 2017 were found to be ineligible because they had closed or did not provide substance use treatment or detoxification. Of the remaining eligible facilities, 13,857 (89 percent) completed the survey, and 13,585 facilities were included in the 2017 N-SSATS report.90 The 2017 N-SSATS employed three sequential data collection modes: a secure web-based questionnaire, a paper questionnaire sent by mail upon request to facilities that had not responded to the web-based questionnaire, and a telephone interview for facilities that had not responded to the web or paper questionnaire. Among the approximately 13,585 responding facilities that were included in the 2017 report, 92.2 percent responded via the web (CBHSQ, 2018d).
In N-SSATS, facilities provide information on the characteristics of the treatment facility, including (but not limited to) client payment sources, services provided, and hospital and residential capacity. N-SSATS also collects data from facilities on the number of clients in treatment on the survey reference date (i.e., the last working day of March in the survey year, such as March 31, 2017) and the percentages of clients in treatment on the reference date for abuse of alcohol and other drugs, alcohol abuse only, other drug abuse only, and co-occurring SUDs and mental disorders.
In an analysis comparing NSDUH and N-SSATS data, average counts of the number of people in treatment for alcohol or illicit drug abuse on a single day were about 1.2 million based on N-SSATS data from 2007 to 2009. Corresponding average single-day counts from NSDUH were about 1.4 million based on the questionnaire item asking about treatment on October 1 and 1.2 million based on the item about currently being in treatment at the time of the interview.91 Compared with data reported by facilities in N-SSATS, NSDUH respondents were more likely to report treatment only for alcohol and were less likely to report treatment only for illicit drugs (Batts et al., 2014).
As noted previously, N-SSATS collects data on substance use treatment utilization from facilities. In contrast, NSDUH estimates of treatment utilization are based on self-reports of treatment from respondents in the general population. The validity of N-SSATS data on treatment utilization depends on the accuracy of the reports provided by the individual(s) responding on behalf of the facility just as the validity of NSDUH estimates on the receipt of substance use treatment depends on accurate respondent self-reports. Also, N-SSATS counts of clients who received treatment cover clients who may be outside of the NSDUH target population (e.g., homeless people not living in shelters, active-duty military personnel). In addition, N-SSATS percentages of clients receiving treatment both for alcohol and other drugs, only alcohol, and only other drugs are based on responses to a single question that asks a facility staff member to assign these percentages to each category. In contrast, NSDUH respondents who reported receiving treatment at a specialty facility are asked about the substances for which they received treatment.
For further details, see the SAMHSA website at https://www.samhsa.gov/data/.
The Treatment Episode Data Set (TEDS) is a compilation of data on the demographic characteristics and substance abuse problems of those aged 12 or older who are admitted for substance use treatment, based on administrative data that are routinely collected by state substance abuse agencies (SSAs) for substance abuse services. SSAs report data to TEDS for approximately 2 million annual admissions to treatment in the United States and Puerto Rico primarily from facilities that receive some public funding. The TEDS system consists of two major components—the Admissions Data Set and the Discharge Data Set. The TEDS Admissions Data Set includes annual client-level data on substance use treatment admissions since 1992. The TEDS Discharge Data Set can be linked at the record level to admissions and includes information from clients discharged in 2000 and later. The most current TEDS data at the time this report was written were the 2016 admissions data and discharge data.
The TEDS Admissions Data Set consists of a Minimum Data Set collected by all states and a Supplemental Data Set collected by some states. The Minimum Data Set consists of 22 items that include demographic information; primary, secondary, and tertiary substance problems at admission; source of referral; number of prior treatment episodes; and service type at admission, including planned use of medication-assisted opioid therapy. Supplemental Data Set items consist of 17 items that include psychiatric, social, and economic measures. The TEDS Discharge Data Set consists of items on service type at discharge, reason for discharge (e.g., completed treatment, transferred to another program or facility, dropped out), and length of stay (LOS). LOS is calculated by subtracting the admission date from the discharge date (or date of last contact).
In an analysis comparing NSDUH and TEDS data that included linked admissions and discharge data from TEDS, the average number of individuals who received treatment in the past year based on TEDS data from 2007 to 2009 was about 22 percent lower than the average from 2005 to 2010 in NSDUH for treatment in a specialty facility (1.9 million vs. 2.4 million). The single-day count of individuals in treatment from TEDS was about 0.5 million, which was lower than the single-day counts for N-SSATS (1.2 million) and NSDUH (1.2 million to 1.4 million, depending on the questions that were used; see the N-SSATS description in this section).92 Thus, TEDS may underestimate the number of individuals in treatment on a single day (Batts et al., 2014).
Although TEDS includes data for a sizable proportion of admissions to substance use treatment, it does not include all admissions. Because TEDS is a compilation of data from state administrative systems, the scope of facilities included in TEDS is affected by differences in state reporting requirements, licensure, certification, and accreditation practices, as well as disbursement of public funds. Many SSAs require facilities that receive public funding (including federal block grant funds) for substance use treatment services to report data to the SSA, whereas others require all facilities that are licensed or certified by the state to report TEDS data. States also vary in terms of the specific admissions that are reported to TEDS (e.g., all admissions to eligible facilities that report to TEDS vs. admissions financed by public funds).
For further details, see the SAMHSA website at https://www.samhsa.gov/data/.
The Army Study to Assess Risk and Resilience in Servicemembers (Army STARRS) is a multicomponent epidemiologic and neurobiological study to inform health promotion, risk reduction, and suicide prevention efforts in the U.S. Army. A primary aim of the study is to increase knowledge about determinants of suicidal thoughts and behaviors among soldiers. Army STARRS is supported through the Henry M. Jackson Foundation under a cooperative agreement between NIMH and a consortium of scientific collaborators at the Uniformed Services University of the Health Sciences, the University of California San Diego, Harvard Medical School, and the University of Michigan, with additional collaborating scientists and consultants from NIMH and the Army. Data collection was completed in 2015.
Army STARRS included eight component studies: (1) the Historical Administrative Data Study (HADS), an integrated analysis of Army and Department of Defense (DoD) administrative data systems to provide data on significant administrative predictors of suicides among the more than 1.6 million soldiers who were on active duty during 2004 through 2009; (2) the New Soldier Study (NSS), a cross-sectional survey in 2011 and 2012 of new soldiers in the 2 days after their arrival for Basic Combat Training (BCT); (3) the All-Army Study (AAS), a cross-sectional survey in 2011 through 2013 of active-duty personnel other than those in BCT; (4) the Soldier Health Outcomes Study A (SHOS-A), a retrospective case-control study in 2011 through 2013 of soldiers who made nonfatal suicide attempts; (5) the Soldier Health Outcomes Study B (SHOS-B), a case-control study in 2012 through 2014 focusing on soldiers whose suicide attempts were fatal (cases), in which Army supervisors and next-of-kin were interviewed for both cases and controls; (6) the Pre-Post Deployment Survey (PPDS), in which NSS and AAS respondents were tracked longitudinally from 2012 to 2014 through their administrative records to obtain information on outcomes (e.g., suicide fatalities, nonfatal suicide attempts of sufficient severity to come to the attention of the military health care system, treatment in the military health care system for mental illness); (7) the Criminal Investigation Division (CID) Study, which involved a review of Army CID file reports for deaths of Army service members in 2005 to 2009 due to suicide, accident, traffic fatality, justifiable homicide, or undetermined cause; and (8) the Clinical Reappraisal Study (CRS), which was designed to validate and calibrate the mental disorder screening tools in the Army STARRS questionnaire. More information about these component studies can be found in Kessler et al. (2013) and on the website listed at the end of this section.
The questionnaires for both the NSS and AAS were self-administered in group sessions and collected information on physical health (including periods of insomnia and chronic pain); internalizing mental disorders (e.g., MDD, bipolar disorder, panic disorder, generalized anxiety disorder [GAD], PTSD, specific phobia, social phobia, obsessive-compulsive disorder [OCD]); externalizing mental disorders (e.g., ADHD, conduct disorder, intermittent explosive disorder [IED], oppositional defiant disorder [ODD], substance use disorder [SUD]) (Nock et al., 2014; Rosellini et al., 2015); receipt of mental health services; substance use; and suicidal thoughts and behaviors (Nock et al., 2014; Ursano et al., 2015). Assessment of mental disorders or SUDs was based on DSM-IV criteria for the lifetime, past 12-month, and past 30-day periods, except that disorders were assessed without regard to diagnostic hierarchy or organic exclusion rules (Kessler et al., 2014). The NSS questionnaire used computer-assisted self-interviewing (CASI) and was administered on laptop computers. The AAS questionnaire was shorter than the NSS questionnaire (i.e., designed for a single 90-minute group administration instead of two 90-minute administrations for the NSS), and it was designed for CASI administration or as a paper-and-pencil questionnaire. In addition, the NSS included neurocognitive tests and blood samples for genetic testing that were obtained from consenting participants as part of the physical examination process prior to the beginning of BCT. The AAS did not collect neurocognitive data or physical specimens for genetic testing. Both NSS and AAS respondents were asked for additional consent to link their Army or DoD administrative records to their questionnaire responses and to participate in to-be-determined future longitudinal data collections (Kessler et al., 2013).
Based on AAS data from 5,428 soldiers who completed questionnaires and consented to linkage of questionnaire responses with administrative records, 25.1 percent of respondents met criteria for any mental disorder or SUD in the past 30 days, including 15.0 percent for any internalizing disorder (bipolar disorder, GAD, MDD, panic disorder, or PTSD), 18.4 percent for any externalizing disorder (ADHD, conduct disorder, IED, ODD, or SUD), and 11.1 percent for multiple disorders (internalizing or externalizing). About three fourths of cases with any disorder in the past 30 days (76.6 percent) reported an age at onset prior to enlistment (Kessler et al., 2014). Lifetime estimates for suicidal thoughts and behaviors were 13.9 percent for having suicidal thoughts, 5.3 percent for making a suicide plan, and 2.4 percent for making a (nonfatal) suicide attempt (Nock et al., 2014). Among soldiers with a mental disorder in the past 30 days who did not seek treatment, 69.8 percent did not perceive a need for treatment. Among soldiers with a mental disorder who perceived a need for treatment, attitudinal reasons (e.g., wanting to handle the problem on their own) were cited more commonly than structural reasons (e.g., inconvenience) for not seeking or for discontinuing treatment (Naifeh et al., 2016).
NSS data from 38,507 new soldiers indicated that 38.7 percent of new soldiers had 1 or more of the 10 assessed DSM-IV disorders in their lifetime, including 19.8 percent who had an internalizing disorder (bipolar disorder, GAD, MDD disorder, panic disorder, or PTSD) and 31.8 percent who had an externalizing disorder (ADHD, conduct disorder, IED, ODD, or SUD). Comparison of NSS estimates with NCS-R estimates that controlled for demographic differences between the NSS and civilian populations93 indicated similar overall estimates of any lifetime disorder in the two populations. However, new soldiers were more likely than adults in the general civilian population to have GAD, PTSD, conduct disorder, or multiple (i.e., three or more) disorders in their lifetime (Rosellini et al., 2015). NSS also yielded lifetime pre-enlistment estimates of 14.1 percent for suicidal thoughts, 2.3 percent for suicide plans, and 1.9 percent for suicide attempts (Ursano et al., 2015).
Administrative data from the HADS component for more than 743,000 reserve component (RC) personnel who had been activated from January 1, 2006, through December 31, 2009, identified 1,103 soldiers with a documented suicide attempt. Activated RC soldiers who were enlisted accounted for 95.7 percent of the activated RC soldiers with a suicide attempt. Officers accounted for the remaining 4.3 percent of the activated RC soldiers who attempted suicide.
Among enlisted RC personnel who had been activated, predictors of suicide attempts included the following: female gender, current age younger than 30, white, non-Hispanic race/ethnicity, less than a high school education, currently being married, time in service of 1 to 2 years, previous deployment, and a history of a mental health diagnosis. Predictors of suicide attempts among corresponding RC officers included being female and having a mental health diagnosis in the previous month (Naifeh et al., 2019).
Additionally, a new data collection, the STARRS Longitudinal Study (STARRS-LS), is under way. The STARRS-LS began in 2015 and will continue through 2020. The STARRS-LS is gathering longitudinal follow-up information on soldiers who participated in Army STARRS earlier in their Army careers and as they transition back into civilian life.
For further details, see the Army STARRS-LS website at http://starrs-ls.org/#/
.
The Department of Defense (DoD) Health Related Behaviors Survey of Active Duty Personnel (HRBS) provides information about the health behavior of active-duty military personnel for policies and programs addressing the needs of military service members and their families. The HRBS provides information about substance use (including alcohol, tobacco, illicit drugs, and prescription drugs), health promotion and disease prevention (e.g., physical activity and receipt of routine medical care), and mental health issues among military personnel.
The survey was first conducted in 1980 and has since been conducted approximately every 3 years, with some exceptions. The 2015 HRBS was the most recent survey in the series and was conducted through a web-based, individually self-administered questionnaire that used a disproportionate stratified sample. The 2015 HRBS was largely based on the 2011 and 2014 versions of the active-duty survey. However, edits were made to the content of the most recent questionnaire to accomplish the following: reduce respondent burden by reducing items (or removing items not used in prior analyses) and by employing skip logic, where appropriate; align some questions to enable comparisons with national surveys of civilian populations; and add items relevant to current and emerging health issues. In some instances, therefore, comparison of data between the 2015 HRBS and prior iterations is not possible because the question content was not identical. The 2015 HRBS results were based on responses from 16,699 nondeployed personnel on active duty from the U.S. Air Force, Army, Marine Corps, Navy, and Coast Guard for an overall response rate of 8.6 percent (Meadows et al., 2018).94
Both the 2015 HRBS and NSDUH provide estimates of substance use behaviors and mental health issues among adults in their respective populations. Statistical comparisons are not made between estimates in the 2015 HRBS and NSDUH in this section because of demographic differences between these two populations. For example, 84.4 percent of active-duty military personnel in 2015 were male, and 28.7 percent were aged 17 to 24 (Meadows et al., 2018). In comparison, weighted population estimates from NSDUH indicated that there were more adult females than males in the civilian, noninstitutionalized population in 2015. About 14.4 percent of adults were aged 18 to 25 (CBHSQ, 2016a). Because substance use behaviors and mental health issues in the civilian, noninstitutionalized population vary by age and gender, differences in direct estimates between the HRBS and NSDUH could reflect the different demographic composition of the underlying populations. Also, estimates in the 2015 HRBS for sensitive topics related to substance use and mental health issues could be biased due to the low response rate if nonrespondents differ from respondents on key measures (e.g., if military personnel who have used illicit drugs are less likely to respond).
In addition to the demographic differences between the populations, the two surveys measured binge and heavy drinking somewhat differently. Binge drinking in the 2015 HRBS and in NSDUH was defined for females as drinking four or more drinks on the same occasion and for males as drinking five or more drinks on the same occasion at least once in the past 30 days, but the term "occasion" was not defined in the 2015 HRBS questionnaire.95 In the 2015 HRBS report, heavy drinking was defined as binge drinking on 5 or more days in the past month, but most response choices for binge drinking in the questionnaire asked for the number of days per week that respondents binge drank.96 In 2015, 30.0 percent of service members were binge drinkers in the past month, and 5.4 percent were heavy drinkers. In the 2015 NSDUH, 26.9 percent of adults aged 18 or older were binge drinkers, and 7.0 percent were heavy drinkers in the past month.
An estimated 13.9 percent of active-duty military personnel in 2015 were current (i.e., past month) cigarette smokers. The 2015 NSDUH estimate for current cigarette smoking among adults was 21.0 percent.
An estimated 0.3 percent of active-duty personnel in 2015 used any illicit drug in the past month, and 0.7 percent used illicit drugs in the past year. Among adults in the 2015 NSDUH, 10.2 percent used illicit drugs in the past month, and 17.9 percent did so in the past year.
The 2015 HRBS and NSDUH also collected information about any use and misuse of prescription pain relievers.97 An estimated 21.0 percent of active-duty personnel in the 2015 HRBS and 37.8 percent of adults in the 2015 NSDUH used prescription pain relievers for any reason in the past year. The 2015 HRBS defined misuse of pain relievers as use without a prescription and also included a measure of overuse, defined as use of a greater amount than prescribed. An estimated 2.4 percent of active-duty military personnel used pain relievers without a prescription, and 0.7 percent overused pain relievers; these estimates may not be mutually exclusive, however. In the 2015 NSDUH, 4.7 percent of adults misused prescription pain relievers in the past year, defined as use in any way not directed by a doctor.98
An estimated 6.3 percent of active-duty military personnel in 2015 had seriously thought about trying to kill themselves in the past 12 months, and 1.4 percent attempted suicide in that period. In NSDUH, 4.0 percent of adults in 2015 had serious thoughts of suicide, and 0.6 percent attempted suicide in the past year (Piscopo, Lipari, Cooney, & Glasheen, 2016).
Because of changes to procedures for sampling, data collection (including questionnaire changes), weighting, data processing, and analysis, estimates from the 2011 HRBS and later surveys are not directly comparable with estimates from prior HRBS administrations. In administrations of this survey prior to 2011, however, comparisons with NSDUH data consistently showed that, even after accounting for demographic differences between the military and civilian populations, the military personnel had higher rates of heavy alcohol use than their civilian counterparts, similar rates of cigarette use, and lower rates of illicit drug use (Bray et al., 2009).
A similar survey, the HRB Survey of Reserve Component Personnel, was conducted in 2006, in 2009 to 2010, and in 2014 to collect similar information among the reserve component population. The third HRB Survey of Reserve Component Personnel that was conducted in 2014 was administered using the same methodology as the survey of active-duty service members. The results of the reserve component survey are based on 18,359 nondeployed reserve and guard personnel from six components: Army National Guard, Army Reserve, Air National Guard, Air Force Reserve, Navy Reserve, and Marine Corps Reserve.
Additional details about the HRBS can be found by searching for "DoD Health Related Behaviors Survey" on the Health.mil website at https://health.mil/
.
The Minimum Data Set (MDS), sponsored by the Centers for Medicare & Medicaid Services (CMS), is part of the federally mandated process for clinical assessment of all residents in Medicare- or Medicaid-certified nursing homes. This process provides a comprehensive assessment of each resident's functional capabilities and helps nursing home staff identify health problems. MDS assessments are completed for all residents in certified nursing homes, regardless of source of payment for the individual resident. MDS assessments are required for residents on admission to the nursing facility, periodically, and on discharge. All assessments are completed within specific guidelines and time frames. In most cases, participants in the assessment process are licensed health care professionals employed by the nursing home. MDS information is transmitted electronically by nursing homes to the national MDS database at CMS. Thus, unlike many of the sources of data that are described in this section of the report, MDS data are not based on survey results.
Selected psychiatric diagnoses for active residents are summarized quarterly in the MDS 3.0 Frequency Report; no substance use information is available. The unit of reporting is an active resident or a resident with an active episode; an active resident is a resident whose most recent assessment transaction was not a discharge and whose most recent transaction had a target date (assessment reference date for an assessment record or entry date for an entry record) fewer than 150 days old. If a resident did not have a transaction for 150 days, then that resident was assumed to have been discharged.
The MDS items are taken from all types of MDS records, with the most recent value in the episode being taken for each item. Only values from the past 440 days are used for all items, except for items from the initial admission record. Thus, different items may come from different assessments or from different stays within an episode of care. The intention is to create a profile with the most recent standard information for an active resident, regardless of the source of information.
Percentages of active residents in the third quarter of 2018 with selected psychiatric diagnoses in the past 7 days are shown below. Percentages are based on data from nearly 1.4 million active residents nationally; records with missing data for a given measure were excluded.
For further details about the MDS, see the "Research, Statistics, Data & Systems" page on the CMS website at https://www.cms.gov/. Publicly available quarterly data from the MDS 3.0 Frequency Report can be accessed on the web.
The National Inmate Surveys (NIS) were initiated to fulfill the requirements of the Prison Rape Elimination Act of 2003 (PREA, 2003) for the Bureau of Justice Statistics (BJS) to provide a list of prisons and jails according to the prevalence of sexual victimization. The BJS also added a companion survey on drug and alcohol use and treatment as part of the NIS. Inclusion of the companion survey was designed to prevent facility staff from knowing whether inmates were selected to receive the survey on sexual victimization or the companion survey and also was intended to provide more recent information on substance use and related issues among correctional populations in the United States compared with the Surveys of Inmates in State and Federal Correctional Facilities (see a subsequent survey summary in this section). The NIS were conducted in 2007 (NIS-1), in 2008-2009 (NIS-2), and in 2011-2012 (NIS-3). Questions about mental health were included for the first time in the NIS-3.
The NIS used a two-stage probability sample design first to select state and federal correctional facilities99 and then to select inmates within sampled facilities. At least one facility in every state was selected; federal facilities were grouped together and treated like a state for sampling purposes. The sample design also ensured a sufficient number of women in the sample. Samples were restricted to confinement facilities (i.e., institutions in which fewer than 50 percent of the inmates were regularly permitted to leave for work, study, or treatment without being accompanied by facility staff). The NIS samples also excluded community-based facilities, such as halfway houses, group homes, and work release centers. Inmates aged 18 or older within sampled facilities were randomly selected for the interview.
The NIS-1 was conducted in 146 state and federal prisons and in 282 local jails between April and August 2007. Overall NIS-1 response rates for both survey forms were 72 percent for prison inmates and 67 percent for jail inmates. A total of 7,754 prison or jail inmates completed the drug and alcohol survey for the NIS-1. The NIS-2 was conducted in 167 state and federal prisons and 286 jails between October 2008 and August 2009. NIS-2 response rates were 71 percent for prison inmates and 68 percent for jail inmates. A total of 5,015 prison or jail inmates completed the drug and alcohol survey for the NIS-2. The NIS-3 was conducted in 233 state and federal prisons, 358 local jails, and 15 special facilities (military, Indian country, and U.S. Immigration and Customs Enforcement) between February 2011 and May 2012. A total of 106,532 inmates participated in NIS-3 (either survey form), including 43,721 state or federal prison inmates, 61,351 jail inmates, and 1,460 inmates in special facilities. Overall NIS-3 response rates for both survey forms were 60 percent for prison inmates and 61 percent for jail inmates (Beck, Berzofsky, Caspar, & Krebs, 2013).
The interviews used CAPI for general background information at the beginning of the interview and ACASI for the remainder. Respondents completed the ACASI portion of the interview in private, with the interviewer either leaving the room or moving away from the computer. Sampled inmates were randomly assigned to receive the sexual victimization survey or the companion survey on substance use and treatment. Substance use questions were based on items from past inmate surveys conducted by BJS, such as the 2004 Survey of Inmates in State Correctional Facilities (SISCF), and included questions about lifetime and first use of drugs or alcohol, being under the influence of drugs or alcohol at the time of their current offense, substance use prior to being admitted to the facility, problems associated with substance use, and treatment for use of drugs or alcohol.
NIS-1 and NIS-2 data from 2007 to 2009 indicated that about four fifths of state prisoners and sentenced jail inmates had ever used an illicit drug (81.4 percent of state prisoners and 83.5 percent of sentenced jail inmates), including 76.6 percent of state prisoners and 78.1 percent of sentenced jail inmates who had ever used marijuana. An estimated 39.3 percent of state inmates and 54.5 percent of sentenced jail inmates used illicit drugs in the month before their offense, including 27.5 percent of state prisoners and 38.7 percent of sentenced jail inmates who used marijuana in that period and 14.7 percent of state prisoners and 21.1 percent of sentenced jail inmates who used cocaine or crack. More than half of state prisoners (58.5 percent) and nearly two thirds of sentenced jail inmates (63.3 percent) met DSM-IV criteria for illicit drug use disorder (i.e., dependence or abuse), defined for the survey according to the occurrence of symptoms in the year prior to their admission to their current facility. Inmates whose most serious offenses were violent offenses (e.g., murder, assault) were less likely to have an illicit drug use disorder compared with inmates whose most serious offenses were property offenses (e.g., burglary) or drug offenses. Among inmates who met criteria for an illicit drug use disorder, 28.5 percent of those who were state prisoners and 22.2 percent of those who were sentenced jail inmates received substance use treatment or participated in a program (e.g., self-help groups) since being admitted to their current facility (Bronson, Stroop, Zimmer, & Berzofsky, 2017).
Analyses of the NIS substance use data from 2007 to 2009 also included comparisons with NSDUH data for adults from these years. To account for demographic differences between the general population and inmate population that also are associated with substance use, NSDUH data for adults were standardized to the state prisoner population based on gender, race, Hispanic origin, and age. Estimates for the inmate population were greater than the standardized overall adult population estimates from NSDUH for all measures of illicit drug use in the past month (for NSDUH) or in the month before criminal justice involvement (for NIS) (Bronson et al., 2017).
The NIS-3 included questions on the following mental health issues: (a) psychological distress in the past 30 days, based on the Kessler-6 (K6) questions (see Section 3.4.7 in this report for a list of the K6 questions); (b) occurrence of specific mental disorders in the lifetime and past 12-month periods; (c) whether respondents had ever been told that they had specific mental disorders; and (d) mental health service utilization.
An estimated 36.6 percent of prison inmates and 43.7 percent of jail inmates in the NIS-3 reported having ever been told by a mental health professional that they had a mental disorder (manic depression, bipolar disorder, other depressive disorder, schizophrenia or another psychotic disorder, PTSD, or an anxiety or personality disorder). More than a third of inmates (35.8 percent of prison inmates and 39.2 percent of jail inmates) reported that they received counseling or therapy for these problems. An estimated 15.4 percent of prisoners and 19.7 percent of jail inmates reported taking prescription medication for a substance use or mental health condition at the time of the offense for which they were currently being held. Inmates who had ever been told by a mental health professional that they had a mental disorder were more likely than other inmates to report sexual victimization while they were incarcerated (Beck et al., 2013).
For further details about the NIS, see the BJS's "All Data Collections" web page at https://www.bjs.gov/index.cfm?ty=dca.
The NCHS launched the biennial National Study of Long-Term Care Providers (NSLTCP) in 2011 to provide statistical information about five major sectors of paid, regulated long-term care services in the United States and users of these services. The five sectors of service providers are home health agencies, hospices, nursing homes, adult day services centers, and residential care communities. The most currently available data are from 2015 and 2016 and are drawn from multiple sources, including (a) administrative records from the CMS on home health agencies, hospices, and nursing homes and (b) cross-sectional, nationally representative NCHS establishment surveys of adult day services centers and residential care communities (Harris-Kojetin et al., 2019). NSLTCP replaces the periodic National Nursing Home Survey and the National Home and Hospice Care Survey, and it also replaces the onetime National Survey of Residential Care Facilities.
NSLTCP data for adult nursing home residents cover a population that is not a part of the civilian, noninstitutionalized population of adults that is covered by NSDUH. The degree of overlap between the NSDUH population and adults who received services from other NSLTCP long-term care providers (i.e., home health agencies, hospices, adult day services centers, and residential care communities) depends on where adults were living while receiving services and the level of care required by the service users. Adults who received inpatient hospice services would be outside of the population that is covered by NSDUH, but adults who received in-home hospice services could be covered by NSDUH. As an alternative to institutional care, older adults or individuals with disabilities may reside in noninstitutional residences that provide a homelike environment and a limited set of supportive services (e.g., supervision of self-administered medication and diet, assistance with housekeeping, meal services, arrangement of transportation and recreational activities); adults in these residences would be part of the civilian, noninstitutionalized population that NSDUH covers. In contrast, adults in most residential care communities that provide nursing care, medical care, or psychiatric care by staff members would be members of institutions. Adults who live in their own homes or in noninstitutional group quarters and receive services from home health agencies or from adult day services centers also would be part of the civilian, noninstitutionalized population. If adults who received long-term care services were eligible to be selected for the NSDUH interview but were physically or mentally unable to complete the interview, they would be coded as nonrespondents (see Table 3.4 in this report).
For the 2016 NSLTCP data, administrative data for home health agencies, hospices, and nursing homes and for service users within these sectors were drawn from CMS provider-specific data sources for 2015 and 2016. Surveys of the adult day services centers and residential care communities (e.g., assisted living) were conducted between August 2016 and February 2017. Residential care communities that were licensed to provide services exclusively to individuals with severe mental illness, intellectual disability, or developmental disability and nursing homes were excluded from the survey of residential care communities. Data were collected through three modes: self-administered mail questionnaires, self-administered web questionnaires, and telephone interviews that were administered through CATI. National response rates in 2016 were 61.8 percent for the survey of adult day services centers and 50.7 percent for the survey of residential care communities.
In 2016, approximately 65,600 paid, regulated long-term care service providers were in the United States, including about 4,600 adult day services centers, 12,200 home health agencies, 4,300 hospices, 15,600 nursing homes, and 28,900 residential care communities. Mental health or counseling services were offered by most hospices (97.0 percent) and nursing homes (87.6 percent) and by more than half of the residential care communities (55.0 percent). About one third of adult day services centers (33.8 percent) offered these services. An estimated 8.7 percent of residential care communities served only residents with dementia, and 14.9 percent of nursing homes and 14.3 percent of residential care communities offered a dementia care unit within a larger facility or community.
The 65,600 long-term care service providers in 2016 served more than 8.3 million people, the majority of whom were aged 65 or older (94.6 percent of hospice patients, 93.4 percent of residential care residents, 83.5 percent of nursing home residents, 81.9 percent of home health patients, and 62.5 percent of adult day services center participants). The percentage of service users with Alzheimer's disease or other dementias ranged from 30.9 percent of adult day services center participants to 47.8 percent of nursing home residents. The percentage of users of long-term care services who had a diagnosis of depression was highest among nursing home residents (46.3 percent).
For further details, see the NSLTCP website at https://www.cdc.gov/nchs/nsltcp/index.htm.
MTF = Monitoring the Future; NSDUH = National Survey on Drug Use and Health.
+ Difference between this estimate and the 2018 estimate is statistically significant at the .05 level.
MTF = Monitoring the Future; NSDUH = National Survey on Drug Use and Health.
+ Difference between this estimate and the 2018 estimate is statistically significant at the .05 level.
MTF = Monitoring the Future; NSDUH = National Survey on Drug Use and Health.
+ Difference between this estimate and the 2018 estimate is statistically significant at the .05 level.
MTF = Monitoring the Future; NSDUH = National Survey on Drug Use and Health; YRBS = Youth Risk Behavior Survey.
NOTE: NSDUH data for youths aged 12 to 17 are not presented for 1999 to 2001 because of design changes in the survey. These design changes preclude direct comparisons of estimates from 2002 to 2018 with estimates prior to 1999.
| Substance/ Survey |
2002 | 2003 | 2004 | 2005 | 2006 | 2007 | 2008 | 2009 | 2010 | 2011 | 2012 | 2013 | 2014 | 2015 | 2016 | 2017 | 2018 |
|---|---|---|---|---|---|---|---|---|---|---|---|---|---|---|---|---|---|
| Marijuana | |||||||||||||||||
| NSDUH | 20.6a | 19.6a | 19.0a | 17.4a | 17.3a | 16.2 | 16.6a | 17.1a | 17.1a | 17.5a | 17.0a | 16.4a | 16.4a | 15.7 | 14.8 | 15.3 | 15.4 |
| MTF | 29.0a | 27.0a | 25.7a | 25.3a | 23.8 | 22.6 | 22.3 | 24.0 | 25.4a | 25.5a | 24.5 | 26.2a | 24.7 | 23.3 | 21.3a | 22.1 | 23.3 |
| YRBS | -- | 40.2a | -- | 38.4 | -- | 38.1 | -- | 36.8 | -- | 39.9a | -- | 40.7a | -- | 38.6 | -- | 35.6 | -- |
| Cocaine | |||||||||||||||||
| NSDUH | 2.7a | 2.6a | 2.4a | 2.3a | 2.2a | 2.2a | 1.9a | 1.6a | 1.5a | 1.3a | 1.1a | 0.9 | 0.9 | 0.8 | 0.9 | 0.7 | 0.7 |
| MTF | 4.9a | 4.4a | 4.4a | 4.5a | 4.1a | 4.2a | 3.8a | 3.6a | 3.2a | 2.8a | 2.6 | 2.5 | 2.2 | 2.2 | 1.8 | 1.7 | 2.0 |
| YRBS | -- | 8.7a | -- | 7.6a | -- | 7.2a | -- | 6.4a | -- | 6.8a | -- | 5.5 | -- | 5.2 | -- | 4.8 | -- |
| Heroin | |||||||||||||||||
| NSDUH | 0.4a | 0.3a | 0.3a | 0.2a | 0.2a | 0.2a | 0.3a | 0.2a | 0.2a | 0.3a | 0.2a | 0.2a | 0.1a | 0.1a | 0.1 | 0.1 | 0.1 |
| MTF | 1.7a | 1.6a | 1.6a | 1.5a | 1.4a | 1.4a | 1.3a | 1.4a | 1.3a | 1.2a | 1.0a | 1.0a | 0.9a | 0.6 | 0.6 | 0.6 | 0.5 |
| YRBS | -- | 3.3a | -- | 2.4a | -- | 2.3 | -- | 2.5a | -- | 2.9a | -- | 2.2 | -- | 2.1 | -- | 1.7 | -- |
| LSD | |||||||||||||||||
| NSDUH | 2.7a | 1.6 | 1.2 | 1.1 | 0.9a | 0.8a | 1.1 | 1.0a | 0.9a | 0.9a | 1.0a | 0.9a | 1.2 | 1.3 | 1.2 | 1.5 | 1.3 |
| MTF | 3.8a | 2.8a | 2.3 | 2.2 | 2.2 | 2.3 | 2.3 | 2.4 | 2.4 | 2.3 | 2.0 | 2.1 | 1.9 | 2.2 | 2.2 | 2.2 | 2.1 |
| YRBS | -- | -- | -- | -- | -- | -- | -- | -- | -- | -- | -- | -- | -- | -- | -- | -- | -- |
| Alcohol | |||||||||||||||||
| NSDUH | 43.4a | 42.9a | 42.0a | 40.6a | 40.4a | 39.5a | 38.6a | 38.4a | 35.4a | 34.5a | 32.4a | 30.8a | 29.6a | 28.4a | 27.0 | 27.1 | 26.3 |
| MTF | 57.0a | 55.8a | 54.1a | 52.1a | 51.0a | 50.3a | 48.6a | 47.9a | 47.0a | 44.6a | 41.8a | 40.0a | 38.1a | 36.6a | 33.1 | 32.7 | 33.3 |
| YRBS | -- | 74.9a | -- | 74.3a | -- | 75.0a | -- | 72.5a | -- | 70.8a | -- | 66.2a | -- | 63.2 | -- | 60.4 | -- |
| Cigarettes | |||||||||||||||||
| NSDUH | 33.3a | 31.0a | 29.2a | 26.7a | 25.9a | 23.7a | 23.1a | 22.3a | 20.5a | 19.1a | 17.4a | 15.7a | 14.2a | 13.2a | 11.6a | 10.8a | 9.6 |
| MTF | 39.4a | 35.7a | 34.3a | 32.4a | 30.4a | 28.4a | 26.1a | 26.4a | 26.5a | 24.4a | 21.6a | 20.3a | 18.1a | 16.6a | 13.7 | 12.7 | 12.6 |
| YRBS | -- | 58.4a | -- | 54.3a | -- | 50.3a | -- | 46.3a | -- | 44.7a | -- | 41.1a | -- | 32.3 | -- | 28.9 | -- |
| LSD = lysergic acid diethylamide; MTF = Monitoring the Future; NSDUH = National Survey on Drug Use and Health; YRBS = Youth Risk Behavior Survey. -- Not available. NOTE: NSDUH data are for youths aged 12 to 17. Some 2006 to 2010 NSDUH estimates may differ from previously published estimates due to updates (see Section 3.3.5 in Chapter 3 of this report). NOTE: MTF data are simple averages of estimates for 8th and 10th graders. MTF data for 8th and 10th graders are reported in Johnston, Miech, O'Malley, Bachman, Schulenberg, and Patrick (2019). The MTF design effects used for variance estimation are reported in Miech, Johnston, O'Malley, Bachman, Schulenberg, and Patrick (2017). NOTE: Statistical tests for the YRBS were conducted using the "Youth Online Data Analysis Tool" (see https://www.cdc.gov/healthyyouth/data/yrbs/index.htm). Results of testing for statistical significance in this table may differ from published YRBS reports of change. a The difference between this estimate and the 2018 estimate is statistically significant at the .05 level for NSDUH and MTF. The difference between this estimate and the 2017 estimate is statistically significant at the .05 level for the YRBS. Sources: SAMHSA, Center for Behavioral Health Statistics and Quality, National Survey on Drug Use and Health, 2002-2018 .National Institute on Drug Abuse, Monitoring the Future Study, University of Michigan, 2002-2018 .Centers for Disease Control and Prevention, Youth Risk Behavior Survey, 2003, 2005, 2007, 2009, 2011, 2013, 2015 and 2017. |
|||||||||||||||||
| Substance/ Survey |
2002 | 2003 | 2004 | 2005 | 2006 | 2007 | 2008 | 2009 | 2010 | 2011 | 2012 | 2013 | 2014 | 2015 | 2016 | 2017 | 2018 |
|---|---|---|---|---|---|---|---|---|---|---|---|---|---|---|---|---|---|
| Marijuana | |||||||||||||||||
| NSDUH | 15.8a | 15.0a | 14.5a | 13.3 | 13.2 | 12.5 | 13.1 | 13.7a | 14.0a | 14.2a | 13.5a | 13.4a | 13.1 | 12.6 | 12.0 | 12.4 | 12.5 |
| MTF | 22.5a | 20.5a | 19.7 | 19.4 | 18.5 | 17.5a | 17.4a | 19.3 | 20.6a | 20.7a | 19.7 | 21.3a | 19.5 | 18.6 | 16.7a | 17.8 | 19.0 |
| YRBS | -- | -- | -- | -- | -- | -- | -- | -- | -- | -- | -- | -- | -- | -- | -- | -- | -- |
| Cocaine | |||||||||||||||||
| NSDUH | 2.1a | 1.8a | 1.6a | 1.7a | 1.6a | 1.5a | 1.2a | 1.0a | 1.0a | 0.9a | 0.7a | 0.5 | 0.7 | 0.6 | 0.5 | 0.5 | 0.4 |
| MTF | 3.2a | 2.8a | 2.9a | 2.9a | 2.6a | 2.7a | 2.4a | 2.2a | 1.9a | 1.7a | 1.6a | 1.5 | 1.3 | 1.4 | 1.1 | 1.1 | 1.2 |
| YRBS | -- | -- | -- | -- | -- | -- | -- | -- | -- | -- | -- | -- | -- | -- | -- | -- | -- |
| Heroin | |||||||||||||||||
| NSDUH | 0.2a | 0.1a | 0.2a | 0.1a | 0.1a | 0.1 | 0.2a | 0.1a | 0.1a | 0.2a | 0.1a | 0.1a | 0.1a | 0.1 | 0.1 | 0.1 | 0.0 |
| MTF | 1.0a | 0.8a | 1.0a | 0.9a | 0.9a | 0.8a | 0.9a | 0.8a | 0.8a | 0.8a | 0.6a | 0.6a | 0.5a | 0.4a | 0.3 | 0.3 | 0.3 |
| YRBS | -- | -- | -- | -- | -- | -- | -- | -- | -- | -- | -- | -- | -- | -- | -- | -- | -- |
| LSD | |||||||||||||||||
| NSDUH | 1.3a | 0.6a | 0.6 | 0.6a | 0.4a | 0.5a | 0.7 | 0.6a | 0.6a | 0.6 | 0.6 | 0.6a | 0.9 | 1.0 | 0.8 | 1.0 | 0.8 |
| MTF | 2.1a | 1.5 | 1.4 | 1.4 | 1.3 | 1.5 | 1.6 | 1.5 | 1.6 | 1.5 | 1.3 | 1.4 | 1.3 | 1.5 | 1.5 | 1.5 | 1.5 |
| YRBS | -- | -- | -- | -- | -- | -- | -- | -- | -- | -- | -- | -- | -- | -- | -- | -- | -- |
| Alcohol | |||||||||||||||||
| NSDUH | 34.6a | 34.3a | 33.9a | 33.3a | 33.0a | 31.9a | 31.0a | 30.5a | 28.7a | 27.8a | 26.3a | 24.6a | 24.0a | 22.7a | 21.6 | 21.9 | 20.8 |
| MTF | 49.4a | 48.3a | 47.5a | 45.3a | 44.7a | 44.1a | 42.3a | 41.6a | 40.7a | 38.4a | 36.1a | 34.6a | 32.4a | 31.5a | 28.0 | 28.0 | 28.3 |
| YRBS | -- | -- | -- | -- | -- | -- | -- | -- | -- | -- | -- | -- | -- | -- | -- | -- | -- |
| Cigarettes | |||||||||||||||||
| NSDUH | 20.3a | 19.0a | 18.4a | 17.3a | 17.0a | 15.7a | 15.1a | 15.1a | 14.2a | 13.2a | 11.8a | 10.3a | 8.9a | 8.1a | 7.2a | 6.3a | 5.5 |
| MTF | -- | -- | -- | -- | -- | -- | -- | -- | -- | -- | -- | -- | -- | -- | -- | -- | -- |
| YRBS | -- | -- | -- | -- | -- | -- | -- | -- | -- | -- | -- | -- | -- | -- | -- | -- | -- |
| LSD = lysergic acid diethylamide; MTF = Monitoring the Future; NSDUH = National Survey on Drug Use and Health; YRBS = Youth Risk Behavior Survey. -- Not available. NOTE: NSDUH data are for youths aged 12 to 17. Some 2006 to 2010 NSDUH estimates may differ from previously published estimates due to updates (see Section 3.3.5 in Chapter 3 of this report). NOTE: MTF data are simple averages of estimates for 8th and 10th graders. MTF data for 8th and 10th graders are reported in Johnston, Miech, O'Malley, Bachman, Schulenberg, and Patrick (2019). The MTF design effects used for variance estimation are reported in Miech, Johnston, O'Malley, Bachman, Schulenberg, and Patrick (2017). NOTE: Statistical tests for the YRBS were conducted using the "Youth Online Data Analysis Tool" (see https://www.cdc.gov/healthyyouth/data/yrbs/index.htm). Results of testing for statistical significance in this table may differ from published YRBS reports of change. a The difference between this estimate and the 2018 estimate is statistically significant at the .05 level for NSDUH and MTF. The difference between this estimate and the 2017 estimate is statistically significant at the .05 level for the YRBS. Sources: SAMHSA, Center for Behavioral Health Statistics and Quality, National Survey on Drug Use and Health, 2002-2018 .National Institute on Drug Abuse, Monitoring the Future Study, University of Michigan, 2002-2018 .Centers for Disease Control and Prevention, Youth Risk Behavior Survey, 2003, 2005, 2007, 2009, 2011, 2013, 2015, and 2017. |
|||||||||||||||||
| Substance/ Survey |
2002 | 2003 | 2004 | 2005 | 2006 | 2007 | 2008 | 2009 | 2010 | 2011 | 2012 | 2013 | 2014 | 2015 | 2016 | 2017 | 2018 |
|---|---|---|---|---|---|---|---|---|---|---|---|---|---|---|---|---|---|
| Marijuana | |||||||||||||||||
| NSDUH | 8.2a | 7.9a | 7.6a | 6.8 | 6.7 | 6.7 | 6.7 | 7.4a | 7.4a | 7.9a | 7.2 | 7.1 | 7.4 | 7.0 | 6.5 | 6.5 | 6.7 |
| MTF | 13.1a | 12.3a | 11.2 | 10.9 | 10.4 | 10.0a | 9.8a | 11.2 | 12.4a | 12.4a | 11.8 | 12.5a | 11.6 | 10.7 | 9.7a | 10.6 | 11.2 |
| YRBS | -- | 22.4 | -- | 20.2 | -- | 19.7 | -- | 20.8 | -- | 23.1a | -- | 23.4a | -- | 21.7 | -- | 19.8 | -- |
| Cocaine | |||||||||||||||||
| NSDUH | 0.6a | 0.6a | 0.5a | 0.6a | 0.4a | 0.4a | 0.4a | 0.3a | 0.2a | 0.3a | 0.1a | 0.2a | 0.2a | 0.2a | 0.1 | 0.1 | 0.0 |
| MTF | 1.4a | 1.1a | 1.3a | 1.3a | 1.3a | 1.1a | 1.0a | 0.9a | 0.8a | 0.8a | 0.7 | 0.7 | 0.6 | 0.7 | 0.4 | 0.5 | 0.5 |
| YRBS | -- | -- | -- | 3.4 | -- | 3.3 | -- | 2.8 | -- | 3.0 | -- | -- | -- | -- | -- | -- | -- |
| Heroin | |||||||||||||||||
| NSDUH | 0.0 | 0.1 | 0.1 | 0.1 | 0.1 | 0.0 | 0.1 | 0.1 | 0.0 | 0.1 | * | 0.1 | 0.1 | 0.0 | 0.0 | 0.0 | 0.0 |
| MTF | 0.5a | 0.4a | 0.5a | 0.5a | 0.4a | 0.4a | 0.4a | 0.4a | 0.4a | 0.4a | 0.3a | 0.3a | 0.4a | 0.2 | 0.2a | 0.2 | 0.1 |
| YRBS | -- | -- | -- | -- | -- | -- | -- | -- | -- | -- | -- | -- | -- | -- | -- | -- | -- |
| LSD | |||||||||||||||||
| NSDUH | 0.2 | 0.2 | 0.2 | 0.1 | 0.1 | 0.1 | 0.2 | 0.1 | 0.2 | 0.1 | 0.1a | 0.2 | 0.3 | 0.2 | 0.2 | 0.2 | 0.2 |
| MTF | 0.7a | 0.6 | 0.6 | 0.6 | 0.6 | 0.6 | 0.6 | 0.5 | 0.7 | 0.6 | 0.4 | 0.6 | 0.5 | 0.5 | 0.6 | 0.6 | 0.5 |
| YRBS | -- | -- | -- | -- | -- | -- | -- | -- | -- | -- | -- | -- | -- | -- | -- | -- | -- |
| Alcohol | |||||||||||||||||
| NSDUH | 17.6a | 17.7a | 17.6a | 16.5a | 16.7a | 16.0a | 14.7a | 14.8a | 13.6a | 13.3a | 12.9a | 11.6a | 11.5a | 9.6 | 9.2 | 9.9a | 9.0 |
| MTF | 27.5a | 27.6a | 26.9a | 25.2a | 25.5a | 24.7a | 22.4a | 22.7a | 21.4a | 20.0a | 19.3a | 18.0a | 16.3a | 15.6a | 13.6 | 13.9 | 13.4 |
| YRBS | -- | 44.9a | -- | 43.3a | -- | 44.7a | -- | 41.8a | -- | 38.7a | -- | 34.9a | -- | 32.8 | -- | 29.8 | -- |
| Cigarettes | |||||||||||||||||
| NSDUH | 13.0a | 12.2a | 11.9a | 10.8a | 10.4a | 9.9a | 9.2a | 9.0a | 8.4a | 7.8a | 6.6a | 5.6a | 4.9a | 4.2a | 3.4a | 3.2a | 2.7 |
| MTF | 14.2a | 13.5a | 12.6a | 12.1a | 11.6a | 10.6a | 9.6a | 9.8a | 10.4a | 9.0a | 7.9a | 6.8a | 5.6a | 5.0a | 3.8 | 3.5 | 3.2 |
| YRBS | -- | 21.9a | -- | 23.0a | -- | 20.0a | -- | 19.5a | -- | 18.1a | -- | 15.7a | -- | 10.8 | -- | 8.8 | -- |
| LSD = lysergic acid diethylamide; MTF = Monitoring the Future; NSDUH = National Survey on Drug Use and Health; YRBS = Youth Risk Behavior Survey. * Low precision; estimate not reported. -- Not available. NOTE: NSDUH data are for youths aged 12 to 17. Some 2006 to 2010 NSDUH estimates may differ from previously published estimates due to updates (see Section 3.3.5 in Chapter 3 of this report). NOTE: MTF data are simple averages of estimates for 8th and 10th graders. MTF data for 8th and 10th graders are reported in Johnston, Miech, O'Malley, Bachman, Schulenberg, and Patrick (2019). The MTF design effects used for variance estimation are reported in Miech, Johnston, O'Malley, Bachman, Schulenberg, and Patrick (2017). NOTE: Statistical tests for the YRBS were conducted using the "Youth Online Data Analysis Tool" (see https://www.cdc.gov/healthyyouth/data/yrbs/index.htm). Results of testing for statistical significance in this table may differ from published YRBS reports of change. a The difference between this estimate and the 2018 estimate is statistically significant at the .05 level for NSDUH and MTF. The difference between this estimate and the 2017 estimate is statistically significant at the .05 level for the YRBS. Sources: SAMHSA, Center for Behavioral Health Statistics and Quality, National Survey on Drug Use and Health, 2002-2018 .National Institute on Drug Abuse, Monitoring the Future Study, University of Michigan, 2002-2018 .Centers for Disease Control and Prevention, Youth Risk Behavior Survey, 2003, 2005, 2007, 2009, 2011, 2013, 2015, and 2017. |
|||||||||||||||||
American Association for Public Opinion Research. (2016). Standard definitions: Final dispositions of case codes and outcome rates for surveys (9th ed. revised). Retrieved from https://www.aapor.org/AAPOR_Main/media/publications/Standard-Definitions20169theditionfinal.pdf 
American Psychiatric Association. (1980). Diagnostic and statistical manual of mental disorders (DSM-III) (3rd ed.). Washington, DC: Author.
American Psychiatric Association. (1987). Diagnostic and statistical manual of mental disorders (DSM-III-R) (3rd rev. ed.). Washington, DC: Author.
American Psychiatric Association. (1994). Diagnostic and statistical manual of mental disorders (DSM-IV) (4th ed.). Washington, DC: Author.
American Psychiatric Association. (2013). Diagnostic and statistical manual of mental disorders (DSM-5) (5th ed.). Arlington, VA: Author.
Aquilino, W. S. (1994). Interview mode effects in surveys of drug and alcohol use: A field experiment. Public Opinion Quarterly, 58, 210-240. https://doi.org/10.1086/269419 
Bachhuber, M. A., Hennessy, S., Cunningham, C. O., & Starrels, J. L. (2016). Increasing benzodiazepine prescriptions and overdose mortality in the United States, 1996-2013. American Journal of Public Health, 106, 686-688. https://doi.org/10.2105/ajph.2016.303061 
Bachman, J. G., Johnston, L. D., O'Malley, P. M., & Schulenberg, J. E. (2011). The Monitoring the Future project after thirty-seven years: Design and procedures (Monitoring the Future Occasional Paper No. 76). Ann Arbor, MI: Institute for Social Research. Retrieved from http://www.monitoringthefuture.org/pubs/occpapers/mtf-occ76.pdf 
Bachman, J. G., Johnston, L. D., O'Malley, P. M., Schulenberg, J. E., & Miech, R. A. (2015). The Monitoring the Future project after four decades: Design and procedures (Monitoring the Future Occasional Paper No. 82). Ann Arbor, MI: Institute for Social Research. Retrieved from http://www.monitoringthefuture.org/pubs/occpapers/mtf-occ82.pdf 
Bassuk, E. L., Richard, M. K., & Tsertsvadze, A. (2015). The prevalence of mental illness in homeless children: A systematic review and meta-analysis. Journal of the American Academy of Child and Adolescent Psychiatry, 54, 86-96.e2. https://doi.org/10.1016/j.jaac.2014.11.008 
Batts, K., Pemberton, M., Bose, J., Weimer, B., Henderson, L., Penne, M., Gfroerer, J., Trunzo, D., & Strashny, A. (2014, April). Comparing and evaluating substance use treatment utilization estimates from the National Survey on Drug Use and Health and other data sources. CBHSQ Data Review. Retrieved from https://www.samhsa.gov/data/
Beck, A. J., Berzofsky, M., Caspar, R., & Krebs, C. (2013, May). Sexual victimization in prisons and jails reported by inmates, 2011-12: National Inmate Survey, 2011-12 (NCJ 241399). Washington, DC: U.S. Department of Justice, Office of Justice Programs, Bureau of Justice Statistics.
Borges, G., Angst, J., Nock, M. K., Ruscio, A. M., Walters, E. E., & Kessler, R. C. (2006). A risk index for 12-month suicide attempts in the National Comorbidity Survey Replication (NCS-R). Psychological Medicine, 36, 1747-1757. https://doi.org/10.1017/s0033291706008786 
Bray, R. M., Pemberton, M. R., Hourani, L. L., Witt, M., Rae Olmsted, K. L., Brown, J. M., Weimer, B. J., Lane, M. E., Marsden, M. E., Scheffler, S. A., Vandermaas-Peeler, R., Aspinwall, K. R., Anderson, E. M., Spagnola, K., Close, K. L., Gratton, J. L., Calvin, S. L., & Bradshaw, M. R. (2009, September). 2008 Department of Defense Survey of Health Related Behaviors Among Active Duty Military Personnel: A component of the Defense Lifestyle Assessment Program (DLAP) (RTI/10940-FR, prepared under Contract No. GS-10F-0097L, Task Order No. W81XWH-07-F-0538, for the Assistant Secretary of Defense [Health Affairs] and Task Order No. HSCG23-07-F-PMD047 for the U.S. Coast Guard). Research Triangle Park, NC: RTI International.
Brener, N. D., Eaton, D. K., Kann, L., Grunbaum, J. A., Gross, L. A., Kyle, T. M., & Ross, J. G. (2006). The association of survey setting and mode with self-reported health risk behaviors among high school students. Public Opinion Quarterly, 70, 354-374. https://doi.org/10.1093/poq/nfl003 
Bronson, J., Stroop, J., Zimmer, S., & Berzofsky, M. (2017, June). Drug use, dependence, and abuse among state prisoners and jail inmates, 2007-2009 (NCJ 250546, BJS Special Report). Washington, DC: U.S. Department of Justice, Office of Justice Programs, Bureau of Justice Statistics. Retrieved from https://www.bjs.gov/
Butler, S. F., Budman, S. H., Fernandez, K. C., Fanciullo, G. J., & Jamison, R. N. (2009). Cross-validation of a screener to predict opioid misuse in chronic pain patients (SOAPP-R). Journal of Addiction Medicine, 3(2), 66-73. https://doi.org/10.1097/adm.0b013e31818e41da 
Butler, S. F., Budman, S. H., Fernandez, K. C., Houle, B., Benoit, C., Katz, N., & Jamison, R. N. (2007). Development and validation of the Current Opioid Misuse Measure. Pain, 130, 144-156. https://doi.org/10.1016/j.pain.2007.01.014 
Buttram, M. E. (2018, March 14). Gabapentin diversion and misuse: Data from law enforcement and substance users. Retrieved from https://ndews.umd.edu/ 
Buttram, M. E., Kurtz, S. P., Dart, R. C., & Margolin, Z. R. (2017). Law enforcement-derived data on gabapentin research and misuse, 2002-2015: Diversion rates and qualitative research findings. Pharmacoepidemiology and Drug Safety, 26, 1083-1086. https://doi.org/10.1002/pds.4230 
Center for Behavioral Health Statistics and Quality. (2010a). Results from the 2009 National Survey on Drug Use and Health: Mental health findings (HHS Publication No. SMA 10-4609, NSDUH Series H-39). Rockville, MD: Substance Abuse and Mental Health Services Administration.
Center for Behavioral Health Statistics and Quality. (2010b). Results from the 2009 National Survey on Drug Use and Health: Volumes I and II. Summary of national findings and technical appendices and selected prevalence tables (HHS Publication Nos. SMA 10-4856 Findings and SMA 10-4856 Appendices, NSDUH Series H-38A and H38B). Rockville, MD: Substance Abuse and Mental Health Services Administration.
Center for Behavioral Health Statistics and Quality. (2012a). 2010 National Survey on Drug Use and Health: Methodological resource book (Section 16b, Analysis of effects of 2008 NSDUH questionnaire changes: Methods to adjust adult MDE and SPD estimates and to estimate SMI in the 2005-2009 surveys). Rockville, MD: Substance Abuse and Mental Health Services Administration.
Center for Behavioral Health Statistics and Quality. (2012b). Comparing and evaluating youth substance use estimates from the National Survey on Drug Use and Health and other surveys (HHS Publication No. SMA 12-4727, Methodology Series M-9). Rockville, MD: Substance Abuse and Mental Health Services Administration.
Center for Behavioral Health Statistics and Quality. (2012c). Results from the 2011 National Survey on Drug Use and Health: Mental health findings (HHS Publication No. SMA 12-4725, NSDUH Series H-45). Rockville, MD: Substance Abuse and Mental Health Services Administration.
Center for Behavioral Health Statistics and Quality. (2012d). Results from the 2011 National Survey on Drug Use and Health: Summary of national findings (HHS Publication No. SMA 12-4713, NSDUH Series H-44). Rockville, MD: Substance Abuse and Mental Health Services Administration.
Center for Behavioral Health Statistics and Quality. (2013a). 2012 National Survey on Drug Use and Health: Methodological resource book (Section 2, Sample design report). Rockville, MD: Substance Abuse and Mental Health Services Administration.
Center for Behavioral Health Statistics and Quality. (2013b). Results from the 2012 National Survey on Drug Use and Health: Mental health findings (HHS Publication No. SMA 13-4805, NSDUH Series H-47). Rockville, MD: Substance Abuse and Mental Health Services Administration.
Center for Behavioral Health Statistics and Quality. (2014a). 2012 National Survey on Drug Use and Health: Methodological resource book (Section 16a, 2012 Mental Health Surveillance Study: Design and estimation report). Rockville, MD: Substance Abuse and Mental Health Services Administration.
Center for Behavioral Health Statistics and Quality. (2014b). National Survey on Drug Use and Health: 2012 Questionnaire Field Test final report. Rockville, MD: Substance Abuse and Mental Health Services Administration.
Center for Behavioral Health Statistics and Quality. (2014c). National Survey on Drug Use and Health: 2013 Dress Rehearsal final report. Rockville, MD: Substance Abuse and Mental Health Services Administration.
Center for Behavioral Health Statistics and Quality. (2014d). Results from the 2013 National Survey on Drug Use and Health: Summary of national findings (HHS Publication No. SMA 14-4863, NSDUH Series H-48). Rockville, MD: Substance Abuse and Mental Health Services Administration.
Center for Behavioral Health Statistics and Quality. (2015a). Estimating mental illness among adults in the United States: Revisions to the 2008 estimation procedures. Rockville, MD: Substance Abuse and Mental Health Services Administration.
Center for Behavioral Health Statistics and Quality. (2015b). National Survey on Drug Use and Health: 2014 and 2015 redesign changes. Retrieved from https://www.samhsa.gov/data/
Center for Behavioral Health Statistics and Quality. (2016a). 2015 National Survey on Drug Use and Health: Detailed tables. Retrieved from https://www.samhsa.gov/data/
Center for Behavioral Health Statistics and Quality. (2016b). 2015 National Survey on Drug Use and Health: Methodological summary and definitions. Retrieved from https://www.samhsa.gov/data/
Center for Behavioral Health Statistics and Quality. (2016c). 2015 National Survey on Drug Use and Health: Summary of the effects of the 2015 NSDUH questionnaire redesign: Implications for data users. Retrieved from https://www.samhsa.gov/data/
Center for Behavioral Health Statistics and Quality. (2017a). 2015 National Survey on Drug Use and Health: Methodological resource book (Section 15, 2015 Questionnaire redesign impact assessment, final report, Volumes 1 and 2). Retrieved from https://www.samhsa.gov/data/
Center for Behavioral Health Statistics and Quality. (2017b). 2016 National Survey on Drug Use and Health: Methodological summary and definitions. Retrieved from https://www.samhsa.gov/data/
Center for Behavioral Health Statistics and Quality. (2017c). Key substance use and mental health indicators in the United States: Results from the 2016 National Survey on Drug Use and Health (HHS Publication No. SMA 17-5044, NSDUH Series H-52). Retrieved from https://www.samhsa.gov/data/
Center for Behavioral Health Statistics and Quality. (2018a). 2017 National Survey on Drug Use and Health: Detailed tables. Retrieved from https://www.samhsa.gov/data/
Center for Behavioral Health Statistics and Quality. (2018b). 2017 National Survey on Drug Use and Health: Methodological summary and definitions. Retrieved from https://www.samhsa.gov/data/
Center for Behavioral Health Statistics and Quality. (2018c). Key substance use and mental health indicators in the United States: Results from the 2017 National Survey on Drug Use and Health (HHS Publication No. SMA 18-5068, NSDUH Series H-53). Retrieved from https://www.samhsa.gov/data/
Center for Behavioral Health Statistics and Quality. (2018d). National Survey of Substance Abuse Treatment Services (N-SSATS): 2017. Data on substance abuse treatment facilities. Retrieved from https://www.samhsa.gov/data/
Center for Behavioral Health Statistics and Quality. (2018e). National Survey on Drug Use and Health: 2017 public use file and codebook. Retrieved from https://datafiles.samhsa.gov/
Center for Behavioral Health Statistics and Quality. (2019a). 2017 National Survey on Drug Use and Health: Methodological resource book. Retrieved from https://www.samhsa.gov/data/
Center for Behavioral Health Statistics and Quality. (2019b). 2017 National Survey on Drug Use and Health: Methodological resource book (Section 11, person-level sampling weight calibration). Retrieved from https://www.samhsa.gov/data/
Center for Behavioral Health Statistics and Quality. (2019c). 2017 National Survey on Drug Use and Health: Methodological resource book (Section 13, statistical inference report). Retrieved from https://www.samhsa.gov/data/
Center for Behavioral Health Statistics and Quality. (2019d). 2018 National Survey on Drug Use and Health: Detailed tables. Retrieved from https://www.samhsa.gov/data/
Center for Behavioral Health Statistics and Quality. (2019e). 2018 National Survey on Drug Use and Health: Methodological resource book (Section 2, sample design report). Retrieved from https://www.samhsa.gov/data/
Center for Behavioral Health Statistics and Quality. (2019f). 2018 National Survey on Drug Use and Health: Prescription drug images for the 2018 questionnaire. Retrieved from https://www.samhsa.gov/data/
Center for Behavioral Health Statistics and Quality. (2019g). Key substance use and mental health indicators in the United States: Results from the 2018 National Survey on Drug Use and Health (HHS Publication No. PEP19-5068, NSDUH Series H-54). Retrieved from https://www.samhsa.gov/data/
Center for Mental Health Services, Substance Abuse and Mental Health Services Administration. (1999, June 24). Estimation methodology for adults with serious mental illness (SMI): Final notice. Federal Register, 64(121), 33890-33897.
Centers for Disease Control and Prevention. (2012, June 8). Methodologic changes in the Behavioral Risk Factor Surveillance System in 2011 and potential effects on prevalence estimates. Morbidity and Mortality Weekly Report, 61, 410-413.
Centers for Disease Control and Prevention. (2013, March 29). QuickStats: Number of deaths from poisoning, drug poisoning, and drug poisoning involving opioid analgesics—United States, 1999-2010. Morbidity and Mortality Weekly Report, 62(12), 234.
Centers for Disease Control and Prevention. (2018, July). Behavioral Risk Factor Surveillance System overview: BRFSS 2017. Retrieved from https://www.cdc.gov/brfss/annual_data/2017/pdf/overview-2017-508.pdf
Chromy, J. R., Feder, M., Gfroerer, J., Hirsch, E., Kennet, J., Morton, K. B., Piper, L., Riggsbee, B. H., Snodgrass, J. A., Virag, T. G., & Yu, F. (2010). Reliability of key measures in the National Survey on Drug Use and Health (HHS Publication No. SMA 09-4425, Methodology Series M-8). Rockville, MD: Substance Abuse and Mental Health Services Administration, Office of Applied Studies.
Cohen, J. (1960). A coefficient of agreement for nominal scales. Educational and Psychological Measurement, 20, 37-46. https://doi.org/10.1177/001316446002000104 
Colpe, L. J., Epstein, J. F., Barker, P. R., & Gfroerer, J. C. (2009). Screening for serious mental illness in the National Survey on Drug Use and Health (NSDUH). Annals of Epidemiology, 19, 210-211. https://doi.org/10.1016/j.annepidem.2008.09.005 
Controlled Substances Act, 21 U.S.C., §§ 801-971 (2012). Retrieved from https://www.deadiversion.usdoj.gov/21cfr/21usc/index.html
Dawson, D. A., Goldstein, R. B., Saha, T. D., & Grant, B. F. (2015). Changes in alcohol consumption: United States, 2001-2002 to 2012-2013. Drug and Alcohol Dependence, 148, 56-61. https://doi.org/10.1016/j.drugalcdep.2014.12.016 
Deville, J.-C., & Särndal, C.-E. (1992). Calibration estimators in survey sampling. Journal of the American Statistical Association, 87, 376-382. https://doi.org/10.1080/01621459.1992.10475217 
Dowell, D., Haegerich, T. M., & Chou, R. (2016). CDC guideline for prescribing opioids for chronic pain — United States, 2016. Morbidity and Mortality Weekly Report Recommendations and Reports, 65(RR-1), 1-50. Retrieved from https://www.cdc.gov/mmwr/volumes/65/rr/pdfs/rr6501e1.pdf [Errata. Vol. 65, No. RR-1. 2016. Morbidity and Mortality Weekly Report, 65, 295. https://doi.org/10.15585/mmwr.mm6511a6 
Druss, B. G., Hwang, I., Petukhova, M., Sampson, N. A., Wang, P. S., & Kessler, R. C. (2009). Impairment in role functioning in mental and chronic medical disorders in the United States: Results from the National Comorbidity Survey Replication. Molecular Psychiatry, 14, 728-737. https://doi.org/10.1038/mp.2008.13 
Endicott, J., Spitzer, R. L., Fleiss, J. L., & Cohen, J. (1976). The Global Assessment Scale: A procedure for measuring overall severity of psychiatric disturbance. Archives of General Psychiatry, 33, 766-771. https://doi.org/10.1001/archpsyc.1976.01770060086012 
Fagerstrom, K.-O. (1978). Measuring degree of physical dependence to tobacco smoking with reference to individualization of treatment. Addictive Behaviors, 3, 235-241. https://doi.org/10.1016/0306-4603(78)90024-2 
Fendrich, M., Johnson, T. P., Sudman, S., Wislar, J. S., & Spiehler, V. (1999). Validity of drug use reporting in a high-risk community sample: A comparison of cocaine and heroin survey reports with hair tests. American Journal of Epidemiology, 149, 955-962. https://doi.org/10.1093/oxfordjournals.aje.a009740 
First, M. B., Spitzer, R. L., Gibbon, M., & Williams, J. B. W. (2002). Structured Clinical Interview for DSM-IV-TR Axis I Disorders, Research Version, Non-patient Edition (SCID-I/NP). New York, NY: New York State Psychiatric Institute, Biometrics Research.
Folsom, R. E., & Singh, A. C. (2000). The generalized exponential model for sampling weight calibration for extreme values, nonresponse, and poststratification. In Proceedings of the 2000 Joint Statistical Meetings, American Statistical Association, Survey Research Methods Section, Indianapolis, IN (pp. 598-603). Alexandria, VA: American Statistical Association.
Fryar, C. D., Merino, M. C., Hirsch, R., & Porter, K. S. (2009, May 20). Smoking, alcohol use, and illicit drug use reported by adolescents aged 12-17 years: United States, 1999-2004. National Health Statistics Reports, No. 15, 1-23.
Gfroerer, J., Eyerman, J., & Chromy, J. (Eds.). (2002). Redesigning an ongoing national household survey: Methodological issues (HHS Publication No. SMA 03-3768). Rockville, MD: Substance Abuse and Mental Health Services Administration, Office of Applied Studies.
Gfroerer, J., Lessler, J., & Parsley, T. (1997a). Studies of nonresponse and measurement error in the National Household Survey on Drug Abuse. In L. Harrison & A. Hughes (Eds.), The validity of self-reported drug use: Improving the accuracy of survey estimates (NIH Publication No. 97-4147, NIDA Research Monograph 167, pp. 273-295). Rockville, MD: National Institute on Drug Abuse.
Gfroerer, J., Wright, D., & Kopstein, A. (1997b). Prevalence of youth substance use: The impact of methodological differences between two national surveys. Drug and Alcohol Dependence, 47, 19-30. https://doi.org/10.1016/s0376-8716(97)00063-x 
Goldstein, R. B., Chou, S. P., Smith, S. M., Jung, J., Zhang, H., Saha, T. D., Pickering, R. P., Ruan, W. J., Huang, B., & Grant, B. F. (2015). Nosologic comparisons of DSM-IV and DSM-5 alcohol and drug use disorders: Results from the National Epidemiologic Survey on Alcohol and Related Conditions–III. Journal of Studies on Alcohol and Drugs, 76, 378-388. https://doi.org/10.15288/jsad.2015.76.378 
Grant, B. F., & Dawson, D. A. (2006). Introduction to the National Epidemiologic Survey on Alcohol and Related Conditions. Alcohol Research & Health, 29, 74-78.
Grant, B. F., Goldstein, R. B., Saha, T. D., Chou, S. P., Jung, J., Zhang, H., Pickering, R. P., Ruan, W. J., Smith, S. M., Huang, B., & Hasin, D. S. (2015). Epidemiology of DSM-5 alcohol use disorder: Results from the National Epidemiologic Survey on Alcohol and Related Conditions III. Journal of the American Medical Association Psychiatry, 72, 757-766. https://doi.org/10.1001/jamapsychiatry.2015.0584 
Grant, B. F., Stinson, F. S., Dawson, D. A., Chou, S. P., Dufour, M. C., Compton, W., Pickering, R. P., & Kaplan, K. (2004). Prevalence and co-occurrence of substance use disorders and independent mood and anxiety disorders: Results from the National Epidemiologic Survey on Alcohol and Related Conditions. Archives of General Psychiatry, 61, 807-816. https://doi.org/10.1001/archpsyc.61.8.807 
Grucza, R. A., Abbacchi, A. M., Przybeck, T. R., & Gfroerer, J. C. (2007). Discrepancies in estimates of prevalence and correlates of substance use and disorders between two national surveys. Addiction, 102, 623-629. https://doi.org/10.1111/j.1360-0443.2007.01745.x 
Haberstick, B. C., Young, S. E., Zeiger, J. S., Lessem, J. M., Hewitt, J. K., & Hopfer, C. J. (2014). Prevalence and correlates of alcohol and cannabis use disorders in the United States: Results from the National Longitudinal Study of Adolescent Health. Drug and Alcohol Dependence, 136, 158-161. https://doi.org/10.1016/j.drugalcdep.2013.11.022 
Harris-Kojetin, L., Sengupta, M., Lendon, J. P., Rome, V., Valverde, R., & Caffrey, C. (2019). Long-term care providers and services users in the United States, 2015-2016. Vital and Health Statistics, Series 3, No. 43 (HHS Publication No. 2019-1427). Hyattsville, MD: National Center for Health Statistics. Retrieved from https://www.cdc.gov/nchs/data/series/sr_03/sr03_43-508.pdf
Harrison, L., & Hughes, A. (Eds.). (1997). The validity of self-reported drug use: Improving the accuracy of survey estimates (NIH Publication No. 97-4147, NIDA Research Monograph 167). Rockville, MD: National Institute on Drug Abuse.
Harrison, L. D., Martin, S. S., Enev, T., & Harrington, D. (2007). Comparing drug testing and self-report of drug use among youths and young adults in the general population (HHS Publication No. SMA 07-4249, Methodology Series M-7). Rockville, MD: Substance Abuse and Mental Health Services Administration, Office of Applied Studies.
Harvard School of Medicine. (2005). Home page: National Comorbidity Survey (NCS). Retrieved from https://www.hcp.med.harvard.edu/ncs/ 
Hasin, D. S., Greenstein, E., Aivadyan, C., Stohl, M., Aharonovich, E., Saha, T., Goldstein, R., Nunes, E. V., Jung, J., Zhang, H., & Grant, B. F. (2015). The Alcohol Use Disorder and Associated Disabilities Interview Schedule-5 (AUDADIS-5): Procedural validity of substance use disorders modules through clinical re-appraisal in a general population sample. Drug and Alcohol Dependence, 148, 40-46. https://doi.org/10.1016/j.drugalcdep.2014.12.011 
Hasin, D. S., Sarvet, A. L., Meyers, J. L., Saha, T. D., Ruan, W. J., Stohl, M., & Grant, B. F. (2018). Epidemiology of adult DSM-5 major depressive disorder and its specifiers in the United States. Journal of the American Medical Association Psychiatry, 75, 336-346. https://doi.org/10.1001/jamapsychiatry.2017.4602 
Havens, J. R. (2018, March 14). The emergence of gabapentin as a drug of abuse in a cohort of rural Appalachian drug users. Retrieved from https://ndews.umd.edu/ 
Heatherton, T. F., Kozlowski, L. T., Frecker, R. C., & Fagerstrom, K.-O. (1991). The Fagerstrom Test for Nicotine Dependence: A revision of the Fagerstrom Tolerance Questionnaire. British Journal of Addiction, 86, 1119-1127. https://doi.org/10.1111/j.1360-0443.1991.tb01879.x 
Hedden, S., Gfroerer, J., Barker, P., Smith, S., Pemberton, M. R., Saavedra, L. M., Forman-Hoffman, V. L., Ringeisen, H., & Novak, S. P. (2012, March). Comparison of NSDUH mental health data and methods with other data sources. CBHSQ Data Review. Retrieved from https://www.samhsa.gov/data/
Hughes, A., Williams, M. R., Lipari, R. N., Bose, J., Copello, E. A. P., & Kroutil, L. A. (2016, September). Prescription drug use and misuse in the United States: Results from the 2015 National Survey on Drug Use and Health. NSDUH Data Review. Retrieved from https://www.samhsa.gov/data/
Humensky, J. L. (2010). Are adolescents with high socioeconomic status more likely to engage in alcohol and illicit drug use in early adulthood? Substance Abuse Treatment, Prevention, and Policy, 5, 19. https://doi.org/10.1186/1747-597x-5-19 
Johnston, L. D., Miech, R. A., O'Malley, P. M., Bachman, J. G., Schulenberg, J. E., & Patrick, M. E. (2019). Monitoring the Future national survey results on drug use, 1975-2018: Overview, key findings on adolescent drug use. Ann Arbor, MI: University of Michigan, Institute for Social Research. http://www.monitoringthefuture.org/pubs/monographs/mtf-overview2018.pdf
Kandel, D. B., Hu, M.-C., & Griesler, P. C. (2013). Epidemiology of substance use disorders. In D. S. Charney, J. D. Buxbaum, P. Sklar, & E. J. Nestler (Eds.), Epidemiology of substance use disorders in neurobiology of mental illness (4th ed., pp. 772-788). New York, NY: Oxford University Press.
Kerridge, B. T., Chou, S. P., Pickering, R. P., Ruan, W. J., Huang, B., Jung, J., Zhang, H., Fan, A. Z., Saha, T. D., Grant, B. F., & Hasin, D. S. (2019). Changes in the prevalence and correlates of cocaine use and cocaine use disorder in the United States, 2001-2002 and 2012-2013. Addictive Behaviors, 90, 250-257. https://doi.org/10.1016/j.addbeh.2018.11.005 
Kessler, R. C., Avenevoli, S., Costello, E. J., Georgiades, K., Green, J. G., Gruber, M. J., He, J. P., Koretz, D., McLaughlin, K. A., Petukhova, M., Sampson, N. A., Zaslavsky, A. M., & Merikangas, K. R. (2012). Prevalence, persistence, and sociodemographic correlates of DSM-IV disorders in the National Comorbidity Survey Replication Adolescent Supplement. Archives of General Psychiatry, 69, 372-380. https://doi.org/10.1001/archgenpsychiatry.2011.160 
Kessler, R. C., Avenevoli, S., Costello, J., Green, J. G., Gruber, M. J., Heeringa, S., Merikangas, K. R., Pennell, B. E., Sampson, N. A., & Zaslavsky, A. M. (2009). Design and field procedures in the US National Comorbidity Survey Replication Adolescent Supplement (NCS-A). International Journal of Methods in Psychiatric Research, 18(2), 69-83. https://doi.org/10.1002/mpr.279 
Kessler, R. C., Barker, P. R., Colpe, L. J., Epstein, J. F., Gfroerer, J. C., Hiripi, E., Howes, M. J., Normand, S. L., Manderscheid, R. W., Walters, E. E., & Zaslavsky, A. M. (2003a). Screening for serious mental illness in the general population. Archives of General Psychiatry, 60, 184-189. https://doi.org/10.1001/archpsyc.60.2.184 
Kessler, R. C., Berglund, P., Chiu, W. T., Demler, O., Heeringa, S., Hiripi, E., Jin, R., Pennell, B. E., Walters, E. E., Zaslavsky, A, & Zheng, H. (2004a). The US National Comorbidity Survey Replication (NCS-R): Design and field procedures. International Journal of Methods in Psychiatric Research, 13(2), 69-92. https://doi.org/10.1002/mpr.167 
Kessler, R. C., Berglund, P., Demler, O., Jin, R., Koretz, D., Merikangas, K. R., Rush, A. J., Walters, E. E., & Wang, P. S. (2003b). The epidemiology of major depressive disorder: Results from the National Comorbidity Survey Replication (NCS-R). Journal of the American Medical Association, 289, 3095-3105. https://doi.org/10.1001/jama.289.23.3095 
Kessler, R. C., Berglund, P. A., Bruce, M. L., Koch, J. R., Laska, E. M., Leaf, P. J., Manderscheid, R. W., Rosenheck, R. A., Walters, E. E., & Wang, P. S. (2001). The prevalence and correlates of untreated serious mental illness. Health Services Research, 36, 987-1007.
Kessler, R. C., Berglund, P. A., Glantz, M. D., Koretz, D. S., Merikangas, K. R., Walters, E. E., & Zaslavsky, A. M. (2004b). Estimating the prevalence and correlates of serious mental illness in community epidemiological surveys. In R. W. Manderscheid & M. J. Henderson (Eds.), Mental health, United States, 2002 (HHS Publication No. SMA 04-3938, pp. 155-164). Rockville, MD: Substance Abuse and Mental Health Services Administration, Center for Mental Health Services.
Kessler, R. C., Berglund, P. A., Walters, E. E., Leaf, P. J., Kouzis, A. C., Bruce, M. L., Friedman, R. M., Grosser, R. C., Kennedy, C., Kuehnel, T. G., Laska, E. M., Manderscheid, R. W., Narrow, W. E., Rosenheck, R. A., & Schneier, M. (1998). A methodology for estimating the 12-month prevalence of serious mental illness. In R. W. Manderscheid & M. J. Henderson (Eds.), Mental health, United States, 1998 (HHS Publication No. SMA 99-3285, pp. 99-109). Rockville, MD: Substance Abuse and Mental Health Services Administration, Center for Mental Health Services.
Kessler, R. C., Berglund, P. A., Zhao, S., Leaf, P. J., Kouzis, A. C., Bruce, M. L., Friedman, R. M., Grosser, R. C., Kennedy, C., Narrow, W. E., Kuehnel, T. G., Laska, E. M., Manderscheid, R. W., Rosenheck, R. A., Santoni, T. W., & Schneier, M. (1996). The 12-month prevalence and correlates of serious mental illness (SMI). In R. W. Manderscheid & M. A. Sonnenschein (Eds.), Mental health, United States, 1996 (HHS Publication No. SMA 96-3098, pp. 59-70). Rockville, MD: Substance Abuse and Mental Health Services Administration.
Kessler, R. C., Chiu, W. T., Colpe, L., Demler, O., Merikangas, K. R., Walters, E. E., & Wang, P. S. (2006). The prevalence and correlates of serious mental illness (SMI) in the National Comorbidity Survey Replication (NCS-R). In R. W. Manderscheid & J. T. Berry (Eds.), Mental health, United States, 2004 (pp. 134-148). Rockville, MD: Substance Abuse and Mental Health Services Administration.
Kessler, R. C., Chiu, W. T., Demler, O., Merikangas, K. R., & Walters, E. E. (2005). Prevalence, severity, and comorbidity of 12-month DSM-IV disorders in the National Comorbidity Survey Replication. Archives of General Psychiatry, 62, 617-627. https://doi.org/10.1001/archpsyc.62.6.617 
Kessler, R. C., Colpe, L. J., Fullerton, C. S., Gebler, N., Naifeh, J. A., Nock, M. K., Sampson, N. A., Schoenbaum, M., Zaslavsky, A. M., Stein, M. B., Ursano, R. J., & Herringa, S. G. (2013). Design of the Army Study to Assess Risk and Resilience in Servicemembers (Army STARRS). International Journal of Methods in Psychiatric Research, 22, 267-275. https://doi.org/10.1002/mpr.1401 
Kessler, R. C., Herringa, S. G., Stein, M. B., Colpe, L. J., Fullerton, C. S., Hwang, I., Naifeh, J. A., Nock, M. K., Petukhova, M., Sampson, N. A., Schoenbaum, M., Zaslavsky, A. M., & Ursano, R. J. (2014). Thirty-day prevalence of DSM-IV mental disorders among nondeployed soldiers in the US Army: Results from the Army Study to Assess Risk and Resilience in Servicemembers (Army STARRS). Journal of the American Medical Association Psychiatry, 71(5), 504-513. https://doi.org/10.1001/jamapsychiatry.2014.28 
Kessler, R. C., McGonagle, K. A., Zhao, S., Nelson, C. B., Hughes, M., Eshleman, S., Wittchen, H. U., & Kendler, K. S. (1994). Lifetime and 12-month prevalence of DSM-III-R psychiatric disorders in the United States: Results from the National Comorbidity Survey. Archives of General Psychiatry, 51, 8-19. https://doi.org/10.1001/archpsyc.1994.03950010008002 
Kessler, R. C., & Üstün, T. B. (2004). The World Mental Health (WMH) Survey Initiative Version of the World Health Organization (WHO) Composite International Diagnostic Interview (CIDI). International Journal of Methods in Psychiatric Research, 13, 93-121. https://doi.org/10.1002/mpr.168 
Landis, J. R., & Koch, G. G. (1977). The measurement of observer agreement for categorical data. Biometrics, 33, 159-174. https://doi.org/10.2307/2529310 
Lattimore, P. K., Steffey, D. M., Gfroerer, J., Bose, J., Pemberton, M. R., & Penne, M. A. (2014, August). Arrestee substance use: Comparison of estimates from the National Survey on Drug Use and Health and the Arrestee Drug Abuse Monitoring Program. CBHSQ Data Review. Retrieved from https://www.samhsa.gov/data/
Leon, A. C., Olfson, M., Portera, L., Farber, L., & Sheehan, D. V. (1997). Assessing psychiatric impairment in primary care with the Sheehan Disability Scale. International Journal of Psychiatry in Medicine, 27(2), 93-105. https://doi.org/10.2190/t8em-c8yh-373n-1uwd 
Lindberg, L., & Scott, R. H. (2018). Effect of ACASI on reporting of abortion and other pregnancy outcomes in the US National Survey of Family Growth. Studies in Family Planning, 49, 259-278. https://doi.org/10.1111/sifp.12068 
Lofquist, D., Lugaila, T., O'Connell, M., & Feliz, S. (2012, April). Households and families: 2010 (C2010BR-14, 2010 Census Briefs). Suitland, MD: U.S. Census Bureau.
Manly, B. F. J. (1986). Multivariate statistical methods: A primer. London, England: Chapman and Hall.
Martins, S. S., Sarvet, A., Santaella-Tenorio, J., Saha, T., Grant, B. F., & Hasin, D. S. (2017). Changes in US lifetime heroin use and heroin use disorder prevalence from the 2001-2002 to 2012-2013 National Epidemiologic Survey on Alcohol and Related Conditions. Journal of the American Medical Association Psychiatry, 74, 445-455. https://doi.org/10.1001/jamapsychiatry.2017.0113 
Meadows, S. O., Engel, C. C., Collins, R. L., Beckman, R., Cefalu, M., Hawes-Dawson, J., Doyle, M., Kress, A. M., Sontag-Padilla, L., Ramchand, R., & Williams, K. M. (2018). 2015 Department of Defense Health Related Behaviors Survey (HRBS) (prepared for the Defense Health Agency). Santa Monica, CA: Rand Corporation. Retrieved from https://www.health.mil/Military-Health-Topics/Access-Cost-Quality-and-Safety/Health-Care-Program-Evaluation/Survey-of-Health-Related-Behaviors/2015-Health-Related-Behavior-Survey-Active-Duty 
Miech, R. A., Johnston, L. D., O'Malley, P. M., Bachman, J. G., Schulenberg, J. E., & Patrick, M. E. (2017). Monitoring the Future national survey results on drug use, 1975-2016: Volume I, Secondary school students. Ann Arbor, MI: University of Michigan Institute for Social Research. Retrieved from http://www.monitoringthefuture.org/pubs/monographs/mtf-vol1_2016.pdf 
Naifeh, J. A., Colpe, L. J., Aliaga, P. A., Sampson, N. A., Heeringa, S. G., Stein, M. B., Ursano, R. J., Fullerton, C. S., Nock, M. K., Schoenbaum, M., Zaslavsky, A. M., & Kessler, R. C. (2016). Barriers to initiating and continuing mental health treatment among soldiers in the Army Study to Assess Risk and Resilience in Servicemembers (Army STARRS). Military Medicine, 181, 1021-1032. https://doi.org/10.7205/milmed-d-15-00211 
Naifeh, J. A., Ursano, R. J., Kessler, R. C., Gonzalez, O. I., Fullerton, C. S., Herberman Mash, H. B., Riggs-Donovan, C. A., Ng, T. H. H., Wynn, G. H., Dinh, H. M., Kao, T.-C., Sampson, N. A., & Stein, M. B. (2019). Suicide attempts among activated soldiers in the U.S. Army reserve components. BMC Psychiatry, 19(1), 31. https://doi.org/10.1186/s12888-018-1978-2 
Narrow, W. E., Rae, D. S., Robins, L. N., & Regier, D. A. (2002). Revised prevalence estimates of mental disorders in the United States: Using a clinical significance criterion to reconcile 2 surveys' estimates. Archives of General Psychiatry, 59, 115-123. https://doi.org/10.1001/archpsyc.59.2.115 
National Advisory Mental Health Council. (1993). Health care reform for Americans with severe mental illnesses: Report of the National Advisory Mental Health Council. American Journal of Psychiatry, 150, 1447-1465. https://doi.org/10.1176/ajp.150.10.1447 
National Center for Health Statistics. (2017). 2015 [National Ambulatory Medical Care Survey] NAMCS micro-data file documentation. Retrieved from ftp://ftp.cdc.gov/pub/Health_Statistics/NCHS/Dataset_Documentation/NAMCS/doc2015.pdf
National Center for Health Statistics. (2018a, June). 2017 National Health Interview Survey public use data release: Survey description. Retrieved from ftp://ftp.cdc.gov/pub/Health_Statistics/NCHS/Dataset_Documentation/NHIS/2017/srvydesc.pdf
National Center for Health Statistics. (2018b, November 30). Table A-12a. Current cigarette smoking status among adults aged 18 and over, by selected characteristics: United States, 2017. In Tables of summary health statistics. Retrieved from https://www.cdc.gov/nchs/nhis/shs/tables.htm
National Institute on Alcohol Abuse and Alcoholism. (2010, September). Alcohol use and alcohol use disorders in the United States, a 3-year follow-up: Main findings from the 2004-2005 Wave 2 National Epidemiologic Survey on Alcohol and Related Conditions (NESARC) (U.S. Alcohol Epidemiologic Data Reference Manual, Vol. 8, No. 2, NIH Publication No. 10-7677). Bethesda, MD: National Institutes of Health.
National Institute on Drug Abuse. (2018a, March). Benzodiazepines and opioids. Retrieved from https://www.drugabuse.gov
National Institute on Drug Abuse. (2018b, March). DrugFacts: Prescription CNS depressants. Retrieved from https://www.drugabuse.gov/publications/finder/t/160/drugfacts
National Institute on Drug Abuse. (2018c, June). DrugFacts: Prescription opioids. Retrieved from https://www.drugabuse.gov/publications/finder/t/160/drugfacts
National Institute on Drug Abuse. (2018d, August). Overdose death rates. Retrieved from https://www.drugabuse.gov
Nock, M. K., Stein, M. B., Herringa, S. G., Ursano, R. J., Colpe, L. J., Fullerton, C. S., Hwang, I., Naifeh, J. A., Sampson, N. A., Schoenbaum, M., Zaslavsky, A. M., & Kessler, R. C. (2014). Prevalence and correlates of suicidal behavior among soldiers: Results from the Army Study to Assess Risk and Resilience in Servicemembers (Army STARRS). Journal of the American Medical Association Psychiatry, 71, 514-522. https://doi.org/10.1001/jamapsychiatry.2014.30 
Novak, S. (2007, October). An item response analysis of the World Health Organization Disability Assessment Schedule (WHODAS) items in the 2002-2004 NSDUH (prepared for the Substance Abuse and Mental Health Services Administration under Contract No. 283-03-9028, RTI/8726). Research Triangle Park, NC: RTI International.
Novak, S. P., Colpe, L. J., Barker, P. R., & Gfroerer, J. C. (2010). Development of a brief mental health impairment scale using a nationally representative sample in the USA. International Journal of Methods in Psychiatric Research, 19(Suppl. 1), 49-60. https://doi.org/10.1002/mpr.313 
Office of Applied Studies. (2004). Results from the 2003 National Survey on Drug Use and Health: Detailed tables. Rockville, MD: Substance Abuse and Mental Health Services Administration.
Office of Applied Studies. (2005). Results from the 2004 National Survey on Drug Use and Health: National findings (HHS Publication No. SMA 05-4062, NSDUH Series H-28). Rockville, MD: Substance Abuse and Mental Health Services Administration.
Office of Applied Studies. (2006). Results from the 2005 National Survey on Drug Use and Health: National findings (HHS Publication No. SMA 07-4293, NSDUH Series H-32). Rockville, MD: Substance Abuse and Mental Health Services Administration.
Office of Applied Studies. (2009a). 2008 National Survey on Drug Use and Health: Methodological resource book (Section 16, Measuring serious mental illness with the NSDUH: Results of 2008 12-month analysis). Rockville, MD: Substance Abuse and Mental Health Services Administration.
Office of Applied Studies. (2009b). Results from the 2008 National Survey on Drug Use and Health: National findings (HHS Publication No. SMA 09-4434, NSDUH Series H-36). Rockville, MD: Substance Abuse and Mental Health Services Administration.
Pampel, F. C., Mollborn, S., & Lawrence, E. M. (2014). Life course transitions in early adulthood and SES disparities in tobacco use. Social Science Research, 43, 45-59. https://doi.org/10.1016/j.ssresearch.2013.08.005 
Paulozzi, L. J. (2012). Prescription drug overdoses: A review. Journal of Safety Research, 43, 283-289. https://doi.org/10.1016/j.jsr.2012.08.009 
Pemberton, M. R., Bose, J., Kilmer, G., Kroutil, L. A., Forman-Hoffman, V. L., & Gfroerer, J. C. (2013, September). Comparison of NSDUH health and health care utilization estimates to other national data sources. CBHSQ Data Review. Retrieved from https://www.samhsa.gov/data/
Piscopo, K., Lipari, R. N., Cooney, J., & Glasheen, C. (2016). Suicidal thoughts and behavior among adults: Results from the 2015 National Survey on Drug Use and Health. NSDUH Data Review. Retrieved from https://www.samhsa.gov/data/
Prison Rape Elimination Act (PREA), Pub. L. 108-79 (2003). Retrieved from https://www.gpo.gov/fdsys/pkg/PLAW-108publ79/content-detail.html
Rosellini, A. J., Heeringa, S. G., Stein, M. B., Ursano, R. J., Chiu, W. T., Colpe, L. J., Fullerton, C. S., Gilman, S. E., Hwang, I., Naifeh, J. A., Nock, M. K., Petukhova, M., Sampson, N. A., Schoenbaum, M., Zaslavsky, A. M., & Kessler, R. C. (2015). Lifetime prevalence of DSM-IV mental disorders among new soldiers in the U.S. Army: Results from the Army Study to Assess Risk and Resilience in Servicemembers (Army STARRS). Depression and Anxiety, 32(1), 13-24. https://doi.org/10.1002/da.22316 
RTI International. (2013). SUDAAN® language manual, Release 11.0.1. Research Triangle Park, NC: Author.
Rubin, D. B. (1986). Statistical matching using file concatenation with adjusted weights and multiple imputations. Journal of Business and Economic Statistics, 4(1), 87-94. https://doi.org/10.2307/1391390 
Saha, T. D., Kerridge, B. T., Goldstein, R. B., Chou, S.P., Zhang, H., Jung, J., Pickering, R. P., Ruan, W.J., Smith, S. M., Huang, H., Hasin, D. S., & Grant, B. F. (2016). Nonmedical prescription opioid use and DSM-5 nonmedical prescription opioid use disorder in the United States. Journal of Clinical Psychiatry, 77, 772-780. https://doi.org/10.4088/jcp.15m10386 
Scholl, L., Seth, P., Kariisa, M., Wilson, N., & Baldwin, G. (2019). Drug and opioid-involved overdose deaths—United States, 2013-2017. Morbidity and Mortality Weekly Report, 67(51-52), 1419-1427. https://doi.org/10.15585/mmwr.mm6751521e1 
Schulenberg, J. E., Johnston, L. D., O'Malley, P. M., Bachman, J. G., Miech, R. A. & Patrick, M. E. (2017). Monitoring the Future national survey results on drug use, 1975-2016: Volume II, College students and adults ages 19-55. Ann Arbor, MI: Institute for Social Research. Retrieved from http://www.monitoringthefuture.org/pubs/monographs/mtf-vol2_2016.pdf 
Seth, P., Scholl, L., Rudd, R. A., & Bacon, S. (2018). Overdose deaths involving opioids, cocaine, and psychostimulants—United States, 2015-2016. Morbidity and Mortality Weekly Report, 67(12), 349-358. https://doi.org/10.15585/mmwr.mm6712a1 
Shiffman, S., Hickcox, M., Gnys, M., Paty, J. A., & Kassel, J. D. (1995, March). The Nicotine Dependence Syndrome Scale: Development of a new measure. Poster presented at the annual meeting of the Society for Research on Nicotine and Tobacco, San Diego, CA.
Shiffman, S., Waters, A. J., & Hickcox, M. (2004). The Nicotine Dependence Syndrome Scale: A multidimensional measure of nicotine dependence. Nicotine & Tobacco Research, 6, 327-348. https://doi.org/10.1080/1462220042000202481 
Singh, A., Grau, E., & Folsom, R., Jr. (2002). Predictive mean neighborhood imputation for NHSDA substance use data. In J. Gfroerer, J. Eyerman, & J. Chromy (Eds.), Redesigning an ongoing national household survey: Methodological issues (HHS Publication No. SMA 03-3768, pp. 111-133). Rockville, MD: Substance Abuse and Mental Health Services Administration, Office of Applied Studies.
Smith, R. V., Havens, J. R., & Walsh, S. L. (2016). Gabapentin misuse, abuse and diversion: A systematic review. Addiction, 111, 1160-1174. https://doi.org/10.1111/add.13324 
Solari, C. D., Cortes, A., Henry, M., Matthews, N., & Morris, S. (2014, October). The 2013 Annual Homeless Assessment Report (AHAR) to Congress. Part 2: Estimates of homelessness in the United States. Washington, DC: U.S. Department of Housing and Urban Development, Office of Community Planning and Development.
SRNT Subcommittee on Biochemical Verification. (2002). Biochemical verification of tobacco use and cessation. Nicotine & Tobacco Research, 4, 149-159. https://doi.org/10.1080/14622200210123581 
Substance Abuse and Mental Health Services Administration, Center for Mental Health Services. (1993, May 20). Final notice [Final definitions for: (1) Children with a serious emotional disturbance, and (2) adults with a serious mental illness]. Federal Register, 58(96), 29422-29425.
Tourangeau, R., & Smith, T. W. (1996). Asking sensitive questions: The impact of data collection mode, question format, and question context. Public Opinion Quarterly, 60, 275-304. https://doi.org/10.1086/297751 
Tourangeau, R., & Yan, T. (2007). Sensitive questions in surveys. Psychological Bulletin, 133, 859-883. https://doi.org/10.1037/0033-2909.133.5.859 
Turner, C. F., Lessler, J. T., & Gfroerer, J. C. (Eds.). (1992). Survey measurement of drug use: Methodological studies (HHS Publication No. ADM 92-1929). Rockville, MD: National Institute on Drug Abuse.
Ursano, R. J., Heeringa, S. G., Stein, M. B., Jain, S., Raman, R., Sun, X., Chiu, W. T., Colpe, L. J., Fullerton, C. S., Gilman, S. E., Hwang, I., Naifeh, J. A., Nock, M. K., Rosellini, A. J., Sampson, N. A., Schoenbaum, M., Zaslavsky, A. M., & Kessler, R. C. (2015). Prevalence and correlates of suicidal behavior among new soldiers in the U.S. Army: Results from the Army Study to Assess Risk and Resilience in Servicemembers (Army STARRS). Depression and Anxiety, 32(1), 3-12. https://doi.org/10.1002/da.22317 
U.S. Census Bureau. (2018, August 2). 2017 National Survey of Children's Health. Methodology report. Washington, DC: U.S. Department of Commerce, Economics and Statistics Administration, U.S. Census Bureau. Retrieved from https://census.gov/
U.S. Drug Enforcement Administration. (2014, August 22). Schedules of controlled substances: Rescheduling of hydrocodone combination products from Schedule III to Schedule II. 21 CFR Part 1308. Federal Register, 79(163), Rules and Regulations, 49661-49682. Retrieved from https://www.gpo.gov/fdsys/pkg/FR-2014-08-22/pdf/2014-19922.pdf
U.S. Drug Enforcement Administration. (2019). Controlled substances. Alphabetical order. Retrieved from https://www.deadiversion.usdoj.gov/
U.S. Food and Drug Administration. (2017, May 16). Drug Safety and Risk Management Advisory Committee (DSaRM). Washington, DC: Author. Retrieved from https://www.fda.gov/AdvisoryCommittees/CommitteesMeetingMaterials/Drugs/DrugSafetyandRiskManagementAdvisoryCommittee/default.htm
U.S. Food and Drug Administration. (2018, February 5). Understanding unapproved use of approved drugs "off label." Washington, DC: Author. Retrieved from https://www.fda.gov/ForPatients/Other/OffLabel/default.htm
Warner, M., Trinidad, J. P., Bastian, B. A., Miniño, A. M., & Hedegaard,. H. (2016, December 20). Drugs most frequently involved in drug overdose deaths: United States, 2010-2014 (National Vital Statistics Reports, Vol. 65, No. 9). Retrieved from https://www.cdc.gov/nchs/data/nvsr/nvsr65/nvsr65_10.pdf
Zacny, J. P., & Lichtor, S. A. (2008). Nonmedical use of prescription opioids: Motive and ubiquity issues. Journal of Pain, 9, 473-486. https://doi.org/10.1016/j.jpain.2007.12.008 
This glossary is a resource to provide definitions for many of the commonly used measures and terms in tables and reports from the 2018 National Survey on Drug Use and Health (NSDUH). Where relevant, cross-references to details in the 2018 NSDUH methodological summary and definitions report also are provided.
For some key terms, specific question wording is provided for clarity. In some situations, information also is included about specific gate questions. In many instances, a gate question is the first question in a series of related questions. How a respondent answers the gate question affects whether the respondent is asked additional questions in that section of the interview or is routed to the next section of the interview. In some sections of the interview, respondents may be asked more than one gate question to determine whether they are asked additional questions in that section or are routed to the next section.1
Because of changes to the 2015 questionnaire, estimates for several measures in 2015 onward are not comparable with those from 2014 or prior years, even if the basic definitions may be the same or similar to those from prior years. Definitions corresponding to measures affected by questionnaire changes due to the partial questionnaire redesign in 2015 or other questionnaire changes since 2015 are starred with an asterisk (*). Definitions completely new since 2015 because of the questionnaire changes are indicated by a dagger symbol (†). See Section C in the methodological summary and definitions report for the 2015 NSDUH for details about the questionnaire changes in 2015 and their effects on comparability of estimates between 2015 and prior years.2
This National Survey on Drug Use and Health (NSDUH) report was prepared by the Center for Behavioral Health Statistics and Quality (CBHSQ), Substance Abuse and Mental Health Services Administration (SAMHSA), U.S. Department of Health and Human Services (HHS), and by RTI International (a registered trademark and a trade name of Research Triangle Institute), Research Triangle Park, North Carolina. Work by RTI was performed under Contract No. HHSS283201700002C.
This report was drafted by RTI and reviewed at SAMHSA. Production of the report at SAMHSA was managed by Rebecca D. Ahrnsbrak. Additional SAMHSA reviewers, listed alphabetically, include Rachel N. Lipari and Eunice Park-Lee. Peter Tice was the SAMHSA Project Officer.
Contributors and reviewers at RTI, listed alphabetically, include W. Jeremy Aldworth, Katherine J. Asman, Stephanie N. Barnett, Kathryn R. Batts, Kristen Gulledge Brown, Glynis E. Burner, Patrick (Pinliang) Chen, Chuchun Chien, Teresa R. Davis, Emily M. Geisen, Rebecca K. Granger, Rachel M. Harter, Erica L. Hirsch, David Hunter (Project Director), Ilona S. Johnson, Larry A. Kroutil, Jeffrey S. Laufenberg, Dan Liao, Allison C. McKamey, Dexter McNutt, Katherine B. Morton, Lisa E. Packer, Jeremy D. Porter, Jessica L. Roycroft, Ana R. Saravia, Kathryn E. Spagnola, and Lauren Klein Warren.
Also at RTI, report and web production staff, listed alphabetically, include Teresa F. Bass, Debbie F. Bond, Judith B. Cannada, Kimberly H. Cone, Valerie L. Garner, August J. Gering, Farrah Bullock Mann, Brenda K. Porter, Richard S. Straw, and Pamela G. Tuck.
1 RTI International is a registered trademark and a trade name of Research Triangle Institute.
2 Variables for 2018 that were affected by questionnaire changes for the 2015 NSDUH but have remained comparable between 2015 through 2018 retained the same names as in other years since 2015 but were renamed relative to corresponding variables prior to 2015. Variables in 2015 through 2018 that remained comparable with corresponding variables from prior years retained the same variable names on the NSDUH data files as they had in 2014.
3 Prior to 2002, the survey was known as the National Household Survey on Drug Abuse (NHSDA).
4 In the 1999 to 2013 design, the eight largest states each had a target sample size of 3,600. The remaining states and the District of Columbia each had a sample size of 900. In 2014, the sample design was modified so that the sample size per state was relatively more proportional to the state population. For a full list of target sample size per state in 2013 and from 2014 to 2022, see Table 2.1 at the end of this chapter.
5 SAE is a hierarchical Bayes modeling technique used to make state-level estimates for 30 measures related to substance use and mental health. For more details, see "2016-2017 National Survey on Drug Use and Health: Guide to State Tables and Summary of Small Area Estimation Methodology" at https://www.samhsa.gov/data/.
6 Sampling areas were defined using 2010 census geography. Counts of DUs and population totals were obtained from the 2010 decennial census data supplemented with revised population projections from Claritas.
7 Census tracts are relatively permanent statistical subdivisions of counties and parishes and provide a stable set of geographic units across decennial census periods.
8 Some census tracts had to be aggregated in order to meet the minimum DU requirement. In California, Florida, Georgia, Illinois, Michigan, New Jersey, New York, North Carolina, Ohio, Pennsylvania, Texas, and Virginia, this minimum size requirement was 250 DUs in urban areas and 200 DUs in rural areas. In the remaining states and the District of Columbia, the minimum requirement was 150 DUs in urban areas and 100 DUs in rural areas.
9 The composite measure of size is a weighted population size where the weights are the sampling rates defined for specified age groups.
10 The minimum DU size requirements for census tracts also were applied to census block groups. The purpose of the minimum DU size is to ensure that each sampled area has a sufficient number of DUs to field two NSDUH samples and one field test.
11 Eight segments per SSR per year were needed to field the 2014 through 2017 NSDUHs (8 segments × 4 years = 32 segments per SSR). For the 2015 through 2017 NSDUHs, half of the segments were carried over from the prior year (4 segments × 3 years = 12 segments per SSR). Thus, 20 unique segments per SSR were needed to field the 4-year sample (32 − 12 = 20).
12 For brevity, the word "section" is used in the remainder of this report to refer to interview sections in the NSDUH questionnaire.
13 Past year or lifetime use of prescription drugs since 2015 refers to use for any reason (i.e., use of prescribed medication as directed or misuse of prescription drugs).
14 In this text, "prescription drugs" refers to any prescription drug in a given category (e.g., any prescription pain reliever).
15 Missing data were not imputed in 2018 for SUDs involving alcohol, marijuana, cocaine in any form (including crack cocaine), and heroin to preserve comparability of estimates in 2018 with those in 2002 to 2017 for measurement of trends.
16 In stochastic imputation, random numbers on the interval (0,1) are independently selected for each nonrespondent. Imputation values are then assigned based on the size of the random variable in respect to the respondent's predicted mean. For instance, for a dichotomous variable, if the selected random number is less than the respondent's predicted mean, a value of 1 is imputed. CSI reduces the probability of unusual results by spreading the random numbers evenly between 0 and 1. That is, the elements needing an imputed value are randomly sorted (with the order
); a random number,
, is independently chosen from the uniform distribution on the interval (0,1); and an imputed value of 1 is assigned for the element to be imputed with sorted index, k, if and only if the predicted mean is greater than
.
17 Prior to 2015, NSDUH referred to "nonmedical" use of prescription drugs. See Chapter 4 of this report for further discussion about the change in terminology from nonmedical use to misuse of prescription drugs in 2015.
18 In some years, not all of the race domains in Table 3.1 are forced to fully match the U.S. Census Bureau population estimates due to some models not converging. When race domains do not fully match the U.S. Census Bureau population estimates, the sampling variation in
for these domains is considered negligible. Therefore, the race domains are considered fixed for every year.
19 The degrees of freedom for most statistical tests are calculated as the number of primary sampling units (variance replicates) minus the number of strata. Because there are two replicates per stratum, 750 degrees of freedom equal the number of strata in the national sample for 2018. However, the degrees of freedom are smaller for some statistical comparisons; specifically, the degrees of freedom are reduced for estimates on the average number of days that individuals used substances.
20 Other statistical methods have been used for comparisons of pairwise differences across three or more levels of a categorical variable once an overall test (such as Shah's F) suggests there are differences. Although a Bonferroni adjustment can be applied to every pairwise difference (i.e., and not just to the pairwise difference with the lowest p value, which is sometimes recommended instead of Shah's F as an alternative overall test), this is an overly conservative procedure. For example, if a p value of .05 is set as the criterion for statistical significance and there are three pairwise comparisons, then the Bonferroni-adjusted p value for statistical significance becomes .017 (i.e., .05 divided by 3 equals .017).
21 A successfully screened household is one in which all screening questionnaire items were answered by an adult resident of the household and either zero, one, or two household members were selected for the NSDUH interview.
22 Prior to 2002, NSDUH was known as the NHSDA.
23 Percentages of adult or adolescent respondents with missing data for lifetime symptoms of depression do not include weight gain because of pregnancy, which is asked only of females.
24 Adults were asked to report the age when they first had a period of 2 weeks or longer when they were sad or discouraged or lost interest in most things for most of the day nearly every day and also reported that they had some symptoms of depression. Adolescents were asked to report the age when they first had a period of 2 weeks or longer when they were sad, discouraged, or really bored and also reported that they had some symptoms of depression.
25 In NSDUHs prior to 2008, a score of 13 or higher on the K6 scale was used to define a measure of serious psychological distress (SPD) among adults.
26 Exceptions are for the pain relievers OxyContin® (an extended-release formulation of oxycodone) and Zohydro® ER (an extended-release formulation of hydrocodone) because generic equivalents for these drugs were not available by prescription in the United States in 2018.
27 CBHSQ requires compelling reasons for making changes to the NSDUH questionnaire that would warrant the start of a new baseline for trends, as occurred with the 2015 NSDUH.
28 As part of the editing procedures (Section 2.3.2), respondents who specified that OTC drugs were the only other prescription drugs they misused in the past 12 months were logically inferred not to have misused other prescription drugs in that category (e.g., pain relievers) in the past year.
29 Since 2015, respondents have been asked about any use of prescription psychotherapeutic drugs. Any use includes use of medication as directed with a prescription of the individual's own or misuse of prescription psychotherapeutics. Initiation for psychotherapeutics in NSDUH refers to the first time that individuals misused these medications rather than the first time that individuals used these medications for any reason.
30 For brevity, "misuse" is not repeated in every instance that text refers to first use. Readers are advised that terms such as "past year use" and "first use" that are used in the remainder of this chapter for substance use in general refer to misuse for prescription psychotherapeutic drugs.
31 Beginning with the 2018 NSDUH, estimates for mean ages at first use are no longer presented in the detailed tables.
32 Respondents also were asked the follow-up question if the sum of the reports of past year initiation plus missing data for initiation equaled the number of specific drugs that they misused in the past year (and there were no reports of initiation of misuse more than 12 months prior to the interview date).
33 The questionnaire included items for the age, year, and month of first misuse for each individual psychotherapeutic drug that respondents misused in the past year. A day of first misuse was imputed for past year initiates.
34 CBHSQ considers estimates in 2018 to be comparable with those in 2002 to 2017 for cigarettes, cigars, alcohol (any use), marijuana, cocaine, crack cocaine, and heroin.
35 As noted previously, estimates for mean ages at first use were not presented in the 2018 detailed tables, but these means can be calculated from NSDUH data.
36 For more details on nicotine dependence, see Section B.4.2 in Appendix B of the Results from the 2009 National Survey on Drug Use and Health: Volumes I and II. Summary of national findings and technical appendices and selected prevalence tables (CBHSQ, 2010b).
37 This number does not include respondents whose status as past year alcohol users was unknown based on their questionnaire responses but who were statistically imputed to be past year alcohol users.
38 The workgroup was chaired by Terry Zobeck of ONDCP. Agencies participating included ONDCP, SAMHSA, NIDA, the National Institute on Alcohol Abuse and Alcoholism (NIAAA), the National Institute of Justice, and the Bureau of Justice Statistics.
39 Respondents who were lifetime but not past year users of alcohol or illicit drugs could nevertheless report the receipt of assistance in the past year, such as attending self-help groups to maintain recovery from problems related to their prior substance use.
40 Also known as the Beale Codes.
41 These codes were first developed in 1974 and have been updated approximately every 10 years since then. They are available at https://www.ers.usda.gov/data-products/rural-urban-continuum-codes.aspx by clicking on that page's link to the "Rural-Urban Continuum Codes."
42 The errors that were discussed in Section 3.3.5 were identified for 2007 and 2008 after the effects of changes to the questionnaire for 2008 had been investigated. As noted in Section 3.3.5, however, these errors had minimal impact on the national estimates. Therefore, the data errors that affected the data for 2007 and 2008 were unlikely to change the overall conclusions that were reached about the effects of these questionnaire changes on estimates for 2008. Nevertheless, because of the data errors that were identified, actual estimates for 2007 and 2008 are not presented in this report.
43 The Structured Clinical Interview for the DSM-IV-TR Axis I Disorders, Research Version, Non-patient Edition (SCID-I/NP) (First, Spitzer, Gibbon, & Williams, 2002).
44 MDE also was included in the 2012 model and is discussed in more detail in Section 3.4.8.
45 The number of final adult respondents differs from the number of interviews for adults presented in Tables 3.4 and 3.5 because the data in these tables are based on initial demographic information obtained from screener data.
46 Missing values in individual K6 items were assigned a value of zero for computing the imputation-revised K6 item scores.
47 In the question about serious thoughts of suicide (SUI01), [DATEFILL] refers to the date at the start of a respondent's 12-month reference period. The interview program sets the start of the 12-month reference period as the same month and day as the interview date but in the previous calendar year.
48 Treating missing data for serious thoughts of suicide and past year MDE as being equivalent to negative responses applied only to the 2012 model. For published estimates for serious thoughts of suicide and past year MDE, respondents with missing data were excluded from the analyses.
49 Both the lifetime and past year measures of MDE in adults (see Section 3.4.8) were used in poststratification.
50 Past year MDE was estimated based on responses to the SCID from the MHSS respondents and on responses from all adults to the main survey (see Section 3.4.8). These two measures were created independently. The reference here is to the SCID measure from the MHSS.
51 In this situation, the past year MDE measure is from the main NSDUH interview (i.e., not from the SCID).
52 This was computed like SMI and AMI using the cut point probability 0.077686285365.
53 For details, see the following webpage: https://www.hcp.med.harvard.edu/ncs/
.
54 "An MDE" refers to the occurrence of at least one MDE, rather than only one MDE. Similarly, reference to "the MDE" in a given period (e.g., the past 12 months) does not mean that an individual had only one MDE in that period.
55 Chapter 4's figures and tables are presented together at the end of the chapter's text discussion.
56 Product label information for Flexeril® is available on the FDA's Center for Drug Evaluation and Research website at https://www.fda.gov/Drugs/. The product label for generic cyclobenzaprine is not available on the FDA website.
57 For example, the product label for Xanax®, which is prescribed as a tranquilizer, indicates the drug has an average half-life of 11.2 hours (i.e., the length of time for half of the dosage of the drug to be metabolized), with a range of 6.3 to 26.9 hours in healthy adults. In comparison, the product label for Halcion®, which is a benzodiazepine prescribed as a sedative, has a short half-life in the range of 1.5 to 5.5 hours. Product label information for these drugs is available on the FDA's Center for Drug Evaluation and Research website at https://www.fda.gov/Drugs/.
58 When a drug is metabolized, it is converted into metabolites, which are the substances that remain after the drug is broken down by the body. For more information, see the definition for "metabolite" by typing this word as a search term on the MedlinePlus web page at https://www.nlm.nih.gov/medlineplus/.
59 Because of the general principle of not using data from one section of the interview to edit variables in another section (see Section 2.3.2.1), reports of Desoxyn® outside of the stimulants section were not used to infer the use and misuse of amphetamines.
60 The estimated total will be lower than the true population total if the negative bias from excluding respondents with missing data outweighed other potential sources of random error (e.g., sampling error resulting from the selection of a sample) or nonrandom error (e.g., overreporting of the characteristic) that affected estimated totals in a positive direction.
61 An exception to this general principle applied to respondents who specified they misused one or more prescription drugs for a given subtype as some "other" prescription drug they misused in the past year. For example, suppose a respondent answered "don't know" when presented with the list of hydrocodone products for any use in the past year. If this respondent reported the misuse of "other" pain relievers in the past year and then specified a hydrocodone product (e.g., Vicodin®) was one of the other prescription pain relievers he or she misused in the past year, then this respondent logically misused hydrocodone products in the past year. This respondent also logically used hydrocodone products in the past year for any reason.
62 "Off label" prescribing refers to the prescribing of a drug that has been approved for use in the United States, but the drug is being prescribed for a condition the drug is not approved to treat (FDA, 2018).
63 Nonopioid drugs included prescription pain relievers that are not opioids, prescription drugs other than pain relievers, illicit drugs other than heroin or other opioids, and OTC drugs. Specified responses for other pain relievers that were given a nonspecific code (i.e., "analgesic, not specified," "don't know," or "refused") were treated as potential indications of opioid misuse for this analysis.
64 For simplicity, respondents who were statistically imputed to have misused prescription pain relievers in the past year without providing information about specific pain relievers they misused also were assumed to have misused prescription opioids.
65 Although prescription opioids also cause drowsiness, they do not act on the brain in the same way as tranquilizers or sedatives (NIDA, 2018c).
66 Although measures of the use of tranquilizers or sedatives in the past 12 months for any reason (i.e., use of prescriptions of one's own as directed by a doctor or misuse of these medications) can be created from the NSDUH data since 2015, these measures were not created for the 2018 NSDUH reports and tables.
67 See the 2018 questionnaire specifications available at https://www.samhsa.gov/data/.
68 The BRFSS website may not count states as administering the mental illness and stigma module if they administered the module to less than the full sample of respondents in that state.
69 The BRFSS Web Enabled Analysis Tool (WEAT) is available by clicking on the "Prevalence Data & Data Analysis Tools" link at https://www.cdc.gov/brfss/.
70 Prior to 2002, respondents were surveyed every other year until the age of 31 or 32 (i.e., up to seven times after graduation). In 2002, the seventh biennial follow-up was discontinued, with respondents being surveyed every other year until they reach the age of 29 or 30. Additional follow-ups then occur at 5-year intervals at ages 35, 40, 45, 50, 55, and 60; follow-up of 60 year olds began in 2018.
71 Testing for statistically significant differences between NSDUH and MTF estimates for adolescents was not conducted for this report because the NSDUH estimates are weighted estimates for adolescents aged 12 to 17, whereas MTF estimates are simple averages for 8th and 10th graders. However, in a report where formal statistical testing was done for substance use estimates among adolescents in NSDUH and MTF, the NSDUH estimates for the use of illicit drugs generally were lower than the MTF estimates (CBHSQ, 2012b).
72 These data were taken from the U.S. Census Bureau's Current Population Survey (CPS) and were available (at the time of publication) at https://www.census.gov/ by choosing the "Browse by Topic" menu, then choosing the "Education" link. Data on school enrollment can be accessed from the "School Enrollment" link on the Education page. Finally, the detailed tables for "School Enrollment in the United States: October 2017 (December 11, 2018)" are accessible from the School Enrollment page. Percentages cited in this chapter are from the Census Bureau's Table 1 in the "CPS October 2017 Tables," which is titled "Enrollment Status of the Population 3 Years Old and Over, by Sex, Age, Race, Hispanic Origin, Foreign Born, and Foreign-Born Parentage: October 2017." As shown in the CPS questionnaire that also is available at https://www.census.gov/, high school graduates received a high school diploma or the equivalent.
73 See the "Mental Illness" glossary entry in Appendix A of this report for definitions of AMI and serious mental illness (SMI), including the specific disorders that were assessed in clinical interviews that were conducted for the NSDUH Mental Health Surveillance Study (MHSS). See Section 3.4.7 in this report for information on the procedures in NSDUH for estimating AMI and SMI among adults.
74 The prediction model was developed using NSDUH clinical and main interview data from a subsample of respondents who were interviewed in 2008 to 2012 and was applied to the NSDUH main interview data in 2018 on age, psychological distress, functional impairment, suicidal thoughts, and depression to predict mental illness. For more information on the prediction model, see Section 3.4.7 in this report.
75 The three screening questions for MDE asked if the respondent ever had a period lasting several days in which the respondent (a) felt sad, empty, or depressed; (b) felt discouraged about how things were going; or (c) lost interest in most things that the respondent usually enjoyed.
76 The school sample frame for the NCS-A was used to identify students for sample selection. As with the adolescents from households that participated in the NCS-R, adolescents selected from the school sample were interviewed in their homes.
77 The DSM-IV (APA, 1994) defines dysthymic disorder in children as a chronically depressed or irritable mood that causes clinically significant functional impairment and occurs most of the day for more days than not for at least 1 year. At least two of the following symptoms must accompany the depressed or irritable mood: (1) poor appetite or overeating, (2) insomnia or hypersomnia, (3) low energy or fatigue, (4) low self-esteem, (5) poor concentration and/or difficulty making decisions, and (6) feelings of hopelessness. There cannot be more than a 2-month period of time when the dysthymia symptoms were in remission. In addition, the diagnosis of dysthymic disorder in children can be made only if the initial 1-year period of symptoms does not include an MDE.
78 V codes denote conditions that are a focus of clinical attention or treatment but are not attributable to a mental disorder (e.g., marital problems).
79 For example, questionnaire data on the use of prescription medications in the past 30 days became available on the 2015-2016 NHANES public use data in January 2019.
80 An eligible respondent for the family questionnaire is a family member (i.e., household member related by blood, marriage, or adoption to the head of the family) who is at least 18 years old. In families where there is no one aged 18 or older, interviewers are instructed to choose the head of the family or any person in the family who has ever been married as the respondent for the family questionnaire.
81 Asian translations for the introduction to the ACASI component appear in the Asian Interpreter notebook; the interpreter uses a hard-copy form to read the appropriate text to the respondent. On-screen translations are available in these Asian languages for the ACASI drug use section.
82 As noted previously, a proxy respondent provided information for NHANES respondents aged 12 to 15 or for those aged 16 or older who could not answer for themselves. For brevity, this discussion assumes that the questions apply to an NHANES respondent's own prescription drug use.
83 Respondents are asked to show the NHANES interviewer all of the containers for the prescription medications that they took, and interviewers enter the names of the medications from the labels into the computer. If no container is available, the respondent reports the name of the drug to the interviewer.
84 The number of respondents aged 12 or older with prescription drug information in the 2013 and 2014 NHANES is lower than the number of respondents who completed the household interview because data on prescription drug use are collected for sample members younger than the age of 12.
85 In most states, the age of legal majority is 18, but in Alabama, Mississippi, and Nebraska, this age is older. However, all household members aged 18 or older who are at home at the time of the interview may respond for themselves for the NHIS Family Core component.
86 The Medicine Use section of the NESARC-III questionnaire asks about the use of medicines, including prescription drugs, without a prescription, in greater amounts, more often, or longer than prescribed, or for a reason other than a doctor said that respondents should use them. The NSDUH definition of misuse of psychotherapeutics beginning in 2015 refers to use "in any way a doctor did not direct you to use it/them" and includes the following examples: (a) use without a prescription of the respondent's own; (b) use in greater amounts, more often, or longer than told to take a drug; or (c) use in any other way a doctor did not tell respondents to take a drug. For more details on the NSDUH definition, see Appendix A in this report.
87 In the second stratum, the delineating threshold between the two substrata was that no more than 5 percent of households with children in any state would be represented in the low probability substratum.
88 NSCH data can be analyzed online at https://www.childhealthdata.org/
by selecting "Interactive Data Query," "Browse by Survey & Topic," and the relevant survey (e.g., National Survey of Children's Health) and survey year. Data on current depression for a given year of the NSCH are available by selecting "Physical, Oral Health and Functional Status" from "Child and Family Health Measures," then selecting "Prevalence of current depression, age 3-17 years" from the list of topics for "Prevalence of current health conditions." The online analysis tool allows estimates to be shown by age group.
89 NSDUH's measurements include specific symptoms of depression, frequency of symptoms, and interference of depression with adolescents' life activities (see Section 3.4.8 in this report). The NSCH measured whether the parent was told that the child had depression and the parent's self-assessment of the severity of current depression.
90 Nontreatment halfway houses, solo practices not approved by the state agency for inclusion, and facilities that treated only incarcerated clients were excluded from the 2017 report.
91 Counts of the number of people in treatment on a single day in N-SSATS were based on reports of the number of people in treatment on the last working day of March. Corresponding NSDUH estimates were based on data from respondents from the 2008 to 2010 NSDUHs who reported that they were enrolled in a specialty substance use treatment program on October 1 of the year prior to the interview or those from the 2007 to 2009 NSDUHs who were in specialty substance use treatment at the time of the interview (Batts et al., 2014).
92 The numbers of people in TEDS who received treatment were derived from linked admissions and discharge data or from adjusted admissions data for states that did not submit discharge data. Multiple admissions that were linked by a single unique identifier represented one individual. Three states (Alabama, Alaska, and Georgia) and the District of Columbia were not included in the TEDS data because they did not report TEDS data or reported incomplete data. For comparison purposes, data from these states were excluded from NSDUH data on average numbers who received treatment in the past year. However, single-day counts for people in treatment from N-SSATS and NSDUH included data from these states (Batts et al., 2014).
93 NCS-R respondents also were excluded from the analysis if they self-reported being ineligible for Army service because of histories of criminal behaviors, severe physical disorders or handicaps, or severe mental illness.
94 The total sample size of 201,990 consisted of a primary sample (118,656) and a secondary sample (83,334). Of these sample members, 195,220 service members were ultimately contactable. The overall response rate of 8.6 percent was calculated as the ratio of the number of final usable questionnaires (16,699) to the number of contactable service members (195,220).
95 The term "occasion" was not defined in the 2015 HRBS questionnaire.
96 In the 2015 HRBS, response choices for the number of days that respondents binge drank in the past 30 days were (1) about every day, (2) 5 to 6 days a week, (3), 3 to 4 days a week, (4) 1 to 2 days a week, (5) 2 to 3 days in the past 30 days, (6) 1 day in the past 30 days, and (7) not at all in the past 30 days.
97 Respondents in the 2015 HRBS were asked about their use of "Prescription pain relievers (Oxcycontin[sic]/Oxycodone, Percocet, cough syrups with codeine, Methadone, hydrocodone, Vicodin, etc.)."
98 As noted in Section 4.2 in this report, examples in NSDUH of the misuse of prescription drugs (including pain relievers) in any way not directed by a doctor include (a) using prescription drugs without a prescription of one's own; (b) using them in greater amounts, more often, or longer than people were told to take them; and (c) using them in any other way not directed by a doctor.
99 This selection was based on adult confinement facilities identified in the 2005 Census of State and Federal Adult Correctional Facilities, supplemented with updated information from websites maintained by each state's department of corrections.
1 The 2018 NSDUH questionnaire is available at https://www.samhsa.gov/data/.
2 See the following reference: Center for Behavioral Health Statistics and Quality. (2016). 2015 National Survey on Drug Use and Health: Methodological summary and definitions. Retrieved from https://www.samhsa.gov/data/
3 See the following reference: American Psychiatric Association. (1994). Diagnostic and statistical manual of mental disorders (DSM-IV) (4th ed.). Washington, DC: Author.
4 See footnote 1.
5 See the reference in footnote 3.
6 See the following reference: Office of Management and Budget. (1997). Revisions to the standards for the classification of federal data on race and ethnicity. Federal Register, 62(210), 58781-58790.
7 See footnote 1.
8 See the reference in footnote 3.
9 See the reference in footnote 3.
10 See the reference in footnote 2.
11 See the reference in footnote 3.
12 See the reference in footnote 2.
13 See the reference in footnote 3.
14 These codes are updated approximately every 10 years and are available at https://www.ers.usda.gov/topics/rural-economy-population/rural-classifications.aspx by clicking on that page's link to the "Rural/Urban Continuum Codes."
15 Definitions of MSAs and micropolitan statistical areas as defined by the OMB are available by conducting a search at the following webpage: https://www.census.gov/.
16 See the reference in footnote 3.
17 Respondents in 2002 to 2015 were asked specifically about driving under the influence of "illegal" drugs. However, respondents' perceptions of what constitutes an "illegal" drug may differ depending on the marijuana laws in the states where respondents are living. Therefore, these questions were revised starting with the 2016 NSDUH as indicated in the definition above.
18 See the following reference: Endicott, J., Spitzer, R. L., Fleiss, J. L., & Cohen, J. (1976). The Global Assessment Scale: A procedure for measuring overall severity of psychiatric disturbance. Archives of General Psychiatry, 33, 766-771. https://doi.org/10.1001/archpsyc.1976.01770060086012 
19 For more information, see the following webpage: https://www.census.gov/.
20 See the reference in footnote 3.
21 See the reference in footnote 3.
22 See the reference in footnote 3.
23 See the reference in footnote 6.
24 See the reference in footnote 3.
25 See the reference in footnote 3.
26 Starting in 2015, respondents were asked about any use of prescription drugs in the past 12 months or in their lifetime (i.e., not necessarily misuse). However, respondents who reported any use of prescription drugs were not asked when they first used these drugs.
27 See the following reference: Kessler, R. C., Barker, P. R., Colpe, L. J., Epstein, J. F., Gfroerer, J. C., Hiripi, E., Howes, M. J., Normand, S. L., Manderscheid, R. W., Walters, E. E., & Zaslavsky, A. M. (2003). Screening for serious mental illness in the general population. Archives of General Psychiatry, 60, 184-189. https://doi.org/10.1001/archpsyc.60.2.184 
28 See the following reference: Leon, A. C., Olfson, M., Portera, L., Farber, L., & Sheehan, D. V. (1997). Assessing psychiatric impairment in primary care with the Sheehan Disability Scale. International Journal of Psychiatry in Medicine, 27(2), 93-105. https://doi.org/10.2190/t8em-c8yh-373n-1uwd 
29 See the following reference: Novak, S. P., Colpe, L. J., Barker, P. R., & Gfroerer, J. C. (2010). Development of a brief mental health impairment scale using a nationally representative sample in the USA. International Journal of Methods in Psychiatric Research, 19(Suppl. 1), 49-60.
30 See the following reference: Rehm, J., Üstün, T. B., Saxena, S., Nelson, C. B., Chatterji, S., Ivis, F., & Adlaf, E. (1999). On the development and psychometric testing of the WHO screening instrument to assess disablement in the general population. International Journal of Methods in Psychiatric Research, 8, 110-123. https://doi.org/10.1002/mpr.61 
31 See the following reference: American Psychiatric Association. (2013). Diagnostic and statistical manual of mental disorders (DSM-5) (5th ed.). Arlington, VA: Author.
32 See the following reference: Center for Behavioral Health Statistics and Quality. (2012). Results from the 2011 National Survey on Drug Use and Health: Summary of national findings (HHS Publication No. SMA 12-4713, NSDUH Series H-44). Rockville, MD: Substance Abuse and Mental Health Services Administration.
33 See the following reference: Center for Behavioral Health Statistics and Quality. (2018). National Survey on Drug Use and Health: 2017 public use file and codebook. Retrieved from https://datafiles.samhsa.gov/
34 See the reference in footnote 3.
35 See the reference in footnote 3.
36 See the following reference: First, M. B., Spitzer, R. L., Gibbon, M., & Williams, J. B. W. (2002). Structured Clinical Interview for DSM-IV-TR Axis I Disorders, Research Version, Non-patient Edition (SCID-I/NP). New York, NY: New York State Psychiatric Institute, Biometrics Research.
37 See the following reference: Alcohol, Drug Abuse, and Mental Health Administration (ADAMHA) Reorganization Act, Pub. L. No. 102-321 (1992).
38 See the reference in footnote 3.
39 See the reference in footnote 3.
40 See the reference in footnote 6.
41 See the following reference: Shiffman, S., Hickcox, M., Gnys, M., Paty, J. A., & Kassel, J. D. (1995, March). The Nicotine Dependence Syndrome Scale: Development of a new measure. Poster presented at the annual meeting of the Society for Research on Nicotine and Tobacco, San Diego, CA.
42 See the following reference: Shiffman, S., Waters, A. J., & Hickcox, M. (2004). The Nicotine Dependence Syndrome Scale: A multidimensional measure of nicotine dependence. Nicotine & Tobacco Research, 6, 327-348. https://doi.org/10.1080/1462220042000202481 
43 See the following reference: Fagerstrom, K.-O. (1978). Measuring degree of physical dependence to tobacco smoking with reference to individualization of treatment. Addictive Behaviors, 3-4, 235-241. https://doi.org/10.1016/0306-4603(78)90024-2 
44 See the following reference: Heatherton, T. F., Kozlowski, L. T., Frecker, R. C., & Fagerstrom, K.-O. (1991). The Fagerstrom Test for Nicotine Dependence: A revision of the Fagerstrom Tolerance Questionnaire. British Journal of Addiction, 86, 1119-1127. https://doi.org/10.1111/j.1360-0443.1991.tb01879.x 
45 See the reference in footnote 3.
46 See the reference in footnote 3.
47 See the reference in footnote 2.
48 See the reference in footnote 2.
49 See the reference in footnote 2.
50 See the reference in footnote 2.
51 See the reference in footnote 3.
52 See the reference in footnote 6.
53 Respondents were not asked about treatment for prescription pain relievers, prescription tranquilizers, prescription stimulants, or prescription sedatives if they had not misused these substances in their lifetime.
54 See the reference in footnote 3.
55 See the reference in footnote 2.
56 For a description and properties of the K6 scale, see the reference in footnote 27.
57 More information about the creation of the statistically adjusted SPD variables can be found in the following two references:
Center for Behavioral Health Statistics and Quality. (2012). 2010 National Survey on Drug Use and Health: Methodological resource book (Section 16b, Analysis of effects of 2008 NSDUH questionnaire changes: Methods to adjust adult MDE and SPD estimates and to estimate SMI in the 2005-2009 surveys). Rockville, MD: Substance Abuse and Mental Health Services Administration.
Office of Applied Studies. (2009). Results from the 2008 National Survey on Drug Use and Health: National findings (HHS Publication No. SMA 09-4434, NSDUH Series H-36). Rockville, MD: Substance Abuse and Mental Health Services Administration.
58 See the reference in footnote 33.
59 See the first reference in footnote 57.
60 See the reference in footnote 28.
61 See the reference in footnote 2.
62 See the reference in footnote 3.
63 See the reference in footnote 3.
64 See the reference in footnote 2.
65 See the reference in footnote 3.
66 See the reference in footnote 3.
67 Respondents were asked about treatment for depression regardless of whether they were classified as having a major depressive episode (MDE). To produce estimates of treatment for depression among people with MDE, the analysis needs to be restricted to respondents who had a lifetime or past year MDE.
68 See the references in footnotes 29 and 30.
Long description, Chapter 2, Equation 1: The adjustment factor a sub k as a function of lambda is defined as the ratio of two quantities. The quantity in the numerator is defined as the sum of two terms. The first term is calculated as the product of l sub k and the difference between u sub k and c sub k. The second term is calculated as the product of u sub k, the difference between c sub k and l sub k, and the value of the exponential function evaluated as the following product: capital A sub k multiplied by the transpose of the vector x sub k, multiplied by lambda. The quantity in the denominator is defined as the sum of two terms. The first term is the difference between u sub k and c sub k. The second term is calculated as the product of the difference between c sub k and l sub k and the value of the exponential function evaluated as the following product: capital A sub k multiplied by the transpose of the vector x sub k, multiplied by lambda.
Long description end. Return to Equation 2.1.
Long description, Chapter 2, Equation 2: The quantity of the summation over s of the product of (x sub k, d sub k, and a sub k as a function of lambda), minus the quantity capital T tilde sub x is equal to zero.
Long description end. Return to Equation 2.2.
Long description, Chapter 2, Equation 3: Delta of the parameters w and d equals the summation over all k in s of the ratio of d sub k to capital A sub k multiplied by the sum of the following two quantities. The first quantity is calculated as the product of the difference between a sub k and l sub k and the logarithm of the ratio of the difference between a sub k and l sub k to the difference between c sub k and l sub k. The second quantity is defined as the product of the difference between u sub k and a sub k and the logarithm of the ratio of the difference between u sub k and a sub k to the difference between u sub k and c sub k.
Long description end. Return to Equation 2.3.
Long description, Chapter 3, Equation 1: p hat sub d is equal to capital Y hat sub d divided by capital N hat sub d
Long description end. Return to Equation 3.1.
Long description, Chapter 2, Equation 2: The standard error of capital Y hat sub d is equal to capital N hat sub d times the standard error of p hat sub d.
Long description end. Return to Equation 3.2.
Long description, Chapter 3, Equation 3: the relative standard error of the negative of the natural logarithm of p hat was greater than .175 and p hat was less than or equal to .5
Long description end. Return to Equation 3.3.
Long description, Chapter 3, Equation 4: the relative standard error of the negative of the natural logarithm of the difference 1 minus p hat was greater than .175 and p hat was greater than .5.
Long description end. Return to Equation 3.4.
Long description, Chapter 3, Equation 5: Suppressions occurred when p hat was less than or equal to .5 and the following ratio was greater than .175: The numerator of the ratio is the standard error of p hat divided by p hat; the denominator is the negative of the natural logarithm of p hat.
Long description end. Return to Equation 3.5.
Long description, Chapter 3, Equation 6: Suppressions occurred when p hat was greater than .5 and the following ratio was greater than .175: The numerator is the standard error of p hat divided by the difference 1 minus p hat; the denominator is the negative of the natural logarithm of the difference 1 minus p hat.
Long description end. Return to Equation 3.6.
Long description, Chapter 3, Equation 7: t sub df is equal to the ratio of two quantities. The numerator is p hat sub 1 minus p hat sub 2. The denominator is the square root of the following quantity: the variance of p hat sub 1 plus the variance of p hat sub 2 minus twice the covariance of p hat sub 1 and p hat sub 2.
Long description end. Return to Equation 3.7.
Long description, Chapter 3, Equation 8: The weighted screening response rate (capital S R R) is equal to the ratio of two quantities. The numerator is the summation of the product of w sub h h and complete sub h h. The denominator is the summation of the product of w sub h h and eligible sub h h.
Long description end. Return to Equation 3.8.
Long description, Chapter 3, Equation 9: The response rate 2 (capital R R 2) is equal to the ratio of two quantities. The numerator is capital I plus capital P. The denominator is defined as the sum of three terms. The first term is capital I plus capital P. The second term is capital R plus capital N C plus capital O. The third term is capital U H plus capital U O.
Long description end. Return to Equation 3.9.
Long description, Chapter 3, Equation 10: The response rate (capital R R 2 sub capital S) is equal to the ratio of two quantities. The numerator is capital I. The denominator is defined as the sum of three terms. The first term is capital I. The second term is capital R plus capital N C plus capital O. The third term is capital U H plus capital U O.
Long description end. Return to Equation 3.10.
Long description, Chapter 3, Equation 11: The weighted interview response rate (capital I R R) is equal to the ratio of two quantities. The numerator is the summation of the product of w sub i and complete sub i. The denominator is the summation of the product of w sub i and selected sub i.
Long description end. Return to Equation 3.11.
Long description, Chapter 3, Equation 12: The response rate (capital R R 2 sub capital I) is equal to the ratio of two quantities. The numerator is capital I plus capital P. The denominator is defined as the sum of two terms. The first term is capital I plus capital P. The second term is capital R plus capital N C plus capital O.
Long description end. Return to Equation 3.12.
Long description, Chapter 3, Equation 13: The weighted overall response rate (capital O R R) is equal to the product of the weighted screening response rate (capital S R R) and the weighted interview response rate (capital I R R).
Long description end. Return to Equation 3.13.
Long description, Chapter 3, Equation 14: capital I, which stands for "past year initiate," defines a person as a past year initiate if the date of the interview minus the date of first substance use is less than or equal to 365
Long description end. Return to Equation 3.14.
Long description, Chapter 3, Equation 15: Estimated Past Year Initiates Aged 11 in 2017 times the Estimated Lifetime Users Aged 12 to 17 in 2018 divided by the Estimated Lifetime Users Aged 12 to 17 in 2017.
Long description end. Return to Equation 3.15.
Long description, Chapter 3, Equation 16: 52,597 times 6,551,230 divided by 6,765,320 is equal to 50,993.
Long description end. Return to Equation 3.16.
Long description, Chapter 3, Equation 17: Equation (1): The logit of pi hat is equivalent to the logarithm of pi hat divided by the quantity 1 minus pi hat, which is equal to the sum of the following six quantities: negative 5.972664, the product of 0.0873416 and capital X sub k, the product of 0.3385193 and capital X sub w, the product of 1.9552664 and capital X sub s, the product of 1.1267330 and capital X sub m, and the product of 0.1059137 and capital X sub a.
or
Pi hat is equal to the ratio of two quantities. The numerator is 1. The denominator is 1 plus e raised to the negative value of the sum of the following six quantities: negative 5.972664, the product of 0.0873416 and capital X sub k, the product of 0.3385193 and capital X sub w, the product of 1.9552664 and capital X sub s, the product of 1.1267330 and capital X sub m, and the product of 0.1059137 and capital X sub a.
Long description end. Return to Equation 3.17.
Long description, Chapter 3, Equation 18: Equation (2): The logit of pi hat is equivalent to the logarithm of pi hat divided by the quantity 1 minus pi hat, which is equal to the sum of the following five quantities: negative 5.7736246, the product of 0.1772067 and capital X sub k, the product of 1.8392433 and capital X sub s, the product of 1.6428623 and capital X sub m, and the product of 0.1231266 and capital X sub a.
or
Pi hat is equal to the ratio of two quantities. The numerator is 1. The denominator is 1 plus e raised to the negative value of the sum of the following five quantities: negative 5.7736246, the product of 0.1772067 and capital X sub k, the product of 1.8392433 and capital X sub s, the product of 1.6428623 and capital X sub m, and the product of 0.1231266 and capital X sub a.
Long description end. Return to Equation 3.18.
Long description, 0 to 10 Linear Scale Interference Diagram: A linear scale ranging from 0 to 10 is shown, with the integers 1 through 9 displayed in between the endpoints. A zero represents no interference; scores of 1, 2, and 3 represent mild interference; scores of 4, 5, and 6 represent moderate interference; and scores of 7, 8, and 9 represent severe interference. A score of 10 represents very severe interference.
Long description end. Return to 0 to 10 linear interference scale diagram.
Long description, 0 to 10 Linear Scale Problem Diagram: A linear scale ranging from 0 to 10 is shown, with the integers 1 through 9 displayed in between the endpoints. A zero represents no problems; scores of 1, 2, and 3 represent mild problems; scores of 4, 5, and 6 represent moderate problems; and scores of 7, 8, and 9 represent severe problems. A score of 10 represents very severe problems.
Long description end. Return to 0 to 10 linear problem scale diagram.
Long description, Figure 3.1: Figure 3.1 is titled "Required Effective Sample in the 2018 NSDUH as a Function of the Proportion Estimated." It is a graph of a function within a coordinate plane; the horizontal axis shows the estimated proportion (p hat), and the vertical axis shows the required effective sample size. A horizontal line through the graph indicates that an effective sample size of 68 is required for the current rule. There also is a dashed vertical line at the intersection of the estimated proportion of 0.05 and the effective sample size of 68. The graph decreases from an infinitely large required effective sample size when the estimated proportion is close to zero and approaches a local minimum of 50 when the estimated proportion is 0.2. There also is a dashed vertical line at the intersection of the estimated proportion of 0.2 and the local minimum of 50. The graph increases for estimated proportions greater than 0.2 until a required effective sample size of 68 is reached for an estimated proportion of 0.5. There also is a dashed vertical line at the intersection of the estimated proportion of 0.5 and the effective sample size of 68. The graph decreases for estimated proportions greater than 0.5 and approaches a local minimum of 50 for the required effective sample size when the estimated proportion is 0.8. The graph increases for estimated proportions greater than 0.8 and reaches an infinitely large required effective sample size when the estimated proportion is close to 1.0.
Long description end. Return to Figure 3.1.
Long description, Figure 4.1: Figure 4.1 is titled "Subtypes of Prescription Pain Relievers in the 2018 NSDUH Questionnaire." It is an organization-type chart that outlines the specific prescription pain relievers asked about in the NSDUH questionnaire and categorizes them into 12 subtypes. A red box in the top left corner says, "Prescription Pain Relievers," and has a blue line coming straight down from the box. Each of the 12 subtypes, shown in blue boxes, branches off to the right of the blue line. When applicable, the blue subtype box has a brown box branching off to the right listing the specific individually named prescription pain relievers that are included in the subtypes.
The 12 subtypes include 5 subtypes in the left-hand column: (1) Hydrocodone Products, (2) Oxycodone Products, (3) Tramadol Products, (4) Codeine Products, and (5) Morphine Products. To the right of these first five subtypes are the specific individually named prescription pain relievers that are included in these subtypes. The subtype for Hydrocodone Products includes the prescription pain relievers Vicodin®, Lortab®, Norco®, Zohydro® ER, and Hydrocodone. The subtype for Oxycodone Products includes the prescription pain relievers OxyContin®, Percocet®, Percodan®, Roxicodone®, and Oxycodone. The subtype for Tramadol Products includes the prescription pain relievers Ultram®, Ultram® ER, Ultracet®, Tramadol, and Extended-Release Tramadol. The subtype for Codeine Products includes the prescription pain relievers Tylenol® with Codeine 3 or 4 and Codeine Pills. The subtype for Morphine Products includes the prescription pain relievers Avinza®, Kadian®, MS Contin®, Morphine, and Extended-Release Morphine.
To the right of the individually named pain relievers for Hydrocodone Products, Oxycodone Products, Tramadol Products, Codeine Products, and Morphine Products are the 6th through 12th subtypes: (6) Fentanyl Products, (7) Buprenorphine Products, (8) Oxymorphone Products, (9) Demerol®, (10) Hydromorphone Products, (11) Methadone, and (12) Other Prescription Pain Relievers. To the right of these remaining subtypes are the specific individually named prescription pain relievers that are included in these subtypes. The subtype for Fentanyl Products includes the prescription pain relievers Duragesic®, Fentora®, and Fentanyl. The subtype for Buprenorphine Products includes the prescription pain relievers Suboxone®, Buprenorphine, and Buprenorphine plus Naloxone. The subtype for Oxymorphone Products includes the prescription pain relievers Opana®, Opana® ER, Oxymorphone, and Extended-Release Oxymorphone. The subtype for Hydromorphone Products includes two sets of prescription pain relievers: (1) Dilaudid® or Hydromorphone and (2) Exalgo® or Extended-Release Hydromorphone. The blue subtype boxes for Demerol®, Methadone, and Other Prescription Pain Relievers do not have further categorizations.
Long description end. Return to Figure 4.1.
Long description, Figure 4.2: Figure 4.2 is titled "Subtypes of Prescription Tranquilizers in the 2018 NSDUH Questionnaire." It is an organization-type chart that outlines the specific prescription tranquilizers asked about in the NSDUH questionnaire and categorizes them into three subtypes. A red box in the top left corner says, "Prescription Tranquilizers," and has a blue line coming straight down from the box. Each of the three subtypes, shown in blue boxes, branches off to the right of the blue line. When applicable, the blue subtype box has a gray box branching off to the right listing either further subcategories of the subtype or the individually named prescription tranquilizers. As applicable, the gray subtype box has a brown box branching off to the right listing the specific individually named tranquilizers that are included in the subtypes.
The three subtypes include (1) Benzodiazepine Tranquilizers, (2) Muscle Relaxants, (3) and Other Prescription Tranquilizers. The subtype for Benzodiazepine Tranquilizers is further subcategorized into four additional groups of benzodiazepine tranquilizers, including (1) Alprazolam Products, (2) Lorazepam Products, (3) Clonazepam Products, and (4) Diazepam Products. The subcategory for Alprazolam Products includes the benzodiazepine tranquilizers Xanax®, Xanax® XR, Alprazolam, and Extended-Release Alprazolam. The subcategory for Lorazepam Products includes the benzodiazepine tranquilizers Ativan® and Lorazepam. The subcategory for Clonazepam Products includes the benzodiazepine tranquilizers Klonopin® and Clonazepam. The subcategory for Diazepam Products includes the benzodiazepine tranquilizers Valium® and Diazepam. The subtype for Muscle Relaxants includes Cyclobenzaprine (also known as Flexeril®) and Soma®. The subtype for Other Prescription Tranquilizers does not have further categorizations.
Long description end. Return to Figure 4.2.
Long description, Figure 4.3: Figure 4.3 is titled "Subtypes of Prescription Stimulants in the 2018 NSDUH Questionnaire." It is an organization-type chart that outlines the specific prescription stimulants asked about in the NSDUH questionnaire and categorizes them into five subtypes. A red box in the top left corner says, "Prescription Stimulants," and has a blue line coming straight down from the box. Each of five subtypes, shown in blue boxes, branches off to the right of the blue line. When applicable, the blue subtype box has a brown box branching off to the right listing the specific individually named prescription stimulants that are included in the subtypes.
The five subtypes include two subtypes in the left-hand column: (1) Amphetamine Products and (2) Methylphenidate Products. To the right of these first two subtypes are the specific individually named prescription stimulants that are included in these subtypes. The subtype for Amphetamine Products includes the prescription stimulants Adderall®, Adderall® XR, Dexedrine®, Vyvanse®, Dextroamphetamine, Amphetamine-Dextroamphetamine Combinations, and Extended-Release Amphetamine-Dextroamphetamine Combinations. The subtype for Methylphenidate Products includes the prescription stimulants Ritalin®, Ritalin® LA, Concerta®, Daytrana®, Metadate® CD, Metadate® ER, Focalin®, Focalin® XR, Methylphenidate, Extended-Release Methylphenidate, Dexmethylphenidate, and Extended-Release Dexmethylphenidate. To the right of the individually named stimulants for Amphetamine Products and Methylphenidate Products are the third through fifth subtypes: (3) Anorectic (Weight Loss) Stimulants, (4) Provigil®, and (5) Other Prescription Stimulants. The subtype for Anorectic (Weight Loss) Stimulants includes the prescription stimulants Didrex®, Benzphetamine, Tenuate®, Diethylpropion, Phendimetrazine, and Phentermine. The blue subtype boxes for Provigil® and Other Prescription Stimulants do not have further categorizations.
Long description end. Return to Figure 4.3.
Long description, Figure 4.4:
Figure 4.4 is titled "Subtypes of Prescription Sedatives in the 2018 NSDUH Questionnaire." It is an organization-type chart that outlines the specific prescription sedatives asked about in the NSDUH questionnaire and categorizes them into six subtypes. A red box in the top left corner says, "Prescription Sedatives," and has a blue line coming straight down from the box. Each of the six subtypes, shown in blue boxes, branches off to the right of the blue line. When applicable, the blue subtype box has a gray box or a brown box branching off to the right that lists either further subcategories within the subtype or the individually named prescription sedatives. As applicable, the gray subtype box has a brown box branching off to the right listing the specific individually named sedatives that are included in the subtype.
The six subtypes include (1) Zolpidem Products, (2) Eszopiclone Products, (3) Zaleplon Products, (4) Benzodiazepine Sedatives, (5) Barbiturates, and (6) Other Prescription Sedatives. The subtype for Zolpidem Products includes the prescription sedatives Ambien®, Ambien® CR, Zolpidem, and Extended-Release Zolpidem. The subtype for Eszopiclone products includes the prescription sedatives Lunesta® or Eszopiclone. The subtype for Zaleplon Products includes the prescription sedatives Sonata® or Zaleplon. The subtype for Benzodiazepine Sedatives is further subcategorized into three additional groups of Benzodiazepine Sedatives: (1) Flurazepam (also known as Dalmane®), (2) Temazepam Products, and (3) Triazolam Products. The subcategory for Temazepam Products includes the benzodiazepine sedatives Restoril® and Temazepam. The subcategory for Triazolam Products includes the benzodiazepine sedatives Halcion® and Triazolam. The subtype for Barbiturates includes Butisol®, Seconal®, and Phenobarbital. The subtype for Other Prescription Sedatives does not have further categorizations.
Long description end. Return to Figure 4.4.
Long description, Figure 5.1: Figure 5.1 is titled "Past Month Alcohol Use among Youths in NSDUH and MTF: 2002 through 2018." It is a line graph, where the survey years are shown on the horizontal axis and the percentage using alcohol in the past month is shown on the vertical axis. One line represents NSDUH youths aged 12 to 17, and another line represents MTF 8th and 10th graders combined. Both of these lines show use over the years 2002 through 2018. Tests of statistical significance at the .05 level were performed between 2018 and each of the previous years listed; significant results are indicated where appropriate.
NSDUH data show that the percentage of 12 to 17 year olds using alcohol in the past month was 17.6 percent in 2002, 17.7 percent in 2003, 17.6 percent in 2004, 16.5 percent in 2005, 16.7 percent in 2006, 16.0 percent in 2007, 14.7 percent in 2008, 14.8 percent in 2009, 13.6 percent in 2010, 13.3 percent in 2011, 12.9 percent in 2012, 11.6 percent in 2013, 11.5 percent in 2014, 9.6 percent in 2015, 9.2 percent in 2016, 9.9 percent in 2017, and 9.0 percent in 2018. The differences between the 2018 estimate and the 2002 through 2014 estimates and the 2017 estimate were statistically significant.
MTF data show that the percentage of 8th and 10th graders combined using alcohol in the past month was 27.5 percent in 2002, 27.6 percent in 2003, 26.9 percent in 2004, 25.2 percent in 2005, 25.5 percent in 2006, 24.7 percent in 2007, 22.4 percent in 2008, 22.7 percent in 2009, 21.4 percent in 2010, 20.0 percent in 2011, 19.3 percent in 2012, 18.0 percent in 2013, 16.3 percent in 2014, 15.6 percent in 2015, 13.6 percent in 2016, 13.9 percent in 2017, and 13.4 percent in 2018. The differences between the 2018 estimate and the 2002 through 2015 estimates were statistically significant.
Long description end. Return to Figure 5.1.
Long description, Figure 5.2: Figure 5.2 is titled "Past Month Cigarette Use among Youths in NSDUH and MTF: 2002 through 2018." It is a line graph, where the survey years are shown on the horizontal axis and the percentage using cigarettes in the past month is shown on the vertical axis. One line represents NSDUH youths aged 12 to 17, and another line represents MTF 8th and 10th graders combined. Both of these lines show use over the years 2002 through 2018. Tests of statistical significance at the .05 level were performed between 2018 and each of the previous years listed; significant results are indicated where appropriate.
NSDUH data show that the percentage of 12 to 17 year olds using cigarettes in the past month was 13.0 percent in 2002, 12.2 percent in 2003, 11.9 percent in 2004, 10.8 percent in 2005, 10.4 percent in 2006, 9.9 percent in 2007, 9.2 percent in 2008, 9.0 percent in 2009, 8.4 percent in 2010, 7.8 percent in 2011, 6.6 percent in 2012, 5.6 percent in 2013, 4.9 percent in 2014, 4.2 percent in 2015, 3.4 percent in 2016, 3.2 percent in 2017, and 2.7 percent in 2018. The differences between the 2018 estimate and the 2002 through 2017 estimates were statistically significant.
MTF data show that the percentage of 8th and 10th graders combined using cigarettes in the past month was 14.2 percent in 2002, 13.5 percent in 2003, 12.6 percent in 2004, 12.1 percent in 2005, 11.6 percent in 2006, 10.6 percent in 2007, 9.6 percent in 2008, 9.8 percent in 2009, 10.4 percent in 2010, 9.0 percent in 2011, 7.9 percent in 2012, 6.8 percent in 2013, 5.6 percent in 2014, 5.0 percent in 2015, 3.8 percent in 2016, 3.5 percent in 2017, and 3.2 percent in 2018. The differences between the 2018 estimate and the 2002 through 2015 estimates were statistically significant.
Long description end. Return to Figure 5.2.
Long description, Figure 5.3: Figure 5.3 is titled "Past Month Marijuana Use among Youths in NSDUH and MTF: 2002 through 2018." It is a line graph, where the survey years are shown on the horizontal axis and the percentage using marijuana in the past month is shown on the vertical axis. One line represents NSDUH youths aged 12 to 17, and another line represents MTF 8th and 10th graders combined. Both of these lines show use over the years 2002 through 2018. Tests of statistical significance at the .05 level were performed between 2018 and each of the previous years listed; significant results are indicated where appropriate.
NSDUH data show that the percentage of 12 to 17 year olds using marijuana in the past month was 8.2 percent in 2002; 7.9 percent in 2003; 7.6 percent in 2004; 6.8 percent in 2005; 6.7 percent in 2006, 2007, and 2008; 7.4 percent in both 2009 and 2010; 7.9 percent in 2011; 7.2 percent in 2012; 7.1 percent in 2013; 7.4 percent in 2014; 7.0 percent in 2015; 6.5 percent in both 2016 and 2017; and 6.7 percent in 2018. The differences between the 2018 estimate and the 2002 through 2004 and the 2009 through 2011 estimates were statistically significant.
MTF data show that the percentage of 8th and 10th graders combined using marijuana in the past month was 13.1 percent in 2002, 12.3 percent in 2003, 11.2 percent in 2004, 10.9 percent in 2005, 10.4 percent in 2006, 10.0 percent in 2007, 9.8 percent in 2008, 11.2 percent in 2009, 12.4 percent in both 2010 and 2011, 11.8 percent in 2012, 12.5 percent in 2013, 11.6 percent in 2014, 10.7 percent in 2015, 9.7 percent in 2016, 10.6 percent in 2017, and 11.2 percent in 2018. The differences between the 2018 estimate and the estimates in 2002, 2003, 2007, 2008, 2010, 2011, 2013, and 2016 were statistically significant.
Long description end. Return to Figure 5.3.
Long description, Figure 5.4: Figure 5.4 is titled "Past Month Marijuana Use among Youths in NSDUH, MTF, and YRBS: 1971 through 2018." It is a line graph, where the survey years are shown on the horizontal axis and the percentage using marijuana in the past month is shown on the vertical axis. For each data source, a line represents the percentage using marijuana in the past month for the years shown.
According to NSDUH data for youths aged 12 to 17, the percentage of youths reporting past month marijuana use was 5.1 percent in 1971; 6.0 percent in 1972; 10.2 percent in 1974; 10.5 percent in 1976; 14.1 percent in 1977; 14.2 percent in 1979; 9.9 percent in 1982; 10.2 percent in 1985; 5.4 percent in 1988; 4.4 percent in 1990; 3.6 percent in 1991; 3.4 percent in 1992; 4.0 percent in 1993; 6.0 percent in 1994; 8.2 percent in 1995; 7.1 percent in 1996; 9.4 percent in 1997; 8.3 percent in 1998; 8.2 percent in 2002; 7.9 percent in 2003; 7.6 percent in 2004; 6.8 percent in 2005; 6.7 percent in 2006, 2007, and 2008; 7.4 percent in both 2009 and 2010; 7.9 percent in 2011; 7.2 percent in 2012; 7.1 percent in 2013; 7.4 percent in 2014; 7.0 percent in 2015; 6.5 percent in 2016 and 2017, and 6.7 percent in 2018. There is a break in the line for 1999 to 2001.
According to MTF data for 8th and 10th graders combined, the percentage reporting past month marijuana use was 6.0 percent in 1991, 5.9 percent in 1992, 8.0 percent in 1993, 11.8 percent in 1994, 13.2 percent in 1995, 15.9 percent in 1996, 15.4 percent in 1997, 14.2 percent in 1998, 14.6 percent in 1999, 14.4 percent in 2000, 14.5 percent in 2001, 13.1 percent in 2002, 12.3 percent in 2003, 11.2 percent in 2004, 10.9 percent in 2005, 10.4 percent in 2006, 10.0 percent in 2007, 9.8 percent in 2008, 11.2 percent in 2009, 12.4 percent in both 2010 and 2011, 11.8 percent in 2012, 12.5 percent in 2013, 11.6 percent in 2014, 10.7 percent in 2015, 9.7 percent in 2016, 10.6 percent in 2017, and 11.2 percent in 2018.
According to MTF data for 12th graders, the percentage reporting past month marijuana use was 27.1 percent in 1975, 32.2 percent in 1976, 35.4 percent in 1977, 37.1 percent in 1978, 36.5 percent in 1979, 33.7 percent in 1980, 31.6 percent in 1981, 28.5 percent in 1982, 27.0 percent in 1983, 25.2 percent in 1984, 25.7 percent in 1985, 23.4 percent in 1986, 21.0 percent in 1987, 18.0 percent in 1988, 16.7 percent in 1989, 14.0 percent in 1990, 13.8 percent in 1991, 11.9 percent in 1992, 15.5 percent in 1993, 19.0 percent in 1994, 21.2 percent in 1995, 21.9 percent in 1996, 23.7 percent in 1997, 22.8 percent in 1998, 23.1 percent in 1999, 21.6 percent in 2000, 22.4 percent in 2001, 21.5 percent in 2002, 21.2 percent in 2003, 19.9 percent in 2004, 19.8 percent in 2005, 18.3 percent in 2006, 18.8 percent in 2007, 19.4 percent in 2008, 20.6 percent in 2009, 21.4 percent in 2010, 22.6 percent in 2011, 22.9 percent in 2012, 22.7 percent in 2013, 21.2 percent in 2014, 21.3 percent in 2015, 22.5 percent in 2016, 22.9 percent in 2017, and 22.2 percent in 2018.
According to YRBS data for 9th through 12th graders, the percentage reporting past month marijuana use was 14.7 percent in 1991, 17.7 percent in 1993, 25.3 percent in 1995, 26.2 percent in 1997, 26.7 percent in 1999, 23.9 percent in 2001, 22.4 percent in 2003, 20.2 percent in 2005, 19.7 percent in 2007, 20.8 percent in 2009, 23.1 percent in 2011, 23.4 percent in 2013, 21.7 percent in 2015, and 19.8 percent in 2017.
Long description end. Return to Figure 5.4.