2012-2013
National Survey on Drug Use and Health:
Other Sources of State-Level Data

Introduction

A variety of surveys and data systems other than the National Survey on Drug Use and Health (NSDUH) collect data on substance use problems and mental disorders. It is useful to consider the results of these other studies when discussing NSDUH data. This document briefly describes one of these other data systems that publish State estimates and presents selected comparisons with NSDUH results. The State-level survey that collects data on substance use discussed in this document is the Behavioral Risk Factor Surveillance System (BRFSS), sponsored by the Centers for Disease Control and Prevention (CDC). Another CDC data system that provides State-level substance use estimates for most but not all States is the Youth Risk Behavior Survey (YRBS). Differences between the YRBS and NSDUH sampling designs, and age groups used in NSDUH small area estimates, imply that comparisons of estimates are not straightforward. However, ignoring these differences and examining estimates at a national level, the YRBS has been generally shown to have higher estimates but similar long-term trends compared with NSDUH (Center for Behavioral Health Statistics and Quality [CBHSQ], 2014).1

When considering the information presented in this document, it is important to understand the methodological differences between these surveys and the impact that these differences could have on estimates of substance use. Several studies have compared NSDUH estimates with estimates from other studies and have evaluated how differences may have been affected by differences in survey methodology (Brener et al., 2006; Gfroerer, Wright, & Kopstein, 1997; Grucza, Abbacchi, Przybeck, & Gfroerer, 2007; Hennessy & Ginsberg, 2001; Miller et al., 2004). These studies suggest that the goals and approaches of surveys are often different, making comparisons between them difficult. Some methodological differences that have been identified as affecting comparisons include populations covered, sampling methods, mode of data collection, survey setting, questionnaires, and estimation methods.

BRFSS is a State-based system of health surveys that collect information on health risk behaviors (including cigarette and alcohol use), preventive health practices, and health care access primarily related to chronic disease and injury. BRFSS is an annual, State-based telephone (landline and cellular telephone) survey of the civilian, noninstitutionalized adult population aged 18 or older and is sponsored by the CDC. In 2013, BRFSS collected data from all 50 States, the District of Columbia, Puerto Rico, the U.S. Virgin Islands, and Guam using a computer-assisted telephone interviewing (CATI) design. About 500,000 adults are interviewed each year, and State estimates are presented annually.

In 2011, BRFSS introduced two methodological changes: (1) the inclusion of cellular telephone-only households in the sample, and (2) the incorporation of iterative proportional fitting (also referred to as "raking") in the production of the final BRFSS weights, replacing the use of poststratification. Cellular telephone-only households were added to improve survey coverage of the telephone population and addressed differences in characteristics found between the cellular telephone-only and landline populations. In 2013 (just as in 2012), in addition to cellular telephone-only households, households where 90 percent or more of their calls were received on cellular telephones also were eligible to participate. Because State-level demographic characteristics of cellular telephone-only households are not available, weighting with the previous method of poststratification was no longer feasible. As a result of these methodological changes, the CDC has reported small increases in various health risk indicators, including tobacco use and binge drinking.2 The 2013 BRFSS State estimates and confidence intervals are weighted design-based estimates (i.e., each respondent is weighted in a way that accounts for the survey design).3

Also in 2011, the BRFSS questionnaire underwent some changes in the alcohol consumption and tobacco use sections. In 2010, BRFSS respondents were asked, "During the past 30 days, have you had at least one drink of any alcoholic beverage such as beer, wine, a malt beverage or liquor?" The response to this question was used to route respondents to the next question regarding the frequency of alcohol use in the past 30 days. However, only the responses to the first question were used to determine past month alcohol use. In the 2011 BRFSS questionnaire, this question was dropped, and respondents were directly asked, "During the past 30 days, how many days per week or per month did you have at least one drink of any alcoholic beverage such as beer, wine, a malt beverage or liquor?" If a respondent answered "1" or higher to this question, he or she was considered a past month user of alcohol. In spite of the questionnaire changes, BRFSS is still producing an estimate of past month alcohol use that can be compared with the NSDUH estimate. Also, minor wording changes were made in one question in the tobacco use section, but none of these would affect current cigarette use estimates. These newly worded questions were used in the 2012 and 2013 BRFSS as well.

In both BRFSS and NSDUH, data are collected on the following four substance use and mental health measures in each of the 50 States and the District of Columbia:4

Note that only estimates for the first two of these four measures are compared here because the binge alcohol definition differs in BRFSS and NSDUH and small area estimates of lifetime diagnosed depression were not produced for NSDUH. Past month alcohol use is defined consistently in both BRFSS and NSDUH as having an alcoholic beverage in the past month. In NSDUH, past month cigarette use is defined as having smoked part or all of a cigarette during the past 30 days. In BRFSS, the cigarette use measure reported is current cigarette use, which is defined as having smoked at least 100 cigarettes during the lifetime and indicating smoking every day or some days at the time of the survey. Because of these subtle but present differences in definitions, the NSDUH cigarette use estimates tend to be higher in that they cover two groups of people that the BRFSS estimates would not: (1) respondents who have not smoked 100 cigarettes in their lifetime but had smoked in the past month, and (2) respondents who had smoked a cigarette earlier in the month but were not smoking at the time of the survey. Both surveys ask about binge alcohol use in the past month; however, as noted earlier, each survey defines it slightly differently. NSDUH's definition for binge alcohol use is having had five or more drinks of an alcoholic beverage on the same occasion (i.e., at the same time or within a couple hours of each other) on at least 1 day in the past 30 days. In BRFSS, women are asked about drinking four or more drinks on one occasion, whereas men are asked about drinking five or more drinks on one occasion. Because of this difference in definitions, NSDUH's small area estimates and BRFSS's estimates of binge alcohol use are not discussed here.

Beginning in 2011, the question assessing lifetime diagnosed depression was removed from the BRFSS optional anxiety and depression module and placed in the core section of the questionnaire within a group of questions inquiring about various chronic health conditions, such as coronary heart disease and diabetes. Thus, BRFSS estimates for lifetime diagnosed depression are now available for all States. In BRFSS, respondents are simply asked if a doctor, nurse, or other health professional has ever told them that they had a depressive disorder, including depression, major depression, dysthymia, or minor depression. In NSDUH, respondents are considered to have had depression in their lifetime if they answered that a doctor or medical professional has ever told them that they had depression. In the same group of questions asking about depression in both the BRFSS questionnaire and the NSDUH questionnaire, respondents are also asked about heart disease, diabetes, strokes, and asthma. However, because NSDUH's State-level small area estimates are not produced for lifetime diagnosed depression or any of these other health conditions, comparisons with BRFSS data cannot be made. Although State small area estimates have not been produced in NSDUH for these measures, direct estimates of these health measures could be generated using NSDUH data at the State level and compared with BRFSS estimates. Because the focus here is on small area estimates, however, such comparisons with BRFSS data were not made. Note that NSDUH's State small area estimates are produced for having had a major depressive episode (MDE) in the past year. However, this MDE measure is unrelated to the NSDUH question about being diagnosed with lifetime depression. Instead, NSDUH includes a separate set of questions to assess depression symptoms that are used to measure MDE. Thus, NSDUH's small area estimates for MDE would not be comparable with estimates of the BRFSS depression measure discussed here.

This document presents the findings of the 2013 BRFSS State estimates and the combined 2012-2013 NSDUH State estimates for past month alcohol use and cigarette use ("past month" use for NSDUH and "current" use for BRFSS). In Tables 1 and 2 (shown after this text discussion), the 2013 BRFSS State estimates for adults aged 18 or older are shown alongside the pooled 2012-2013 NSDUH small area estimates for the same age group (by combining the 18 to 25 and 26 or older age groups). Table 1 also includes p values that indicate whether the BRFSS and NSDUH estimates are significantly different from each other for a given State using an exact test as described in the next section. Because the definitions for binge alcohol use in the two surveys are different for women, no comparison of binge alcohol use was done.

Methodology for Comparing BRFSS and NSDUH Estimates

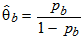
The methodology used to compare BRFSS and NSDUH estimates is similar to what is described in Section B.6 of the "2012-2013 NSDUH: Guide to State Tables and Summary of Small Area Estimation Methodology."5 Here, the null hypothesis of no difference is tested, that is, Pi sub b is equal to pi sub n. (where pi sub b is the expected value6 of the BRFSS estimate and pi sub n is the expected value of the NSDUH estimate) or equivalently that the logs-odds ratio is zero, that is, Log-odds ratio lor is equal to zero., where Log-odds ratio lor is defined as The log-odds ratio, lor, is defined as the natural logarithm of the ratio of two quantities. The numerator of the ratio is pi sub b divided by 1 minus pi sub b. The denominator of the ratio is pi sub n divided by 1 minus pi sub n., where ln denotes the natural logarithm. An estimate of Log-odds ratio lor is given by The estimate of the log-odds ratio, lor hat, is defined as the natural logarithm of the ratio of two quantities. The numerator of the ratio is p sub b divided by 1 minus p sub b. The denominator of the ratio is p sub n divided by 1 minus p sub n., where p sub b and p sub n are the 2013 BRFSS State-level design-based estimates and the 2012-2013 NSDUH State model-based estimates, respectively (as given in Tables 1 and 2). To compute the variance of estimate of the log-odds ratio, lor hat, that is, variance v of the estimate of the log-odds ratio, lor hat, let Theta sub b hat is defined as the ratio of p sub b and 1 minus p sub b. and Theta sub n hat is defined as the ratio of p sub n and 1 minus p sub n., then Variance v of the estimate of the log-odds ratio, lor hat, is a function of three quantities: q1, q2, and q3. It is expressed as the sum of q1 and q2 minus q3. Quantity q1 is the variance v of the natural logarithm of Theta sub b hat, quantity q2 is the variance v of the natural logarithm of Theta sub n hat, and quantity q3 is 2 times the covariance between the natural logarithm of Theta sub b hat and the natural logarithm of Theta sub n hat.. The covariance term can be assumed to be zero because the BRFSS and NSDUH samples are independent.

The quantity variance v of the natural logarithm of Theta sub n hat can be obtained by using the 95 percent Bayesian confidence intervals in Tables 1 and 2. For this purpose, let lower sub n and upper sub n denote the 95 percent Bayesian confidence interval7 for a given State-s:

Equation 1,     D

where Capital U sub n is the natural logarithm of upper sub n divided by 1 minus upper sub n, and capital L sub n is the natural logarithm of lower sub n divided by 1 minus lower sub n..


The quantity variance v of the natural logarithm of Theta hat sub b can be obtained by using the 95 percent confidence intervals in Tables 1 and 2. For this purpose, let lower sub b and upper sub b denote the 95 percent BRFSS confidence interval for a given State-s, then variance v of p sub b is given by

Equation 2.     D

Now, using the first-order Taylor series approximation,8 variance v of the natural logarithm of Theta hat sub b can be calculated from variance v of p sub b as follows:

Equation 3.     D

The p value that is given in Tables 1 and 2 for testing the null hypothesis of no difference (Log-odds ratio lor is equal to zero.) is provided by The p value is equal to 2 times the probability of realizing a standard normal variate capital Z greater than or equal to the absolute value of a quantity z., where capital Z is a standard normal random variate, Quantity z is the estimate of the log-odds ratio, lor hat, divided by the square root of the sum of the variance v of the natural logarithm of Theta sub b hat and the variance v of the natural logarithm of Theta sub n hat., and absolute value of quantity z denotes the absolute value of quantity z.


Alcohol Use

As can be seen in Table 1, for past month alcohol use, the NSDUH and the BRFSS estimates for more than half of the States were different (i.e., at the 5 percent level of significance, 29 of 51 States were different). However, these two sets of estimates were highly correlated (correlation coefficient = 0.95). Figures 1 and 2, which follow the tables, were created by using State estimates from both BRFSS and NSDUH and categorizing the States into five quintiles similar to the process described on the title page of the "2012-2013 NSDUH National Maps of Prevalence Estimates, by State."9 Note that in Tables 1 and 2, the BRFSS estimates and corresponding confidence intervals are rounded to one decimal place, whereas the NSDUH small area estimates and Bayesian confidence intervals are rounded to two decimal places. Therefore, all of the tables and maps included in this document use that approximation.

As can be seen in Figures 1 and 2, eight States with the highest estimates of alcohol use (States shown in red) were the same in the two surveys: Colorado, Connecticut, the District of Columbia, Massachusetts, Minnesota, New Hampshire, Rhode Island, and Wisconsin. Note that Vermont was the other State in the top BRFSS group and that Montana and North Dakota were the other two States in the top NSDUH group. Nine States with the lowest estimates of alcohol use were the same in the two surveys: Alabama, Arkansas, Georgia, Kentucky, Mississippi, Oklahoma, Tennessee, Utah, and West Virginia. Note that North Carolina rounded out the bottom BRFSS group and that Texas was the other State in the bottom NSDUH group. The lowest estimate of past month alcohol use was in Utah for both BRFSS and NSDUH (see Table 1 and Figures 1 and 2).

Cigarette Use

As can be seen in Table 2, the NSDUH estimates of past month cigarette use were always larger than the BRFSS estimates of current cigarette use. Some of this difference is the result of the differences in definitions as discussed earlier in this document; thus, exact tests to examine significant differences between the NSDUH and BRFSS cigarette use estimates are not included. Although the NSDUH estimates tended to be larger, these two sets of estimates were highly correlated (correlation coefficient = 0.92).

Figures 3 and 4 were created using the same method used to produce Figures 1 and 2. As can be seen in Figures 3 and 4, seven States with the highest estimates of cigarette use (States shown in red) were the same in the two surveys: Arkansas, Kentucky, Mississippi, Missouri, Ohio, Oklahoma, and West Virginia. Alaska, Louisiana, and Tennessee rounded out the top BRFSS group, while Alabama, South Carolina, and South Dakota rounded out the top NSDUH group. Eight States with the lowest estimates of cigarette use were the same in the two surveys: California, Connecticut, Hawaii, Maryland, New Hampshire, New Jersey, Utah, and Washington. Note that the other two States in the bottom BRFSS group were Arizona and Texas and that the other two States in the bottom NSDUH group were Massachusetts and New York.

Sample Size Comparisons

The BRFSS estimates are design based, while the NSDUH estimates are model based. Also, the NSDUH estimates are based on the pooled 2012-2013 NSDUHs (2 years of data), whereas the BRFSS estimates are based on the 2013 BRFSS survey (1 year of data). Although the BRFSS estimates are only based on 1 year of data, the BRFSS sample sizes for a given State are in general much larger than the sample sizes for NSDUH over 2 years. The eight "large" States10 have a sample size for those aged 18 or older of approximately 4,800 respondents each for the 2012-2013 combined NSDUH data. In 2012-2013, the 18 or older sample sizes in these States ranged from 4,462 to 4,967.11 For the 2013 BRFSS, all of the States had larger sample sizes as compared with their counterparts in NSDUH. Overall, the BRFSS sample sizes for the eight large States varied from a low of 5,608 respondents in Illinois to a high of 34,186 respondents in Florida, with a median sample size of 11,474.12 For the remaining 43 small sample States, NSDUH's 18 or older sample size for the combined 2012-2013 data was approximately 1,200 respondents for each State. The BRFSS sample sizes for the small sample States were much larger, varying from a low of 4,252 respondents in Arizona to a high of 23,282 respondents in Kansas, with a median sample size of 7,806. Sample size differences of this magnitude explain why the NSDUH Bayesian confidence intervals were generally wider than the corresponding BRFSS design-based confidence intervals.

References

Brener, N. D., Eaton, D. K., Kann, L., Grunbaum, J. A., Gross, L. A., Kyle, T. M., & Ross, J. G. (2006). The association of survey setting and mode with self-reported health risk behaviors among high school students. Public Opinion Quarterly, 70, 354-374.

Center for Behavioral Health Statistics and Quality. (2014). Results from the 2013 National Survey on Drug Use and Health: Summary of national findings (HHS Publication No. SMA 14-4863, NSDUH Series H-48). Rockville, MD: Substance Abuse and Mental Health Services Administration.

Centers for Disease Control and Prevention. (2014, August 15). Behavioral Risk Factor Surveillance System: Comparability of data BRFSS 2013. Retrieved from http://www.cdc.gov/brfss/annual_data/2013/pdf/Compare_2013.pdf

Gfroerer, J., Wright, D., & Kopstein, A. (1997). Prevalence of youth substance use: The impact of methodological differences between two national surveys. Drug and Alcohol Dependence, 47, 19-30.

Grucza, R. A., Abbacchi, A. M., Przybeck, T. R., & Gfroerer, J. C. (2007). Discrepancies in estimates of prevalence and correlates of substance use and disorders between two national surveys. Addiction, 102, 623-629.

Hennessy, K. H., & Ginsberg, C. (Eds.). (2001). Substance use survey data collection methodologies and selected papers [Special issue]. Journal of Drug Issues, 31(3), 595-808.

Miller, J. W., Gfroerer, J. C., Brewer, R. D., Naimi, T. S., Mokdad, A., & Giles, W. H. (2004). Prevalence of adult binge drinking: A comparison of two national surveys. American Journal of Preventive Medicine, 27, 197-204.

Table 1 Alcohol Use in the Past Month among Adults Aged 18 or Older, by State: Percentages, Annual Averages Based on 2013 BRFSS and 2012-2013 NSDUH
State 2013 BRFSS
(Estimate)
2013 BRFSS
(95% Confidence
Interval)
2012-2013
NSDUH
(Estimate)
2012-2013 NSDUH
(95% Confidence
Interval)
P Value
NOTE: NSDUH estimates along with 95 percent Bayesian confidence (credible) intervals are based on a survey-weighted hierarchical Bayes estimation approach and are generated by Markov Chain Monte Carlo techniques. BRFSS estimates are based on a survey-weighted direct estimation approach.
NOTE: The p value is the probability of no difference between the BRFSS and NSDUH estimates.
Source: SAMHSA, Center for Behavioral Health Statistics and Quality, National Survey on Drug Use and Health, 2012-2013; Centers for Disease Control and Prevention (CDC), Behavioral Risk Factor Surveillance System, 2013.
Alabama 40.3 (38.5 - 42.1) 47.04 (43.42 - 50.70) 0.001
Alaska 55.4 (53.2 - 57.5) 57.93 (54.30 - 61.48) 0.239
Arizona 51.5 (48.8 - 54.3) 55.37 (51.63 - 59.05) 0.102
Arkansas 39.8 (37.8 - 41.8) 44.72 (41.27 - 48.23) 0.016
California 55.5 (54.1 - 56.9) 53.57 (51.70 - 55.44) 0.106
Colorado 61.9 (60.7 - 63.0) 65.95 (62.55 - 69.20) 0.027
Connecticut 62.6 (60.9 - 64.2) 65.61 (62.09 - 68.96) 0.127
Delaware 57.1 (55.2 - 59.0) 59.24 (55.76 - 62.64) 0.288
District of Columbia 64.3 (62.1 - 66.5) 68.05 (64.87 - 71.06) 0.056
Florida 54.7 (53.5 - 55.9) 55.36 (53.51 - 57.20) 0.557
Georgia 47.1 (45.6 - 48.7) 51.22 (47.39 - 55.03) 0.051
Hawaii 49.3 (47.7 - 51.0) 53.80 (50.18 - 57.37) 0.027
Idaho 49.6 (47.7 - 51.6) 52.68 (49.09 - 56.24) 0.140
Illinois 57.2 (55.3 - 59.1) 60.16 (58.34 - 61.94) 0.027
Indiana 48.5 (47.2 - 49.8) 56.03 (52.42 - 59.57) 0.000
Iowa 57.2 (55.7 - 58.6) 62.14 (58.48 - 65.67) 0.014
Kansas 51.5 (50.7 - 52.3) 58.28 (54.53 - 61.93) 0.001
Kentucky 38.2 (36.8 - 39.7) 47.96 (44.60 - 51.33) 0.000
Louisiana 49.0 (46.8 - 51.2) 52.40 (48.84 - 55.93) 0.111
Maine 58.6 (57.1 - 60.0) 58.46 (54.81 - 62.03) 0.946
Maryland 54.5 (53.1 - 55.9) 62.98 (59.36 - 66.47) 0.000
Massachusetts 63.6 (62.4 - 64.9) 69.50 (66.20 - 72.61) 0.001
Michigan 56.6 (55.3 - 57.8) 59.01 (57.22 - 60.78) 0.031
Minnesota 63.6 (62.1 - 65.1) 63.74 (60.26 - 67.09) 0.941
Mississippi 38.4 (36.7 - 40.1) 46.27 (42.65 - 49.93) 0.000
Missouri 48.5 (46.7 - 50.2) 55.81 (52.32 - 59.25) 0.000
Montana 58.8 (57.4 - 60.2) 64.25 (60.64 - 67.71) 0.006
Nebraska 57.5 (56.2 - 58.7) 61.19 (57.51 - 64.74) 0.062
Nevada 54.1 (51.5 - 56.7) 59.13 (55.36 - 62.79) 0.031
New Hampshire 63.7 (62.0 - 65.3) 70.11 (66.83 - 73.20) 0.001
New Jersey 58.6 (57.3 - 59.9) 59.86 (55.99 - 63.61) 0.541
New Mexico 48.3 (46.8 - 49.9) 54.53 (50.75 - 58.26) 0.003
New York 55.4 (54.0 - 56.8) 60.40 (58.40 - 62.36) 0.000
North Carolina 44.3 (42.9 - 45.8) 52.65 (48.95 - 56.33) 0.000
North Dakota 61.0 (59.4 - 62.6) 63.39 (59.92 - 66.73) 0.217
Ohio 53.3 (52.0 - 54.7) 58.27 (56.43 - 60.09) 0.000
Oklahoma 42.0 (40.6 - 43.4) 51.68 (48.03 - 55.32) 0.000
Oregon 61.0 (59.3 - 62.7) 62.27 (58.67 - 65.74) 0.528
Pennsylvania 54.4 (53.1 - 55.6) 60.47 (58.64 - 62.27) 0.000
Rhode Island 62.6 (60.9 - 64.3) 63.59 (60.05 - 67.00) 0.616
South Carolina 48.5 (47.1 - 49.9) 53.41 (49.82 - 56.97) 0.013
South Dakota 57.8 (55.8 - 59.8) 61.56 (58.26 - 64.76) 0.055
Tennessee 37.5 (35.6 - 39.3) 41.57 (38.07 - 45.16) 0.044
Texas 49.3 (47.8 - 50.8) 51.03 (49.28 - 52.78) 0.141
Utah 30.7 (29.6 - 31.8) 34.62 (31.24 - 38.16) 0.031
Vermont 62.9 (61.2 - 64.5) 62.80 (59.33 - 66.14) 0.957
Virginia 52.0 (50.5 - 53.5) 59.51 (55.92 - 63.00) 0.000
Washington 58.7 (57.4 - 60.0) 57.89 (54.52 - 61.19) 0.658
West Virginia 34.0 (32.5 - 35.5) 40.59 (37.31 - 43.96) 0.000
Wisconsin 64.6 (62.7 - 66.5) 66.37 (62.65 - 69.90) 0.401
Wyoming 53.0 (51.3 - 54.8) 59.16 (55.63 - 62.61) 0.002
Table 2 Cigarette Use among Adults Aged 18 or Older, by State: Percentages, Annual Averages Based on 2013 BRFSS and 2012-2013 NSDUH
State 2013 BRFSS1
(Estimate)
2013 BRFSS1
(95% Confidence
Interval)
2012-2013
NSDUH2
(Estimate)
2012-2013 NSDUH2
(95% Confidence
Interval)
NOTE: NSDUH estimates along with 95 percent Bayesian confidence (credible) intervals are based on a survey-weighted hierarchical Bayes estimation approach and are generated by Markov Chain Monte Carlo techniques. BRFSS estimates are based on a survey-weighted direct estimation approach.
1 BRFSS respondents were classified as current smokers if they reported having smoked at least 100 cigarettes during their lifetime and indicated that they smoked every day or some days at the time of the survey.
2 NSDUH respondents were classified as past month cigarette users if they smoked all or part of a cigarette during the past 30 days.
Source: SAMHSA, Center for Behavioral Health Statistics and Quality, National Survey on Drug Use and Health, 2012-2013; Centers for Disease Control and Prevention (CDC), Behavioral Risk Factor Surveillance System, 2013.
Alabama 21.5 (19.9 - 23.0) 28.11 (25.28 - 31.13)
Alaska 22.6 (20.8 - 24.4) 24.60 (22.05 - 27.34)
Arizona 16.3 (14.3 - 18.3) 21.42 (18.97 - 24.09)
Arkansas 25.9 (24.1 - 27.8) 28.90 (26.21 - 31.74)
California 12.5 (11.7 - 13.4) 17.61 (16.37 - 18.92)
Colorado 17.7 (16.7 - 18.6) 22.78 (20.39 - 25.36)
Connecticut 15.5 (14.3 - 16.7) 19.30 (17.17 - 21.63)
Delaware 19.6 (17.9 - 21.2) 24.80 (22.33 - 27.44)
District of Columbia 18.8 (16.8 - 20.8) 24.59 (22.15 - 27.22)
Florida 16.8 (15.9 - 17.7) 21.60 (20.21 - 23.05)
Georgia 18.8 (17.6 - 20.1) 23.44 (20.90 - 26.18)
Hawaii 13.3 (12.2 - 14.5) 18.27 (16.01 - 20.77)
Idaho 17.2 (15.6 - 18.7) 22.99 (20.53 - 25.66)
Illinois 18.0 (16.5 - 19.5) 24.50 (23.06 - 25.99)
Indiana 21.9 (20.8 - 23.1) 27.74 (25.19 - 30.43)
Iowa 19.5 (18.3 - 20.8) 24.77 (22.17 - 27.57)
Kansas 20.0 (19.3 - 20.7) 24.84 (22.21 - 27.68)
Kentucky 26.5 (25.1 - 27.8) 32.49 (29.59 - 35.52)
Louisiana 23.5 (21.5 - 25.6) 27.48 (24.82 - 30.31)
Maine 20.2 (18.9 - 21.5) 24.57 (22.03 - 27.31)
Maryland 16.4 (15.3 - 17.5) 19.59 (17.27 - 22.13)
Massachusetts 16.6 (15.6 - 17.7) 19.60 (17.36 - 22.05)
Michigan 21.4 (20.3 - 22.5) 27.23 (25.78 - 28.74)
Minnesota 18.0 (16.8 - 19.2) 22.97 (20.48 - 25.67)
Mississippi 24.8 (23.3 - 26.4) 33.17 (30.09 - 36.41)
Missouri 22.1 (20.6 - 23.6) 30.26 (27.39 - 33.29)
Montana 19.0 (17.9 - 20.1) 26.10 (23.51 - 28.86)
Nebraska 18.5 (17.4 - 19.5) 23.59 (21.00 - 26.40)
Nevada 19.4 (17.3 - 21.4) 26.08 (23.21 - 29.17)
New Hampshire 16.2 (15.0 - 17.5) 21.31 (18.98 - 23.83)
New Jersey 15.7 (14.7 - 16.6) 18.39 (16.13 - 20.88)
New Mexico 19.1 (17.9 - 20.3) 24.49 (21.85 - 27.34)
New York 16.6 (15.5 - 17.7) 21.35 (19.97 - 22.80)
North Carolina 20.3 (19.1 - 21.4) 24.78 (22.17 - 27.59)
North Dakota 21.2 (19.8 - 22.6) 26.59 (24.03 - 29.31)
Ohio 23.4 (22.2 - 24.5) 28.49 (27.04 - 29.99)
Oklahoma 23.7 (22.4 - 25.0) 31.71 (28.76 - 34.83)
Oregon 17.3 (15.9 - 18.7) 22.57 (20.13 - 25.21)
Pennsylvania 21.0 (19.9 - 22.0) 25.64 (24.22 - 27.12)
Rhode Island 17.4 (16.1 - 18.8) 21.91 (19.47 - 24.57)
South Carolina 22.0 (20.8 - 23.2) 27.94 (25.28 - 30.76)
South Dakota 19.6 (18.0 - 21.1) 27.89 (25.32 - 30.63)
Tennessee 24.3 (22.6 - 26.0) 27.06 (24.52 - 29.76)
Texas 15.9 (14.8 - 17.0) 21.75 (20.35 - 23.22)
Utah 10.3   (9.6 - 11.1) 19.23 (16.89 - 21.81)
Vermont 16.6 (15.3 - 17.9) 22.62 (20.36 - 25.05)
Virginia 19.0 (17.9 - 20.2) 24.27 (21.76 - 26.97)
Washington 16.1 (15.1 - 17.1) 21.16 (18.92 - 23.60)
West Virginia 27.3 (25.9 - 28.7) 32.46 (29.62 - 35.43)
Wisconsin 18.7 (17.1 - 20.2) 23.74 (21.28 - 26.39)
Wyoming 20.6 (19.1 - 22.2) 26.93 (24.40 - 29.61)

Figure 1. Alcohol Use in the Past Month among Adults Aged 18 or Older, by State: Percentages, Annual Averages Based on 2013 BRFSS

Figure 1 is a color-coded map of the United States. For long description follow "D" link at right.     D

Source: Centers for Disease Control and Prevention (CDC), Behavioral Risk Factor Surveillance System Survey, 2013.

Figure 2. Alcohol Use in the Past Month among Adults Aged 18 or Older, by State: Percentages, Annual Averages Based on 2012-2013 NSDUHs

Figure 2 is a color-coded map of the United States. For long description follow "D" link at right.     D

Source: SAMHSA, Center for Behavioral Health Statistics and Quality, NSDUH, 2012 and 2013.

Figure 3. Current Cigarette Use among Adults Aged 18 or Older, by State: Percentages, Annual Averages Based on 2013 BRFSS

Figure 3 is a color-coded map of the United States. For long description follow "D" link at right.     D

Source: Centers for Disease Control and Prevention (CDC), Behavioral Risk Factor Surveillance System Survey, 2013.

Figure 4. Cigarette Use in the Past Month among Adults Aged 18 or Older, by State: Percentages, Annual Averages Based on 2012-2013 NSDUHs

Figure 4 is a color-coded map of the United States. For long description follow "D" link at right.     D

Source: SAMHSA, Center for Behavioral Health Statistics and Quality, NSDUH, 2012 and 2013.



End Notes

1 For further details about the YRBS and the Youth Risk Behavior Surveillance System (YRBSS), see http://www.cdc.gov/HealthyYouth/yrbs/index.htm.

2 More detailed information about these methodological changes is available online at the 2013 BRFSS Web page: http://www.cdc.gov/brfss/annual_data/annual_2013.html (specifically, see CDC, 2014).

3 For more details about BRFSS in general, along with information about the methodological changes introduced in 2011 and 2012 and their impact on BRFSS estimates, see the following two Web pages: http://www.cdc.gov/brfss and http://www.cdc.gov/surveillancepractice/reports/brfss/brfss.html.

4 The District of Columbia is referred to as a "State" in this document.

5 See https://www.samhsa.gov/data/population-data-nsduh/reports?tab=33.

6 The expected value of an estimate is defined as the mean of the observed values of the estimate over repeated samples.

7 For more information about NSDUH's SAE confidence intervals, see Section B of the "2012-2013: Guide to State Tables and Summary of Small Area Estimation Methodology."
8 variance v of function x  is approximately equal to the variance v of x multiplied by the square of the first order derivative of function x, where first order derivative of function  x is the first-order derivative of function x. If function x equals the natural logarithm of x divided by 1 minus x, then the first order derivative of function x is the reciprocal of  x multiplied by 1 minus x.

9 See footnote 5.

10 The eight most populous States (California, Florida, Illinois, Michigan, New York, Ohio, Pennsylvania, and Texas) are referenced as the "large" States in this document.

11 See Table C.14 in the "2012-2013 NSDUH: Guide to State Tables and Summary of Small Area Estimation Methodology."

12 For more information, see http://www.cdc.gov/brfss/annual_data/annual_2013.html.



Long Descriptions

Equations

Long description, Equation 1. Variance v of the natural logarithm of Theta sub n hat is equal to the square of quantity q. Quantity q is the difference between capital U sub n and capital L sub n divided by 2 times 1.96.

End long description. Return to Equation 1.

Long description, Equation 2. Variance v of p sub b is equal to the square of quantity q. Quantity q is the difference between upper sub b and lower sub b divided by 2 times 1.96.

End long description. Return to Equation 2.

Long description, Equation 3. Variance v of the natural logarithm of Theta sub b hat is equal to the variance v of the natural logarithm of p sub b divided by 1 minus p sub b, which is then approximately equal to variance v of p sub b multiplied by the square of quantity q. Quantity q is the reciprocal of p sub b multiplied by 1 minus p sub b.

End long description. Return to Equation 3.

Figures

Long description, Figure 1. Figure 1 is a U.S. map showing alcohol use in the past month among adults aged 18 or older, by State: percentages, annual averages based on 2013 BRFSS. States listed here in alphabetical order within each group were divided into five groups based on the magnitude of their percentages. States in the highest group (61.1 to 64.6 percent) were Colorado, Connecticut, District of Columbia, Massachusetts, Minnesota, New Hampshire, Rhode Island, Vermont, and Wisconsin. States in the next highest group (56.7 to 61.0 percent) were Delaware, Illinois, Iowa, Maine, Montana, Nebraska, New Jersey, North Dakota, Oregon, South Dakota, and Washington. States in the midgroup (51.6 to 56.6 percent) were Alaska, California, Florida, Maryland, Michigan, Nevada, New York, Ohio, Pennsylvania, Virginia, and Wyoming. States in the next lowest group (47.2 to 51.5 percent) were Arizona, Hawaii, Idaho, Indiana, Kansas, Louisiana, Missouri, New Mexico, South Carolina, and Texas. States in the lowest group (30.7 to 47.1 percent) were Alabama, Arkansas, Georgia, Kentucky, Mississippi, North Carolina, Oklahoma, Tennessee, Utah, and West Virginia.

End long description. Return to Figure 1.

Long description, Figure 2. Figure 2 is a U.S. map showing alcohol use in the past month among adults aged 18 or older, by State: percentages, annual averages based on 2012 and 2013 NSDUHs. States listed here in alphabetical order within each group were divided into five groups based on the magnitude of their percentages. States in the highest group (62.99 to 70.11 percent) were Colorado, Connecticut, District of Columbia, Massachusetts, Minnesota, Montana, New Hampshire, North Dakota, Rhode Island, and Wisconsin. States in the next highest group (59.52 to 62.98 percent) were Illinois, Iowa, Maryland, Nebraska, New Jersey, New York, Oregon, Pennsylvania, South Dakota, and Vermont. States in the midgroup (55.82 to 59.51 percent) were Alaska, Delaware, Indiana, Kansas, Maine, Michigan, Nevada, Ohio, Virginia, Washington, and Wyoming. States in the next lowest group (51.69 to 55.81 percent) were Arizona, California, Florida, Hawaii, Idaho, Louisiana, Missouri, New Mexico, North Carolina, and South Carolina. States in the lowest group (34.62 to 51.68 percent) were Alabama, Arkansas, Georgia, Kentucky, Mississippi, Oklahoma, Tennessee, Texas, Utah, and West Virginia.

End long description. Return to Figure 2.

Long description, Figure 3. Figure 3 is a U.S. map showing current cigarette use among adults aged 18 or older, by State: percentages, annual averages based on 2013 BRFSS. States listed here in alphabetical order within each group were divided into five groups based on the magnitude of their percentages. States in the highest group (22.1 to 27.3 percent) were Alaska, Arkansas, Kentucky, Louisiana, Mississippi, Missouri, Ohio, Oklahoma, Tennessee, and West Virginia. States in the next highest group (19.7 to 22.0 percent) were Alabama, Indiana, Kansas, Maine, Michigan, North Carolina, North Dakota, Pennsylvania, South Carolina, and Wyoming. States in the midgroup (18.1 to 19.6 percent) were Delaware, District of Columbia, Georgia, Iowa, Montana, Nebraska, Nevada, New Mexico, South Dakota, Virginia, and Wisconsin. States in the next lowest group (16.5 to 18.0 percent) were Colorado, Florida, Idaho, Illinois, Massachusetts, Minnesota, New York, Oregon, Rhode Island, and Vermont. States in the lowest group (10.3 to 16.4 percent) were Arizona, California, Connecticut, Hawaii, Maryland, New Hampshire, New Jersey, Texas, Utah, and Washington.

End long description. Return to Figure 3.

Long description, Figure 4. Figure 4 is a U.S. map showing cigarette use in the past month among adults aged 18 or older, by State: percentages, annual averages based on 2012 and 2013 NSDUHs. States listed here in alphabetical order within each group were divided into five groups based on the magnitude of their percentages. States in the highest group (27.75 to 33.17 percent) were Alabama, Arkansas, Kentucky, Mississippi, Missouri, Ohio, Oklahoma, South Carolina, South Dakota, and West Virginia. States in the next highest group (24.81 to 27.74 percent) were Indiana, Kansas, Louisiana, Michigan, Montana, Nevada, North Dakota, Pennsylvania, Tennessee, and Wyoming. States in the midgroup (23.45 to 24.80 percent) were Alaska, Delaware, District of Columbia, Illinois, Iowa, Maine, Nebraska, New Mexico, North Carolina, Virginia, and Wisconsin. States in the next lowest group (21.36 to 23.44 percent) were the Arizona, Colorado, Florida, Georgia, Idaho, Minnesota, Oregon, Rhode Island, Texas, and Vermont. States in the lowest group (17.61 to 21.35 percent) were California, Connecticut, Hawaii, Maryland, Massachusetts, New Hampshire, New Jersey, New York, Utah, and Washington.

End long description. Return to Figure 4.

Go to the top of the page