U.S. DEPARTMENT OF HEALTH AND HUMAN SERVICES
Substance Abuse and Mental Health Services Administration
Center for Behavioral Health Statistics and Quality
This report was prepared by the Center for Behavioral Health Statistics and Quality (CBHSQ), Substance Abuse and Mental Health Services Administration (SAMHSA), U.S. Department of Health and Human Services (HHS), and by RTI International (a trade name of Research Triangle Institute), Research Triangle Park, North Carolina. Work by RTI was performed under Contract No. HHSS283201000003C.
All material appearing in this report is in the public domain and may be reproduced or copied without permission from SAMHSA. However, this publication may not be reproduced or distributed for a fee without the specific, written authorization of the Office of Communications, SAMHSA, U.S. Department of Health and Human Services. When using estimates and quotations from this report, citation of the source is appreciated.
Substance Abuse and Mental Health Services Administration, Results from the 2013 National Survey on Drug Use and Health: Summary of National Findings, NSDUH Series H-48, HHS Publication No. (SMA) 14-4863. Rockville, MD: Substance Abuse and Mental Health Services Administration, 2014.
This publication may be downloaded from https://store.samhsa.gov/home. Hard copies may be obtained from SAMHSA at 1-877-SAMHSA-7 (1-877-726-4727) (English and Español).
Substance Abuse and Mental Health Services Administration
Center for Behavioral Health Statistics and Quality
1 Choke Cherry Road, Room 2-1067
Rockville, MD 20857
September 2014
List of Tables
List of Figures
1. Introduction
Summary of NSDUH
Limitations on Trend Measurement
Format of Report and Data Presentation
Other NSDUH Reports and Data
2. Illicit Drug Use
Age
Youths Aged 12 to 17
Young Adults Aged 18 to 25
Adults Aged 26 or Older
Gender
Pregnant Women
Race/Ethnicity
Education
College Students
Employment
Geographic Area
Criminal Justice Populations
Frequency of Marijuana Use
Association with Cigarette and Alcohol Use
Driving Under the Influence of Illicit Drugs
Source of Prescription Drugs
3. Alcohol Use
3.1. Alcohol Use among Persons Aged 12 or Older
Age
Gender
Pregnant Women
Race/Ethnicity
Education
College Students
Employment
Geographic Area
Association with Illicit Drug and Tobacco Use
Driving Under the Influence of Alcohol
3.2. Underage Alcohol Use
4. Tobacco Use
Age
Gender
Pregnant Women
Race/Ethnicity
Education
College Students
Employment
Geographic Area
Association with Illicit Drug and Alcohol Use
Frequency of Cigarette Use
5. Initiation of Substance Use
Initiation of Illicit Drug Use
Comparison, by Drug
Marijuana
Cocaine
Heroin
Hallucinogens
Inhalants
Psychotherapeutics
Alcohol
Tobacco
6. Youth Prevention-Related Measures
Perceived Risk of Substance Use
Perceived Availability
Perceived Parental Disapproval of Substance Use
Attitudes toward Peer Substance Use
Fighting and Delinquent Behavior
Religious Involvement and Beliefs
Exposure to Substance Use Prevention Messages and Programs
Parental Involvement
7. Substance Dependence, Abuse, and Treatment
7.1 Substance Dependence or Abuse
Age at First Use
Age
Gender
Race/Ethnicity
Education
Employment
Criminal Justice Populations
Geographic Area
7.2 Past Year Treatment for a Substance Use Problem
7.3 Need for and Receipt of Specialty Treatment
Illicit Drug or Alcohol Use Treatment and Treatment Need
Illicit Drug Use Treatment and Treatment Need
Alcohol Use Treatment and Treatment Need
8. Comparison of Trends in Substance Use among Youths and Young Adults
Description of NSDUH and Other Data Sources
Comparison of NSDUH, MTF, and YRBS Trends for Youths
Comparison of NSDUH and MTF Trends for Young Adults
Appendix
A. Description of the Survey
A.1 Sample Design
A.2 Data Collection Methodology
A.3 Data Processing
B. Statistical Methods and Measurement
B.1 Target Population
B.2 Sampling Error and Statistical Significance
B.3 Other Information on Data Accuracy
B.4 Measurement Issues
C. Other Sources of Data
C.1 Other National Surveys of Substance Use
C.2 Substance Abuse Treatment Data Sources
C.3 Surveys of Populations Not Covered by NSDUH
A.1 Weighted Statistical Imputation Rates (Percentages) for the 2013 NSDUH, by Interview Section
B.2 Summary of 2013 NSDUH Suppression Rules
B.3 Weighted Percentages and Sample Sizes for 2012 and 2013 NSDUHs, by Final Screening Result Code
B.4 Weighted Percentages and Sample Sizes for 2012 and 2013 NSDUHs, by Final Interview Code
B.5 Response Rates and Sample Sizes for 2012 and 2013 NSDUHs, by Demographic Characteristics
1.1 U.S. Census Bureau Regions
2.1 Past Month Illicit Drug Use among Persons Aged 12 or Older: 2013
2.2 Past Month Use of Selected Illicit Drugs among Persons Aged 12 or Older: 2002-2013
2.4 Past Month and Past Year Heroin Use among Persons Aged 12 or Older: 2002-2013
2.5 Past Month Illicit Drug Use among Persons Aged 12 or Older, by Age: 2012 and 2013
2.6 Past Month Illicit Drug Use among Persons Aged 12 or Older, by Age: 2002-2013
2.7 Past Month Use of Selected Illicit Drugs among Youths Aged 12 to 17: 2002-2013
2.8 Past Month Use of Selected Illicit Drugs among Youths Aged 12 to 17: 2013
2.9 Past Month Use of Selected Illicit Drugs among Young Adults Aged 18 to 25: 2002-2013
2.10 Past Month Illicit Drug Use among Adults Aged 50 to 64: 2002-2013
2.11 Past Month Marijuana Use among Youths Aged 12 to 17, by Gender: 2002-2013
2.12 Past Month Illicit Drug Use among Persons Aged 12 or Older, by Race/Ethnicity: 2002-2013
2.13 Past Month Illicit Drug Use among Persons Aged 18 or Older, by Employment Status: 2012 and 2013
2.14 Past Month Illicit Drug Use among Persons Aged 12 or Older, by County Type: 2013
3.1 Current, Binge, and Heavy Alcohol Use among Persons Aged 12 or Older, by Age: 2013
3.2 Binge Alcohol Use among Adults Aged 18 to 25, by Gender: 2002-2013
3.3 Current, Binge, and Heavy Alcohol Use among Persons Aged 12 or Older, by Race/Ethnicity: 2013
3.4 Binge Alcohol Use among Adults Aged 18 to 22, by College Enrollment: 2002-2013
3.7 Current Alcohol Use among Persons Aged 12 to 20, by Age: 2002-2013
3.8 Current, Binge, and Heavy Alcohol Use among Persons Aged 12 to 20, by Gender: 2013
4.1 Past Month Tobacco Use among Persons Aged 12 or Older: 2002-2013
4.2 Past Month Tobacco Use among Youths Aged 12 to 17: 2002-2013
4.3 Past Month Cigarette Use among Persons Aged 12 or Older, by Age: 2013
4.4 Past Month Cigarette Use among Youths Aged 12 to 17, by Gender: 2002-2013
5.2 Past Year Initiates of Specific Illicit Drugs among Persons Aged 12 or Older: 2013
5.3 Mean Age at First Use for Specific Illicit Drugs among Past Year Initiates Aged 12 to 49: 2013
5.5 Past Year Hallucinogen Initiates among Persons Aged 12 or Older: 2002-2013
5.6 Past Year Nonmedical Psychotherapeutic Initiates among Persons Aged 12 or Older: 2002-2013
5.8 Past Year Cigarette Initiates among Persons Aged 12 or Older, by Age at First Use: 2002-2013
5.10 Past Year Specific Tobacco Product Initiates among Persons Aged 12 or Older: 2002-2013
6.2 Perceived Great Risk of Marijuana Use among Youths Aged 12 to 17: 2002-2013
6.3 Perceived Great Risk of Cigarette and Alcohol Use among Youths Aged 12 to 17: 2002-2013
6.5 Perceived Availability of Selected Illicit Drugs among Youths Aged 12 to 17: 2002-2013
6.6 Exposure to Substance Use Prevention Messages and Programs among Youths Aged 12 to 17: 2002-2013
7.1 Substance Dependence or Abuse in the Past Year among Persons Aged 12 or Older: 2002-2013
7.2 Specific Illicit Drug Dependence or Abuse in the Past Year among Persons Aged 12 or Older: 2013
7.3 Illicit Drug Dependence or Abuse in the Past Year among Persons Aged 12 or Older: 2002-2013
7.5 Alcohol and Illicit Drug Dependence or Abuse among Youths Aged 12 to 17: 2002-2013
7.6 Substance Dependence or Abuse in the Past Year, by Age and Gender: 2013
8.1 Past Month Alcohol Use among Youths in NSDUH and MTF: 2002-2013
8.2 Past Month Cigarette Use among Youths in NSDUH and MTF: 2002-2013
8.3 Past Month Marijuana Use among Youths in NSDUH and MTF: 2002-2013
8.4 Past Month Marijuana Use among Youths in NSDUH, MTF, and YRBS: 1971-2013
8.5 Past Year Nonmedical Pain Reliever Use among Youths in NSDUH and MTF: 2002-2013
8.6 Past Year Nonmedical Pain Reliever Use among Young Adults in NSDUH and MTF: 2002-2013
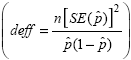
B.1 Required Effective Sample in the 2013 NSDUH as a Function of the Proportion Estimated
This report presents detailed results from the 2013 National Survey on Drug Use and Health (NSDUH), an annual survey sponsored by the Substance Abuse and Mental Health Services Administration (SAMHSA). The survey is the primary source of information on the use of illicit drugs, alcohol, and tobacco in the civilian, noninstitutionalized population of the United States aged 12 years old or older. Approximately 67,500 persons are interviewed in NSDUH each year. Unless otherwise noted, all comparisons in this report that are described using terms such as "increased," "decreased," or "more than" are statistically significant at the .05 level.
This report presents a detailed look at results from the 2013 National Survey on Drug Use and Health (NSDUH), an annual survey of the civilian, noninstitutionalized population of the United States aged 12 years old or older. The report presents national estimates of rates of use, numbers of users, and other measures related to illicit drugs, alcohol, and tobacco products. The report focuses on trends between 2012 and 2013 and from 2002 to 2013, as well as differences across population subgroups in 2013. A first glimpse of the NSDUH substance use and mental health data was provided in September 2014 through a shorter report available on the Substance Abuse and Mental Health Services Administration (SAMHSA) Web site (https://www.samhsa.gov/data/). Detailed NSDUH national estimates related to mental health and NSDUH State-level estimates related to both substance use and mental health will be published in separate releases in the fall of 2014.
NSDUH is the primary source of statistical information on the use of illegal drugs, alcohol, and tobacco by the U.S. civilian, noninstitutionalized population aged 12 or older. Conducted by the Federal Government since 1971, the survey collects data through face-to-face interviews with a representative sample of the population at the respondent's place of residence. The survey is sponsored by SAMHSA, U.S. Department of Health and Human Services, and is planned and managed by SAMHSA's Center for Behavioral Health Statistics and Quality (CBHSQ). Data collection and analysis are conducted under contract with RTI International.1 This section briefly describes the survey methodology; a more complete description is provided in Appendix A.
NSDUH collects information from residents of households and noninstitutional group quarters (e.g., shelters, rooming houses, dormitories) and from civilians living on military bases. The survey excludes homeless persons who do not use shelters, military personnel on active duty, and residents of institutional group quarters, such as jails and hospitals. Appendix C describes sources of data on substance use and treatment, including those that include populations outside the NSDUH target population.
From 1971 through 1998, the survey employed paper-and-pencil data collection. Since 1999, the NSDUH interview has been carried out using computer-assisted interviewing (CAI). Most of the questions are administered with audio computer-assisted self-interviewing (ACASI). ACASI is designed to provide the respondent with a highly private and confidential mode for responding to questions in order to increase the level of honest reporting of illicit drug use and other sensitive behaviors. Less sensitive items are administered by interviewers using computer-assisted personal interviewing.
The 2013 NSDUH continued to employ a State-based design with an independent, multistage area probability sample within each State and the District of Columbia. The eight States with the largest population (which together account for about half of the total U.S. population aged 12 or older) are designated as large sample States (California, Florida, Illinois, Michigan, New York, Ohio, Pennsylvania, and Texas) and have a sample size of about 3,600 each. For the remaining 42 States and the District of Columbia, the sample size is about 900 per State. In all States and the District of Columbia, the design oversampled youths and young adults; each State's sample was approximately equally distributed among three age groups: 12 to 17 years, 18 to 25 years, and 26 years or older.
Nationally, screening was completed at 160,325 addresses, and 67,838 completed interviews were obtained. The survey was conducted from January through December 2013. Weighted response rates for household screening and for interviewing were 83.9 and 71.7 percent, respectively. See Appendix B for more information on NSDUH response rates.
Trend analysis using NSDUH data is limited to 2002 to 2013, even though the survey has been conducted since 1971. Because of the change in interviewing method in 1999, the estimates from the pre-1999 surveys are not comparable with estimates from the current CAI-based surveys. Although the design of the 2002 through 2012 NSDUHs is similar to the design of the 1999 through 2001 surveys, methodological differences affect the comparability of the 2002 to 2013 estimates with estimates from prior surveys. The most important change was the addition of a $30 incentive in 2002. Also, the name of the survey was changed in 2002, from the National Household Survey on Drug Abuse (NHSDA) to the current name. Improved data collection quality control procedures were introduced in the survey starting in 2001, and updated population data from the 2000 decennial census were incorporated into the sample weights starting with the 2002 estimates. Analyses of the effects of these factors on NSDUH estimates have shown that 2002 and later data should not be compared with 2001 and earlier data from the survey series to assess changes over time. Appendix C of the 2004 NSDUH report on national findings discusses this in more detail (Office of Applied Studies, 2005).
Because of changes in the questionnaire, estimates for methamphetamine, stimulants, and psychotherapeutics in this report should not be compared with corresponding estimates presented in previous reports for data years prior to 2007. Estimates for 2002 to 2006 for these drug categories in this report, as well as in the 2007 and 2008 reports, incorporate statistical adjustments that enable year-to-year comparisons to be made over the period from 2002 to 2013.
The calculation of NSDUH person-level weights includes a calibration step that results in weights that are consistent with population control totals obtained from the U.S. Census Bureau (see Section A.3.3 in Appendix A). These control totals are based on the most recently available decennial census; the Census Bureau updates these control totals annually to account for population changes after the census. For the analysis weights in the 2002 through 2010 NSDUHs, the control totals were derived from the 2000 census data; starting with the 2011 NSDUH weights, the control totals were based on data from the 2010 census. This shift to the 2010 census data could affect comparisons between substance use estimates for 2011 onward and those from prior years. Analyses of the impact of this change for the 2011 NSDUH weights show that estimates of the number of substance users for some demographic groups were substantially affected, but percentages of substance users within these groups (i.e., rates) were not. Details for this investigation are provided in Section B.4.3 in Appendix B of the 2011 national findings report for NSDUH (CBHSQ, 2012b). This change in control totals does not affect comparisons between 2012 and 2013 because the control totals for each of these years were based on the 2010 census. However, some trends between 2013 and years prior to 2011 may need to be interpreted with caution because of differences in how the control totals for each of these years were developed.
This report has separate chapters that discuss findings on the use of illicit drugs; use of alcohol; use of tobacco products; initiation of substance use; prevention-related issues; and substance dependence, abuse, and treatment. A final chapter discusses key findings on trends in substance use among youths and young adults, including comparisons with other survey results. The data and findings described in this report are based on a comprehensive set of tables, referred to as "detailed tables," that include population estimates (e.g., numbers of drug users), rates (e.g., percentages of the population using drugs), and standard errors of estimates. These tables are available separately at https://www.samhsa.gov/data/. In addition, the tables are accompanied by a glossary that covers key definitions used in this report and in the detailed tables. Appendices in this report describe the survey (Appendix A), technical details on the statistical methods and measurement (Appendix B), and other sources of related data (Appendix C). A list of references cited in the report (Appendix D) and a list of contributors to this report (Appendix E) also are provided.
Text, figures, and detailed tables present prevalence measures for the population in terms of both the number of persons and the percentage of the population and by lifetime (i.e., ever used), past year, and past month use. Analyses focus primarily on past month use, also referred to as "current use." Where applicable, footnotes are included in tables and figures to indicate whether the 2013 estimates are significantly different from 2012 or earlier estimates. In addition, some estimates are based on data combined from two or more survey years to increase precision of the estimates; those estimates are annual averages based on multiple years of data.
During regular data collection and processing checks for the 2011 NSDUH, data errors were identified. These errors affected the data for Pennsylvania (2006 to 2010) and Maryland (2008 and 2009). Data and estimates for 2011 onward were not affected, including those for 2013. The errors had minimal impact on the national estimates. The only 2008 to 2011 estimates appreciably affected were estimates for the mid-Atlantic division and the Northeast region. Cases with erroneous data were removed from data files, and the remaining cases were reweighted to provide representative estimates. Therefore, some estimates for 2010 and other prior years in the 2013 national findings report and the 2013 detailed tables will differ from corresponding estimates found in some previous reports and tables. Further information is available in Section B.3.5 in Appendix B of this report.
All estimates presented in the report have met the criteria for statistical reliability (see Section B.2.2 in Appendix B). Estimates that do not meet these criteria are suppressed and do not appear in tables, figures, or text. Statistical tests have been conducted for all statements appearing in the text of the report that compare estimates between years or subgroups of the population. Suppressed estimates are not included in statistical tests of comparisons. For example, a statement that "whites had the highest prevalence" means that the rate among whites was higher than the rate among all nonsuppressed racial/ethnic subgroups, but not necessarily higher than the rate among a subgroup for which the estimate was suppressed. Unless explicitly stated that a difference is not statistically significant, all statements that describe differences are significant at the .05 level. Statistically significant differences are described using terms such as "higher," "lower," "increased," and "decreased." Statements that use terms such as "similar," "no difference," "same," or "remained steady" to describe the relationship between estimates denote that a difference is not statistically significant. When a set of estimates for survey years or population subgroups is presented without a statement of comparison, statistically significant differences among these estimates are not implied and testing may not have been conducted.
Data are presented for racial/ethnic groups based on guidelines for collecting and reporting race and ethnicity data (Office of Management and Budget [OMB], 1997). Because respondents could choose more than one racial group, a "two or more races" category is included for persons who reported more than one category (i.e., white, black or African American, American Indian or Alaska Native, Native Hawaiian, Guamanian or Chamorro, Samoan,2 Other Pacific Islander, Asian, Other). Respondents choosing more than one category from among Native Hawaiian, Guamanian or Chamorro, Samoan, and Other Pacific Islander but no other categories are classified as being in the "Native Hawaiian or Other Pacific Islander" category instead of the "two or more races" category. Except for the "Hispanic or Latino" group, the racial/ethnic groups include only non-Hispanics. The category "Hispanic or Latino" includes Hispanics of any race.
Data in this report also are presented for four U.S. geographic regions as defined by the U.S. Census Bureau (Figure 1.1). Other geographic comparisons also are made based on county type, a variable that reflects different levels of urbanicity and metropolitan area inclusion of counties. This county classification was originally developed and subsequently updated by the U.S. Department of Agriculture (Butler & Beale, 1994). All U.S. counties and county equivalents were grouped based on revised definitions of metropolitan statistical areas (MSAs) and definitions of micropolitan statistical areas as defined by the OMB in June 2003 (OMB, 2003). Large metropolitan areas have a population of 1 million or more. Small metropolitan areas have a population of fewer than 1 million. Nonmetropolitan areas are outside of MSAs. Counties in nonmetropolitan areas are further classified based on the number of people in the county who live in an urbanized area, as defined by the Census Bureau at the subcounty level. "Urbanized" counties have a population of 20,000 or more in urbanized areas, "less urbanized" counties have at least 2,500 but fewer than 20,000 population in urbanized areas, and "completely rural" counties have populations of fewer than 2,500 in urbanized areas. Additional details about this county type definition are included in the glossary that accompanies the 2013 detailed tables.
Below is a map of the United States. Click here for the text describing this map.
Figure 1.1 U.S. Census Bureau Regions

Other reports using the 2013 NSDUH data and focusing on specific topics of interest will be made available on SAMHSA's Web site. In particular, detailed estimates on mental health will be released later in 2014 in a separate report: Results from the 2013 National Survey on Drug Use and Health: Mental Health Findings. State-level estimates for substance use and mental health for 2012-2013 are scheduled to be released later this year as well.
The detailed tables, other descriptive reports and in-depth analytic reports focusing on specific issues or populations, and methodological information on NSDUH are all available at https://www.samhsa.gov/data/. In addition, CBHSQ makes public use data files available through the Substance Abuse and Mental Health Data Archive (SAMHDA) at http://www.datafiles.samhsa.gov. Currently, files are available from the 1979 to 2012 surveys. The 2013 NSDUH public use file will be available by the end of 2014. CBHSQ also makes confidential restricted-use data available in two ways. Restricted-use data, including State codes and other detailed variables, can be included in tables as part of the online Restricted-use Data Analysis System (R-DAS). In the R-DAS, data are not available for downloading, but estimates can be generated by State and other restricted variables that are specified by the data user. Estimates that are generated by the R-DAS do not require any further review for protection of respondent confidentiality. CBHSQ also makes restricted-use microdata files available through a data portal on the SAMHDA Web site. More details on both of these programs are available at http://www.datafiles.samhsa.gov.
The National Survey on Drug Use and Health (NSDUH) obtains information on nine categories of illicit drug use: use of marijuana, cocaine, heroin, hallucinogens, and inhalants, as well as the nonmedical use of prescription-type pain relievers, tranquilizers, stimulants, and sedatives. In these categories, hashish is included with marijuana, and crack is considered a form of cocaine. Several drugs are grouped under the hallucinogens category, including LSD, PCP, peyote, mescaline, psilocybin mushrooms, and "Ecstasy" (MDMA). Inhalants include a variety of substances, such as nitrous oxide, amyl nitrite, cleaning fluids, gasoline, spray paint, other aerosol sprays, and glue. Respondents are asked to report use of inhalants to get high but not to report times when they accidentally inhaled a substance.
The four categories of prescription-type drugs (pain relievers, tranquilizers, stimulants, and sedatives) cover numerous medications that currently are or have been available by prescription. They also include drugs within these groupings that originally were prescription medications but currently may be manufactured and distributed illegally, such as methamphetamine, which is included under stimulants. Respondents are asked to report only "nonmedical" use of these drugs, defined as use without a prescription of the individual's own or simply for the experience or feeling the drugs caused. Use of over-the-counter drugs and legitimate use of prescription drugs are not included. NSDUH reports combine the four prescription-type drug groups into a category referred to as "psychotherapeutics."
Estimates of "illicit drug use" reported from NSDUH reflect the use of any of the nine drug categories listed above. Use of alcohol and tobacco products, while illegal for youths, is not included in these estimates, but is discussed in Chapters 3 and 4.
Below is a bar graph. Click here for the text describing this graph.
Figure 2.1 Past Month Illicit Drug Use among Persons Aged 12 or Older: 2013

1 Illicit Drugs include marijuana/hashish, cocaine (including crack), heroin, hallucinogens, inhalants, or prescription-type psychotherapeutics used nonmedically.
Below is a line graph. Click here for the text describing this graph.
Figure 2.2 Past Month Use of Selected Illicit Drugs among Persons Aged 12 or Older: 2002-2013

+ Difference between this estimate and the 2013 estimate is statistically significant at the .05 level.
Below is a line graph. Click here for the text describing this graph.
Figure 2.3 Past Month Nonmedical Use of Types of Psychotherapeutic Drugs among Persons Aged 12 or Older: 2002-2013

+ Difference between this estimate and the 2013 estimate is statistically significant at the .05 level.
Below is a line graph. Click here for the text describing this graph.
Figure 2.4 Past Month and Past Year Heroin Use among Persons Aged 12 or Older: 2002-2013

+ Difference between this estimate and the 2013 estimate is statistically significant at the .05 level.
Below is a bar graph. Click here for the text describing this graph.
Figure 2.5 Past Month Illicit Drug Use among Persons Aged 12 or Older, by Age: 2012 and 2013

+ Difference between this estimate and the 2013 estimate is statistically significant at the .05 level.
Below is a line graph. Click here for the text describing this graph.
Figure 2.6 Past Month Illicit Drug Use among Persons Aged 12 or Older, by Age: 2002-2013

+ Difference between this estimate and the 2013 estimate is statistically significant at the .05 level.
Below is a line graph. Click here for the text describing this graph.
Figure 2.7 Past Month Use of Selected Illicit Drugs among Youths Aged 12 to 17: 2002-2013

+ Difference between this estimate and the 2013 estimate is statistically significant at the .05 level.
Below is a bar graph. Click here for the text describing this graph.
Figure 2.8 Past Month Use of Selected Illicit Drugs among Youths Aged 12 to 17: 2013

Note: The prevalence of past month cocaine use among youths aged 12 or 13 rounds to less than 0.1 percent and is not shown.
Below is a line graph. Click here for the text describing this graph.
Figure 2.9 Past Month Use of Selected Illicit Drugs among Young Adults Aged 18 to 25: 2002-2013

+ Difference between this estimate and the 2013 estimate is statistically significant at the .05 level.
Below is a line graph. Click here for the text describing this graph.
Figure 2.10 Past Month Illicit Drug Use among Adults Aged 50 to 64: 2002-2013

+ Difference between this estimate and the 2013 estimate is statistically significant at the .05 level.
Below is a line graph. Click here for the text describing this graph.
Figure 2.11 Past Month Marijuana Use among Youths Aged 12 to 17, by Gender: 2002-2013

+ Difference between this estimate and the 2013 estimate is statistically significant at the .05 level.
Below is a line graph. Click here for the text describing this graph.
Figure 2.12 Past Month Illicit Drug Use among Persons Aged 12 or Older, by Race/Ethnicity: 2002-2013

+ Difference between this estimate and the 2013 estimate is statistically significant at the .05 level.
Note: Sample sizes for American Indians or Alaska Natives, Native Hawaiians or Other Pacific Islanders, and persons of two or more races were too small for reliable trend presentation for these groups.
Below is a bar graph. Click here for the text describing this graph.
Figure 2.13 Past Month Illicit Drug Use among Persons Aged 18 or Older, by Employment Status: 2012 and 2013

+ Difference between this estimate and the 2013 estimate is statistically significant at the .05 level.
1 The Other Employment category includes students, persons keeping house or caring for children full time, retired or disabled persons, or other persons not in the labor force.
Below is a bar graph. Click here for the text describing this graph.
Figure 2.14 Past Month Illicit Drug Use among Persons Aged 12 or Older, by County Type: 2013

Below is a line graph. Click here for the text describing this graph.
Figure 2.15 Daily or Almost Daily Marijuana Use in the Past Year and Past Month among Persons Aged 12 or Older: 2002-2013

+ Difference between this estimate and the 2013 estimate is statistically significant at the .05 level.
Below is a pie graph. Click here for the text describing this graph.
Figure 2.16 Source Where Pain Relievers Were Obtained for Most Recent Nonmedical Use among Past Year Users Aged 12 or Older: 2012-2013

1 The Other category includes the sources "Wrote Fake Prescription," "Stole from Doctor's Office/Clinic/Hospital/Pharmacy," and "Some Other Way."
Note: The percentages do not add to 100 percent due to rounding.
The National Survey on Drug Use and Health (NSDUH) includes questions about the recency and frequency of consumption of alcoholic beverages, such as beer, wine, whiskey, brandy, and mixed drinks. A "drink" is defined as a can or bottle of beer, a glass of wine or a wine cooler, a shot of liquor, or a mixed drink with liquor in it. Times when the respondent only had a sip or two from a drink are not considered to be consumption. For this report, estimates for the prevalence of alcohol use are reported primarily at three levels defined for both males and females and for all ages as follows:
Current (past month) use - At least one drink in the past 30 days.
Binge use - Five or more drinks on the same occasion (i.e., at the same time or within a couple of hours of each other) on at least 1 day in the past 30 days.
Heavy use - Five or more drinks on the same occasion on each of 5 or more days in the past 30 days.
These levels are not mutually exclusive categories of use; heavy use is included in estimates of binge and current use, and binge use is included in estimates of current use.
This chapter is divided into two main sections. Section 3.1 describes trends and patterns of alcohol use among the population aged 12 or older. Section 3.2 is concerned particularly with the use of alcohol by persons aged 12 to 20. These persons are under the legal drinking age in all 50 States and the District of Columbia.
Below is a bar graph. Click here for the text describing this graph.
Figure 3.1 Current, Binge, and Heavy Alcohol Use among Persons Aged 12 or Older, by Age: 2013

Note: The past month binge alcohol use estimate for 12 or 13 year olds was 0.8 percent, and the past month heavy alcohol use estimate was 0.1 percent.
Below is a line graph. Click here for the text describing this graph.
Figure 3.2 Binge Alcohol Use among Adults Aged 18 to 25, by Gender: 2002-2013

+ Difference between this estimate and the 2013 estimate is statistically significant at the .05 level.
Below is a bar graph. Click here for the text describing this graph.
Figure 3.3 Current, Binge, and Heavy Alcohol Use among Persons Aged 12 or Older, by Race/Ethnicity: 2013

Below is a line graph. Click here for the text describing this graph.
Figure 3.4 Binge Alcohol Use among Adults Aged 18 to 22, by College Enrollment: 2002-2013

+ Difference between this estimate and the 2013 estimate is statistically significant at the .05 level.
Below is a bar graph. Click here for the text describing this graph.
Figure 3.5 Driving Under the Influence of Alcohol in the Past Year among Persons Aged 12 or Older: 2002-2013

+ Difference between this estimate and the 2013 estimate is statistically significant at the .05 level.
Below is a bar graph. Click here for the text describing this graph.
Figure 3.6 Driving Under the Influence of Alcohol in the Past Year among Persons Aged 16 or Older, by Age: 2013

Below is a line graph. Click here for the text describing this graph.
Figure 3.7 Current Alcohol Use among Persons Aged 12 to 20, by Age: 2002-2013

+ Difference between this estimate and the 2013 estimate is statistically significant at the .05 level.
Below is a bar graph. Click here for the text describing this graph.
Figure 3.8 Current, Binge, and Heavy Alcohol Use among Persons Aged 12 to 20, by Gender: 2013

The National Survey on Drug Use and Health (NSDUH) includes a series of questions about the use of tobacco products, including cigarettes, chewing tobacco, snuff, cigars, and pipe tobacco. Cigarette use is defined as smoking "part or all of a cigarette." For analytic purposes, data for chewing tobacco and snuff are combined and termed "smokeless tobacco."
Below is a line graph. Click here for the text describing this graph.
Figure 4.1 Past Month Tobacco Use among Persons Aged 12 or Older: 2002-2013

+ Difference between this estimate and the 2013 estimate is statistically significant at the .05 level.
Below is a line graph. Click here for the text describing this graph.
Figure 4.2 Past Month Tobacco Use among Youths Aged 12 to 17: 2002-2013

+ Difference between this estimate and the 2013 estimate is statistically significant at the .05 level.
Below is a bar graph. Click here for the text describing this graph.
Figure 4.3 Past Month Cigarette Use among Persons Aged 12 or Older, by Age: 2013

Below is a line graph. Click here for the text describing this graph.
Figure 4.4 Past Month Cigarette Use among Youths Aged 12 to 17, by Gender: 2002-2013

+ Difference between this estimate and the 2013 estimate is statistically significant at the .05 level.
Below is a line graph. Click here for the text describing this graph.
Figure 4.5 Past Month Cigarette Use among Women Aged 15 to 44, by Pregnancy Status: Combined Years 2002-2003 to 2012-2013

+ Difference between this estimate and the 2012-2013 estimate is statistically significant at the .05 level.
Below is a line graph. Click here for the text describing this graph.
Figure 4.6 Past Month Smokers of One or More Packs of Cigarettes per Day among Daily Smokers, by Age Group: 2002-2013

+ Difference between this estimate and the 2013 estimate is statistically significant at the .05 level.
Estimates of substance use initiation (also known as incidence or first-time use) are often considered leading indicators that can be used to assess the volume of new users by drug or drug category, track emerging patterns of use, and forecast the associated treatment needs in various population subgroups. These estimates can also be useful to target prevention efforts and evaluate prevention programs.
With its large sample size and oversampling of youths aged 12 to 17 and young adults aged 18 to 25, the National Survey on Drug Use and Health (NSDUH) provides estimates of recent (i.e., past year) initiation of use of illicit drugs, tobacco, and alcohol based on reported age and on year and month at first use. Recent initiates are defined as those who reported use of a particular substance for the first time within 12 months preceding the date of interview. There is a caveat to the past year initiation measure worth mentioning. Because survey respondents are aged 12 or older, the past year initiation estimates reflect only a portion of the initiation that occurred at age 11 and none of the initiation that occurred at age 10 or younger. This underestimation primarily affects estimates of initiation for cigarettes, alcohol, and inhalants because they tend to be initiated at a younger age than other substances. See Section B.4.1 in Appendix B for further discussion of the methods and bias in initiation estimates.
This chapter includes estimates of the number and rate of past year initiation of illicit drug, tobacco, and alcohol use among the total population aged 12 or older and by selected age and gender categories from the 2013 NSDUH, comparing with prior years. Also included are initiation estimates that pertain to persons at risk for initiation. Persons at risk for initiation of use of a particular substance are those who never used the substance in their lifetime plus those who used that substance for the first time in the 12 months prior to the interview. In other words, persons at risk are those who had never used as of 12 months prior to the interview date. Some analyses are based on the age at the time of interview, and others focus on the age at the time of first substance use. Readers need to be aware of these alternative estimation approaches when interpreting NSDUH incidence estimates and pay close attention to the approach used in each situation. Titles and notes on figures and associated detailed tables document which method applies.
For trend measurement, initiation estimates for each year (2002 to 2013) are produced independently based on the data from the survey conducted that year. Estimates of trends in incidence based on longer recall periods have not been considered because of concerns about their validity (Gfroerer, Hughes, Chromy, Heller, & Packer, 2004).
Regarding the age at first use estimates, means, as measures of central tendency, are heavily influenced by the presence of extreme values in the data for persons aged 12 or older. To reduce the effect of extreme values, the mean age at initiation was calculated for persons aged 12 to 49, leaving out those few respondents who were past year initiates at age 50 or older. Including data from initiates aged 26 to 49 in this broad age group also can cause instability of estimates of the mean age at initiation among persons aged 12 to 49, but this effect is less than that of including data from initiates aged 50 or older. Nevertheless, caution is needed in interpreting these trends for persons aged 12 to 49. Section B.4.1 in Appendix B also discusses this issue. Note, however, that this constraint affects only the estimates of mean age at initiation. Other estimates in this chapter, including the numbers and percentages of past year initiates, are not affected by extreme ages at initiation and therefore are reported for all persons aged 12 or older.
Another important consideration in examining incidence estimates across different drug categories is that substance users typically initiate use of different substances at different times in their lives. Thus, the estimates for past year initiation of each specific illicit drug cannot be added to obtain the total number of overall illicit drug initiates because some of the initiates previously had used other drugs. The initiation estimate for any illicit drug represents the past year initiation of use of a specific drug that was not preceded by use of other illicit drugs. For example, a respondent who reported initiating marijuana use in the past 12 months is counted as a marijuana initiate. The same respondent also can be counted as an illicit drug initiate with marijuana as the first drug only if his or her marijuana use initiation was not preceded by use of any other drug (cocaine, heroin, hallucinogens, inhalants, pain relievers, tranquilizers, stimulants, or sedatives).4 In addition, past year initiates of lysergic acid diethylamide (LSD), phencyclidine (PCP), or Ecstasy use are counted as past year initiates of any hallucinogen use only if they had not previously used other hallucinogens. Similarly, past year initiates of crack cocaine, OxyContin®, or methamphetamine use are counted as past year initiates for the broader category (i.e., any cocaine, pain relievers, or stimulants, respectively) only if they did not report previous use for the broader category.
Below is a pie graph. Click here for the text describing this graph.
Figure 5.1 First Specific Drug Associated with Initiation of Illicit Drug Use among Past Year Illicit Drug Initiates Aged 12 or Older: 2013

Note: The percentages do not add to 100 percent due to rounding or because a small number of respondents initiated multiple drugs on the same day. The first specific drug refers to the one that was used on the occasion of first-time use of any illicit drug.
Below is a bar graph. Click here for the text describing this graph.
Figure 5.2 Past Year Initiates of Specific Illicit Drugs among Persons Aged 12 or Older: 2013

Note: Numbers refer to persons who used a specific drug for the first time in the past year, regardless of whether initiation of other drug use occurred prior to the past year.
Below is a bar graph. Click here for the text describing this graph.
Figure 5.3 Mean Age at First Use for Specific Illicit Drugs among Past Year Initiates Aged 12 to 49: 2013

Below is a line graph. Click here for the text describing this graph.
Figure 5.4 Past Year Marijuana Initiates among Persons Aged 12 or Older and Mean Age at First Use of Marijuana among Past Year Marijuana Initiates Aged 12 to 49: 2002-2013

+ Difference between this estimate and the 2013 estimate is statistically significant at the .05 level.
1 Mean-age-at-first-use estimates are for past year initiates aged 12 to 49.
Below is a line graph. Click here for the text describing this graph.
Figure 5.5 Past Year Hallucinogen Initiates among Persons Aged 12 or Older: 2002-2013

+ Difference between this estimate and the 2013 estimate is statistically significant at the .05 level.
Below is a line graph. Click here for the text describing this graph.
Figure 5.6 Past Year Nonmedical Psychotherapeutic Initiates among Persons Aged 12 or Older: 2002-2013

+ Difference between this estimate and the 2013 estimate is statistically significant at the .05 level.
Below is a line graph. Click here for the text describing this graph.
Figure 5.7 Past Year Methamphetamine Initiates among Persons Aged 12 or Older and Mean Age at First Use of Methamphetamine among Past Year Methamphetamine Initiates Aged 12 to 49: 2002-2013

+ Difference between this estimate and the 2013 estimate is statistically significant at the .05 level.
1 Mean-age-at-first-use estimates are for past year initiates aged 12 to 49.
Below is a stacked bar graph. Click here for the text describing this graph.
Figure 5.8 Past Year Cigarette Initiates among Persons Aged 12 or Older, by Age at First Use: 2002-2013

+ Difference between this estimate and the 2013 estimate is statistically significant at the .05 level.
Below is a line graph. Click here for the text describing this graph.
Figure 5.9 Past Year Cigarette Initiation among Youths Aged 12 to 17 Who Had Never Smoked Prior to the Past Year, by Gender: 2002-2013

+ Difference between this estimate and the 2013 estimate is statistically significant at the .05 level.
Below is a line graph. Click here for the text describing this graph.
Figure 5.10 Past Year Specific Tobacco Product Initiates among Persons Aged 12 or Older: 2002-2013

+ Difference between this estimate and the 2013 estimate is statistically significant at the .05 level.
Research has shown that substance use by adolescents can often be prevented through interventions involving risk and protective factors associated with the onset or escalation of use (Catalano, Hawkins, Berglund, Pollard, & Arthur, 2002). Risk and protective factors include variables that operate at different stages of development and reflect different domains of influence, including the individual, family, peer, school, community, and societal levels (Hawkins, Catalano, & Miller, 1992; Robertson, David, & Rao, 2003). Interventions to prevent substance use generally are designed to ameliorate the influence of risk factors and enhance the effectiveness of protective factors.
The National Survey on Drug Use and Health (NSDUH) includes questions for youths aged 12 to 17 to measure the risk and protective factors that may affect the likelihood that they will engage in substance use. This chapter presents findings on youth prevention-related measures. Where applicable, findings from 2013 are compared with estimates from prior years since 2002. Included in this chapter are measures of the perceived risk of substance use (cigarettes, alcohol, and specific illicit drugs), perceived availability of substances (including being approached by someone selling drugs), perceived parental disapproval of youth substance use, attitudes about peer substance use, involvement in fighting and delinquent behavior, religious involvement and beliefs, exposure to substance use prevention messages and programs, and parental involvement. Also presented are findings on the associations between selected measures of risk and protective factors and substance use from NSDUH. However, the cross-sectional nature of these data precludes making any causal connections between these risk and protective factors and substance use.
One factor that can influence whether youths will use tobacco, alcohol, or illicit drugs is the extent to which they believe these substances might cause them harm. NSDUH respondents were asked how much they thought people risk harming themselves physically and in other ways when they use various substances in certain amounts or frequencies. Response choices for these items were "great risk," "moderate risk," "slight risk," or "no risk."
Below is a bar graph. Click here for the text describing this graph.
Figure 6.1 Past Month Binge Drinking and Marijuana Use among Youths Aged 12 to 17, by Perceptions of Risk: 2013

Below is a line graph. Click here for the text describing this graph.
Figure 6.2 Perceived Great Risk of Marijuana Use among Youths Aged 12 to 17: 2002-2013

+ Difference between this estimate and the 2013 estimate is statistically significant at the .05 level.
Below is a line graph. Click here for the text describing this graph.
Figure 6.3 Perceived Great Risk of Cigarette and Alcohol Use among Youths Aged 12 to 17: 2002-2013

+ Difference between this estimate and the 2013 estimate is statistically significant at the .05 level.
Below is a line graph. Click here for the text describing this graph.
Figure 6.4 Perceived Great Risk of Use of Selected Illicit Drugs Once or Twice a Week among Youths Aged 12 to 17: 2002-2013

+ Difference between this estimate and the 2013 estimate is statistically significant at the .05 level.
Below is a line graph. Click here for the text describing this graph.
Figure 6.5 Perceived Availability of Selected Illicit Drugs among Youths Aged 12 to 17: 2002-2013

+ Difference between this estimate and the 2013 estimate is statistically significant at the .05 level.
Below is a line graph. Click here for the text describing this graph.
Figure 6.6 Exposure to Substance Use Prevention Messages and Programs among Youths Aged 12 to 17: 2002-2013

+ Difference between this estimate and the 2013 estimate is statistically significant at the .05 level.
1 Estimates are from youths aged 12 to 17 who were enrolled in school in the past year. Youths who were enrolled in school in the past year included those who were home schooled.
The National Survey on Drug Use and Health (NSDUH) includes a series of questions to assess the prevalence of substance use disorders (substance dependence or abuse) in the past 12 months. Substances include alcohol and illicit drugs, such as marijuana, cocaine, heroin, hallucinogens, inhalants, and the nonmedical use of prescription-type psychotherapeutic drugs. These questions are used to classify persons as dependent on or abusing specific substances based on criteria specified in the Diagnostic and Statistical Manual of Mental Disorders, 4th edition (DSM-IV) (American Psychiatric Association [APA], 1994).
The questions related to dependence ask about health and emotional problems associated with substance use, unsuccessful attempts to cut down on use, tolerance, withdrawal, reducing other activities to use substances, spending a lot of time engaging in activities related to substance use, or using the substance in greater quantities or for a longer time than intended. The questions on abuse ask about problems at work, home, and school; problems with family or friends; physical danger; and trouble with the law due to substance use. Dependence is considered to be a more severe substance use problem than abuse because it involves the psychological and physiological effects of tolerance and withdrawal.
This chapter provides estimates from the 2013 NSDUH of the prevalence and patterns of substance use disorders occurring in the past year and compares these estimates against the results from the 2002 through 2012 surveys. It also provides estimates of the prevalence and patterns of the receipt of treatment in the past year for problems related to substance use. This chapter concludes with a discussion of the need for and the receipt of treatment at specialty facilities for problems associated with substance use. Note that the terms "substance use disorders," "substance dependence or abuse," and "alcohol or illicit drug dependence or abuse" are used interchangeably.
Below is a stacked bar graph. Click here for the text describing this graph.
Figure 7.1 Substance Dependence or Abuse in the Past Year among Persons Aged 12 or Older: 2002-2013

+ Difference between this estimate and the 2013 estimate is statistically significant at the .05 level.
Note: Due to rounding, the stacked bar totals may not add to the overall total.
Below is a bar graph. Click here for the text describing this graph.
Figure 7.2 Specific Illicit Drug Dependence or Abuse in the Past Year among Persons Aged 12 or Older: 2013

Below is a line graph. Click here for the text describing this graph.
Figure 7.3 Illicit Drug Dependence or Abuse in the Past Year among Persons Aged 12 or Older: 2002-2013

+ Difference between this estimate and the 2013 estimate is statistically significant at the .05 level.
Below is a stacked bar graph. Click here for the text describing this graph.
Figure 7.4 Alcohol Dependence or Abuse in the Past Year among Adults Aged 21 or Older, by Age at First Use of Alcohol: 2013

Below is a line graph. Click here for the text describing this graph.
Figure 7.5 Alcohol and Illicit Drug Dependence or Abuse among Youths Aged 12 to 17: 2002-2013

+ Difference between this estimate and the 2013 estimate is statistically significant at the .05 level.
Below is a bar graph. Click here for the text describing this graph.
Figure 7.6 Substance Dependence or Abuse in the Past Year, by Age and Gender: 2013

Estimates described in this section refer to treatment received for illicit drug or alcohol use, or for medical problems associated with the use of illicit drugs or alcohol. This includes treatment received in the past year at any location, such as a hospital (inpatient), rehabilitation facility (outpatient or inpatient), mental health center, emergency room, private doctor's office, prison or jail, or a self-help group, such as Alcoholics Anonymous or Narcotics Anonymous. Persons could report receiving treatment at more than one location. Note that the definition of treatment in this section is different from the definition of specialty treatment described in Section 7.3. Specialty treatment includes treatment only at a hospital (inpatient), a rehabilitation facility (inpatient or outpatient), or a mental health center.
Individuals who reported receiving substance use treatment but were missing information on whether the treatment was specifically for alcohol use or illicit drug use were not counted in estimates of either illicit drug use treatment or alcohol use treatment; however, they were counted in estimates for "drug or alcohol use" treatment.
Below is a bar graph. Click here for the text describing this graph.
Figure 7.7 Locations Where Past Year Substance Use Treatment Was Received among Persons Aged 12 or Older: 2013

Below is a bar graph. Click here for the text describing this graph.
Figure 7.8 Substances for Which Most Recent Treatment Was Received in the Past Year among Persons Aged 12 or Older: 2013

Below is a bar graph. Click here for the text describing this graph.
Figure 7.9 Received Most Recent Treatment in the Past Year for the Use of Pain Relievers among Persons Aged 12 or Older: 2002-2013

+ Difference between this estimate and the 2013 estimate is statistically significant at the .05 level.
This section discusses the need for and receipt of treatment for a substance use problem at a "specialty" treatment facility. Specialty treatment is defined as treatment received at any of the following types of facilities: hospitals (inpatient only), drug or alcohol rehabilitation facilities (inpatient or outpatient), or mental health centers. It does not include treatment at an emergency room, private doctor's office, self-help group, prison or jail, or hospital as an outpatient. An individual is defined as needing treatment for an alcohol or drug use problem if he or she met the DSM-IV (APA, 1994) diagnostic criteria for alcohol or illicit drug dependence or abuse in the past 12 months or if he or she received specialty treatment for alcohol use or illicit drug use in the past 12 months.
In this section, an individual needing treatment for an illicit drug use problem is defined as receiving treatment for his or her drug use problem only if he or she reported receiving specialty treatment for illicit drug use in the past year. Thus, an individual who needed treatment for illicit drug use but received specialty treatment only for alcohol use in the past year or who received treatment for illicit drug use only at a facility not classified as a specialty facility was not counted as receiving treatment for illicit drug use. Similarly, an individual who needed treatment for an alcohol use problem was counted as receiving alcohol use treatment only if the treatment was received for alcohol use at a specialty treatment facility. Individuals who reported receiving specialty substance use treatment but were missing information on whether the treatment was specifically for alcohol use or drug use were not counted in estimates of specialty drug use treatment or in estimates of specialty alcohol use treatment; however, they were counted in estimates for "drug or alcohol use" treatment.
In addition to questions about symptoms of substance use problems that are used to classify respondents' need for treatment based on DSM-IV criteria, NSDUH includes questions asking respondents about their perceived need for treatment (i.e., whether they felt they needed treatment or counseling for illicit drug use or alcohol use). In this report, estimates for perceived need for treatment are discussed only for persons who were classified as needing treatment (based on DSM-IV criteria) but did not receive treatment at a specialty facility. Similarly, estimates for whether a person made an effort to get treatment are discussed only for persons who felt the need for treatment and did not receive it.
Below is a pie graph. Click here for the text describing this graph.
Figure 7.10 Past Year Perceived Need for and Effort Made to Receive Specialty Treatment among Persons Aged 12 or Older Needing But Not Receiving Treatment for Illicit Drug or Alcohol Use: 2013

Below is a bar graph. Click here for the text describing this graph.
Figure 7.11 Reasons for Not Receiving Substance Use Treatment among Persons Aged 12 or Older Who Needed and Made an Effort to Get Treatment But Did Not Receive Treatment and Felt They Needed Treatment: 2010-2013 Combined

Previous chapters in this report presented findings from the 2013 National Survey on Drug Use and Health (NSDUH) that describe trends and demographic differences for the incidence and prevalence of use for a variety of substances. In this chapter, comparisons are presented of NSDUH trend results with substance use results from other surveys of youths and young adults.
Conducted since 1971 and previously named the National Household Survey on Drug Abuse (NHSDA), the survey underwent several methodological improvements in 2002 that have affected prevalence estimates (see Chapter 1). As a result, the 2002 through 2013 estimates are not comparable with estimates from 2001 and earlier surveys. Therefore, the primary focus of this report is on comparisons of measures of substance use across subgroups of the U.S. population in 2013, changes between 2012 and 2013, and changes between 2002 and 2013. An important step in the analysis and interpretation of NSDUH or any other survey data is to compare the results with those from other data sources. This can be difficult because the other surveys typically have different purposes, definitions, and designs. Research has established that surveys of substance use and other sensitive topics often produce inconsistent results because of different methods that are used. Thus, it is important to understand that conflicting results often reflect differing methodologies, not incorrect results. Despite this limitation, comparisons can be very useful. Consistency across surveys can confirm or support conclusions about trends and patterns of use, and inconsistent results can point to areas for further study. Further discussion of this issue is included in Appendix C, along with descriptions of methods and results from other sources of substance use data.
Unfortunately, few additional data sources are available to compare with NSDUH results. One established source is Monitoring the Future (MTF), a study sponsored by the National Institute on Drug Abuse (NIDA). MTF surveys students in the 8th, 10th, and 12th grades in classrooms during the spring of each year. MTF also collects data by mail from a subsample of adults who had participated earlier in the study as 12th graders. Further details about MTF are available on the MTF Web site at http://www.monitoringthefuture.org/. Historically, NSDUH rates of youth substance use have been lower than those of MTF. Although the two surveys occasionally have shown different trends in youth substance use over a short time period, these two sources of youth behavior have shown very similar long-term trends in prevalence. NSDUH and MTF rates of substance use generally have been similar among young adults, and the two sources also have shown similar trends for this age group.
Another source of data on trends in the use of drugs among youths is the Youth Risk Behavior Survey (YRBS), sponsored by the Centers for Disease Control and Prevention (CDC). The YRBS interviews students in the 9th through 12th grades in classrooms every other year during February through May (Brener et al., 2013). The most recent survey was completed in 2013 (Kann et al., 2014). Generally, the YRBS has shown higher prevalence rates but similar trends when compared with NSDUH and MTF. However, trend comparisons between the YRBS and NSDUH or MTF can be less straightforward because of the different periodicity (i.e., biennially instead of annually) and ages covered, the limited number of drug use questions, and smaller sample size in the YRBS.
A comparison of NSDUH and MTF estimates among youths for 2002 to 2013 is shown in Tables 8.1 through 8.3 at the end of this chapter for several substances that are defined similarly in the two surveys. For comparison purposes, MTF data on 8th and 10th graders are combined to give an age range close to 12 to 17 years, the standard youth age group for NSDUH. Table C.1 in Appendix C provides comparisons according to the MTF definitions for youths who are in school. The NSDUH results in Tables 8.1 through 8.3 are remarkably consistent with MTF trends for youths, as discussed in the following paragraphs.
Both surveys showed decreases between 2002 and 2013 in the percentages of youths who used cocaine, Ecstasy, inhalants, alcohol, and cigarettes in the past month (Table 8.3). For youth alcohol and cigarette use in the past month, both surveys showed lower rates in 2013 compared with all other years from 2002 to 2012. Although the MTF rate has been consistently higher than the NSDUH rate because of methodological differences between the surveys, the relative changes over time have been similar. For example, NSDUH data for past month alcohol use showed a 15 percent decline between 2010 and 2013 (from 13.6 to 11.6 percent), and the MTF data showed a 16 percent decrease during those years (from 21.4 to 18.0 percent) (Figure 8.1).
Below is a line graph. Click here for the text describing this graph.
Figure 8.1 Past Month Alcohol Use among Youths in NSDUH and MTF: 2002-2013

MTF = Monitoring the Future; NSDUH = National Survey on Drug Use and Health.
+ Difference between this estimate and the 2013 estimate is statistically significant at the .05 level.
There have been instances where the two surveys showed differing trends from 1 year to the next, but these discrepancies usually "correct" themselves with 1 or 2 more years of data, pointing to the need to use caution in the interpretation of 1-year shifts in prevalence levels. For example, 2010 MTF data indicated a leveling or possible increase in current cigarette use among youths, in contrast to the 2010 NSDUH data, which showed a lower rate in 2010 compared with rates in 2002 to 2008. The 2012 and 2013 MTF estimates, however, showed a continuing decline, consistent with the NSDUH trend in youth smoking. Over the long term, the two surveys showed consistent decreases in the prevalence of smoking among youths (Figure 8.2). During the 4-year period from 2010 to 2013, NSDUH showed a 33 percent decline (from 8.4 to 5.6 percent) and MTF showed a 35 percent decline (from 10.4 to 6.8 percent) in current cigarette use.
Below is a line graph. Click here for the text describing this graph.
Figure 8.2 Past Month Cigarette Use among Youths in NSDUH and MTF: 2002-2013

MTF = Monitoring the Future; NSDUH = National Survey on Drug Use and Health.
+ Difference between this estimate and the 2013 estimate is statistically significant at the .05 level.
For current marijuana use, both surveys showed declines from 2002 to 2006 and increases from 2008 to 2011 (Figure 8.3). The estimate of current marijuana use was lower in NSDUH in 2012 than in 2011, but the MTF change was not statistically significant over that period. However, rates of current marijuana use remained similar between 2012 and 2013 in both NSDUH and MTF.
Below is a line graph. Click here for the text describing this graph.
Figure 8.3 Past Month Marijuana Use among Youths in NSDUH and MTF: 2002-2013

MTF = Monitoring the Future; NSDUH = National Survey on Drug Use and Health.
+ Difference between this estimate and the 2013 estimate is statistically significant at the .05 level.
NSDUH and MTF data showed generally consistent trends for past month use of Ecstasy, with decreases in use from 2002 to the middle of the decade, then increases in use from 2007 to 2010, declines between 2010 and 2012, and no change between 2012 and 2013. For past month use of cocaine, both surveys showed declines between 2013 and 2002 to 2008. Rates of past month use of inhalants also were lower in both surveys in 2013 than in 2002 to 2011, although NSDUH showed a continued decline from 2012 to 2013 that was not shown in MTF. For LSD, most rates of current use in 2002 to 2012 were similar to the rates in 2013 for both surveys.
NSDUH and MTF also collect data on perceived risk of harm. The extent to which youths believe that substances might cause them harm can influence whether or not they will use these substances. Declining levels of perceived risk among youths historically have been associated with subsequent increases in rates of use. Among youths aged 12 to 17, the percentage reporting in NSDUH that they thought there was a great risk of harm in smoking marijuana once or twice a week declined from 43.6 percent in 2012 to 39.5 percent in 2013. MTF data for combined 8th and 10th graders showed a similar decline in perceived great risk of harm of regular marijuana use over this time period, from 58.9 to 53.8 percent.
For the substances for which information on current use was collected in the YRBS, including alcohol, cigarettes, marijuana, and cocaine, the YRBS trend results between 2001 and 2013 were consistent with NSDUH and MTF (see the link for the Youth Online interactive data tables at http://www.cdc.gov/HealthyYouth/yrbs/; Grunbaum et al., 2002). YRBS data for the combined grades 9 through 12 showed decreases in past month alcohol use (47.1 percent in 20017 and 34.9 percent in 2013) and cigarette use (28.5 percent in 2001 and 15.7 percent in 2013). YRBS showed a decline in past month marijuana use between 2001 (23.9 percent) and 2007 (19.7 percent) and an increase between 2007 and 2013 (23.4 percent). This increase between 2007 and 2013 was consistent with the increase in MTF across that same period. The prevalence of current marijuana use also increased between 2007 and 2011 both for NSDUH (from 6.7 to 7.9 percent) and YRBS (from 19.7 to 23.1 percent). However, the prevalence in NSDUH among youths declined between 2011 and 2013, such that the rates in 2007 and 2013 were similar for NSDUH. All three surveys showed no significant change in rates of current marijuana use between their most recent pair of survey years (2012 and 2013 for NSDUH and MTF; 2011 and 2013 for YRBS).
Although changes in NSDUH survey methodology preclude direct comparisons of recent estimates with estimates before 2002, it is important to put the recent trends in context by reviewing longer term trends in use. NSDUH data (prior to the design changes in 1999 and 2002) on youths aged 12 to 17 and MTF data on high school seniors showed substantial increases in youth illicit drug use during the 1970s, reaching a peak in the late 1970s. Both surveys then showed declines throughout the 1980s until about 1992, when rates reached a low point. These trends were driven by the trend in marijuana use (Figure 8.4). With the start of annual data collection in NSDUH in 1991, along with the biennial YRBS and the annual 8th and 10th grade samples in MTF, trends among youths are well documented since the low point that occurred in the early 1990s. Although they employ different survey designs and cover different age groups, the three surveys are consistent in showing increasing rates of marijuana use during the early to mid-1990s, reaching a peak in the late 1990s (but lower than in the late 1970s). This peak in the late 1990s was followed by declines in use after the turn of the 21st century and fairly stable rates in the most recent years.
Below is a line graph. Click here for the text describing this graph.
Figure 8.4 Past Month Marijuana Use among Youths in NSDUH, MTF, and YRBS: 1971-2013

MTF = Monitoring the Future; NSDUH = National Survey on Drug Use and Health; YRBS = Youth Risk Behavior Survey.
Note: NSDUH data for youths aged 12 to 17 are not presented for 1999 to 2001 because of design changes in the survey. These design changes preclude direct comparisons of estimates from 2002 to 2013 with estimates prior to 1999.
As noted in Chapter 2 of this report, NSDUH data indicated that nonmedical use of prescription drugs among youths aged 12 to 17 in 2013 was the second most prevalent illicit drug use category, with marijuana being first. The most prevalent category of misused prescription drugs among youths in 2013 was pain relievers.
NSDUH and MTF both collect data on misuse of prescription drugs, but they use somewhat different definitions and questioning strategies. For example, NSDUH defines misuse as use of prescription drugs that were not prescribed for the respondent or use of these drugs only for the experience or feeling they caused; MTF defines misuse as use not under a doctor's orders. MTF also does not estimate overall prescription drug misuse. However, MTF asks questions about "narcotics other than heroin," a category that is similar in coverage to the pain reliever category in NSDUH. Also, MTF data on misuse of narcotics other than heroin are reported only for 12th graders because of concerns about the validity of estimates for 8th and 10th graders (Johnston, O'Malley, Bachman, Schulenberg, & Miech, 2014).
In addition, as has been the case with NSDUH trends, methodological changes in MTF have sometimes resulted in discontinuities. For the data on narcotics other than heroin, there was a questionnaire change in the 2002 MTF that resulted in increased reporting of misuse of narcotics other than heroin, such that estimates prior to 2002 are not strictly comparable with estimates for 2002 and beyond.
Figure 8.5 shows NSDUH data for past year misuse of pain relievers from 2002 to 2013 for youths aged 12 to 17 and MTF data for 12th graders. Both surveys showed lower rates of nonmedical use in 2013 compared with rates in 2002 to 2011. The rate of nonmedical use of pain relievers in 2013 in the past year among 12 to 17 year olds in NSDUH was 4.6 percent and ranged from 5.9 to 7.7 percent in 2002 to 2011. The rate in 2012 among 12 to 17 year olds in NSDUH also was lower than the rate in 2013. In MTF, the rate for nonmedical use of narcotics other than heroin in the past year was 7.1 percent in 2013 and ranged from 8.7 to 9.5 percent in 2002 to 2011. The rates among 12th graders did not differ from 2011 to 2012 and from 2012 to 2013; see Johnston, O'Malley, Bachman, and Schulenberg (2013) for a comparison of rates between 2011 and 2012.
Below is a line graph. Click here for the text describing this graph.
Figure 8.5 Past Year Nonmedical Pain Reliever Use among Youths in NSDUH and MTF: 2002-2013

MTF = Monitoring the Future; NSDUH = National Survey on Drug Use and Health.
+ Difference between this estimate and the 2013 estimate is statistically significant at the .05 level.
Note: Data for MTF are for "narcotics other than heroin."
MTF follow-up data on persons aged 19 to 24 provide the closest match on age to estimates for NSDUH young adults aged 18 to 25. As shown in Tables 8.4 to 8.6, data for young adults showed similar trends in NSDUH and MTF, although not as consistent as for the youth data. Potential reasons for differences from the data for youths are the relatively smaller MTF sample size for young adults and possible bias in the MTF sample due to noncoverage of school dropouts and a low overall response rate; the MTF response rate for young adults is affected by nonresponse by schools, by students in the 12th grade survey, and by young adults in the follow-up mail survey.
Both surveys showed an increase in past month marijuana use among young adults from 2008 to 2013 (from 16.6 to 19.1 percent in NSDUH; from 17.3 to 21.6 percent in MTF) (Table 8.6). Both surveys showed declines in past month cigarette use between 2002 and 2013, with NSDUH showing a decline from 40.8 to 30.6 percent and MTF showing a decline from 31.4 to 20.2 percent. Both surveys showed no significant change in rates of past month cigarette use among young adults between 2012 and 2013. There also was no significant change between 2012 and 2013 in the rate of current alcohol use among young adults in either survey. Both surveys showed declines in past year and past month cocaine use from 2002 to 2013, with no significant changes in rates between 2012 and 2013 (Tables 8.5 and 8.6, respectively). Similarly, past year Ecstasy use among young adults increased between 2007 and 2010 and remained steady in 2011 through 2013, according to both NSDUH and MTF.
As was the case for youths aged 12 to 17, NSDUH data indicated that nonmedical use of prescription drugs among young adults aged 18 to 25 in 2013 was the second most prevalent illicit drug use category (see Chapter 2). Both NSDUH and MTF indicated lower rates of past year nonmedical use of pain relievers in 2013 than in 2003 to 2010 among young adults (Figure 8.6). The rate of past year nonmedical use among young adults aged 18 to 25 in NSDUH for 2013 (8.8 percent) also was lower than the rate in 2002 and showed continued declines since 2010. Trend data for adults aged 19 to 24 in MTF showed similar rates in 2011 to 2013.
Below is a line graph. Click here for the text describing this graph.
Figure 8.6 Past Year Nonmedical Pain Reliever Use among Young Adults in NSDUH and MTF: 2002-2013

MTF = Monitoring the Future; NSDUH = National Survey on Drug Use and Health.
+ Difference between this estimate and the 2013 estimate is statistically significant at the .05 level.
Note: Data for MTF are for "narcotics other than heroin."
| Substance/Survey | 2002 | 2003 | 2004 | 2005 | 2006 | 2007 | 2008 | 2009 | 2010 | 2011 | 2012 | 2013 |
|---|---|---|---|---|---|---|---|---|---|---|---|---|
| MTF = Monitoring the Future; NSDUH = National Survey on Drug Use and Health; YRBS = Youth Risk Behavior Survey. -- Not available. NOTE: NSDUH data are for youths aged 12 to 17. Some 2006 to 2010 NSDUH estimates may differ from previously published estimates due to updates (see Section B.3 in Appendix B of this report). NOTE: MTF data are simple averages of estimates for 8th and 10th graders. MTF data for 8th and 10th graders are reported in Johnston et al. (2014), as are the MTF design effects used for variance estimation. NOTE: Statistical tests for the YRBS were conducted using the "Youth Online" tool at http://www.cdc.gov/HealthyYouth/yrbs/. Results of testing for statistical significance in this table may differ from published YRBS reports of change. a Difference between this estimate and 2013 estimate is statistically significant at the .05 level. Sources: SAMHSA, Center for Behavioral Health Statistics and Quality, National Survey on Drug Use and Health, 2002-2013. National Institute on Drug Abuse, Monitoring the Future Study, University of Michigan, 2002-2013. Centers for Disease Control and Prevention, Youth Risk Behavior Survey, 2003, 2005, 2007, 2009, 2011, and 2013. |
||||||||||||
| Marijuana | ||||||||||||
| NSDUH | 20.6a | 19.6a | 19.0a | 17.4 | 17.3 | 16.2 | 16.6 | 17.1 | 17.1 | 17.5a | 17.0 | 16.4 |
| MTF | 29.0a | 27.0 | 25.7 | 25.3 | 23.8a | 22.6a | 22.3a | 24.0a | 25.4 | 25.5 | 24.5a | 26.2 |
| YRBS | -- | 40.2 | -- | 38.4 | -- | 38.1 | -- | 36.8a | -- | 39.9 | -- | 40.7 |
| Cocaine | ||||||||||||
| NSDUH | 2.7a | 2.6a | 2.4a | 2.3a | 2.2a | 2.2a | 1.9a | 1.6a | 1.5a | 1.3a | 1.1 | 0.9 |
| MTF | 4.9a | 4.4a | 4.4a | 4.5a | 4.1a | 4.2a | 3.8a | 3.6a | 3.2 | 2.8 | 2.6 | 2.5 |
| YRBS | -- | 8.7a | -- | 7.6a | -- | 7.2a | -- | 6.4 | -- | 6.8a | -- | 5.5 |
| Ecstasy | ||||||||||||
| NSDUH | 3.3a | 2.4a | 2.1a | 1.6 | 1.9a | 1.8 | 2.1a | 2.3a | 2.5a | 2.4a | 2.0a | 1.5 |
| MTF | 5.5a | 4.3 | 3.6 | 3.4 | 3.5 | 3.8 | 3.4 | 3.9 | 4.9a | 4.6a | 3.5 | 3.8 |
| YRBS | -- | 11.1a | -- | 6.3 | -- | 5.8 | -- | 6.7 | -- | 8.2a | -- | 6.6 |
| LSD | ||||||||||||
| NSDUH | 2.7a | 1.6a | 1.2a | 1.1a | 0.9 | 0.8 | 1.1 | 1.0 | 0.9 | 0.9 | 1.0 | 0.9 |
| MTF | 3.8a | 2.8a | 2.3 | 2.2 | 2.2 | 2.3 | 2.3 | 2.4 | 2.4 | 2.3 | 2.0 | 2.1 |
| YRBS | -- | -- | -- | -- | -- | -- | -- | -- | -- | -- | -- | -- |
| Inhalants | ||||||||||||
| NSDUH | 10.5a | 10.7a | 11.0a | 10.5a | 10.1a | 9.6a | 9.3a | 9.3a | 8.3a | 7.5a | 6.5a | 5.3 |
| MTF | 14.4a | 14.3a | 14.9a | 15.1a | 14.7a | 14.6a | 14.3a | 13.6a | 13.3a | 11.6a | 10.9a | 9.8 |
| YRBS | -- | 12.1a | -- | 12.4a | -- | 13.3a | -- | 11.7a | -- | 11.4a | -- | 8.9 |
| Alcohol | ||||||||||||
| NSDUH | 43.4a | 42.9a | 42.0a | 40.6a | 40.4a | 39.5a | 38.6a | 38.4a | 35.4a | 34.5a | 32.4a | 30.8 |
| MTF | 57.0a | 55.8a | 54.1a | 52.1a | 51.0a | 50.3a | 48.6a | 47.9a | 47.0a | 44.6a | 41.8a | 40.0 |
| YRBS | -- | 74.9a | -- | 74.3a | -- | 75.0a | -- | 72.5a | -- | 70.8a | -- | 66.2 |
| Cigarettes | ||||||||||||
| NSDUH | 33.3a | 31.0a | 29.2a | 26.7a | 25.9a | 23.7a | 23.1a | 22.3a | 20.5a | 19.1a | 17.4a | 15.7 |
| MTF | 39.4a | 35.7a | 34.3a | 32.4a | 30.4a | 28.4a | 26.1a | 26.4a | 26.5a | 24.4a | 21.6a | 20.3 |
| YRBS | -- | 58.4a | -- | 54.3a | -- | 50.3a | -- | 46.3a | -- | 44.7a | -- | 41.1 |
| Substance/Survey | 2002 | 2003 | 2004 | 2005 | 2006 | 2007 | 2008 | 2009 | 2010 | 2011 | 2012 | 2013 |
|---|---|---|---|---|---|---|---|---|---|---|---|---|
| MTF = Monitoring the Future; NSDUH = National Survey on Drug Use and Health; YRBS = Youth Risk Behavior Survey. -- Not available. NOTE: NSDUH data are for youths aged 12 to 17. Some 2006 to 2010 NSDUH estimates may differ from previously published estimates due to updates (see Section B.3 in Appendix B of this report). NOTE: MTF data are simple averages of estimates for 8th and 10th graders. MTF data for 8th and 10th graders are reported in Johnston et al. (2014), as are the MTF design effects used for variance estimation. NOTE: Statistical tests for the YRBS were conducted using the "Youth Online" tool at http://www.cdc.gov/HealthyYouth/yrbs/. Results of testing for statistical significance in this table may differ from published YRBS reports of change. a Difference between this estimate and 2013 estimate is statistically significant at the .05 level. Sources: SAMHSA, Center for Behavioral Health Statistics and Quality, National Survey on Drug Use and Health, 2002-2013. National Institute on Drug Abuse, Monitoring the Future Study, University of Michigan, 2002-2013. Centers for Disease Control and Prevention, Youth Risk Behavior Survey, 2003, 2005, 2007, 2009, 2011, and 2013. |
||||||||||||
| Marijuana | ||||||||||||
| NSDUH | 15.8a | 15.0a | 14.5a | 13.3 | 13.2 | 12.5a | 13.1 | 13.7 | 14.0 | 14.2 | 13.5 | 13.4 |
| MTF | 22.5 | 20.5 | 19.7a | 19.4a | 18.5a | 17.5a | 17.4a | 19.3a | 20.6 | 20.7 | 19.7a | 21.3 |
| YRBS | -- | -- | -- | -- | -- | -- | -- | -- | -- | -- | -- | -- |
| Cocaine | ||||||||||||
| NSDUH | 2.1a | 1.8a | 1.6a | 1.7a | 1.6a | 1.5a | 1.2a | 1.0a | 1.0a | 0.9a | 0.7a | 0.5 |
| MTF | 3.2a | 2.8a | 2.9a | 2.9a | 2.6a | 2.7a | 2.4a | 2.2a | 1.9 | 1.7 | 1.6 | 1.5 |
| YRBS | -- | -- | -- | -- | -- | -- | -- | -- | -- | -- | -- | -- |
| Ecstasy | ||||||||||||
| NSDUH | 2.2a | 1.3a | 1.2a | 1.0 | 1.2a | 1.3a | 1.4a | 1.7a | 1.9a | 1.7a | 1.2 | 0.9 |
| MTF | 3.9a | 2.6 | 2.1 | 2.2 | 2.1 | 2.5 | 2.3 | 2.5 | 3.6a | 3.1a | 2.1 | 2.4 |
| YRBS | -- | -- | -- | -- | -- | -- | -- | -- | -- | -- | -- | -- |
| LSD | ||||||||||||
| NSDUH | 1.3a | 0.6 | 0.6 | 0.6 | 0.4a | 0.5 | 0.7 | 0.6 | 0.6 | 0.6 | 0.6 | 0.6 |
| MTF | 2.1a | 1.5 | 1.4 | 1.4 | 1.3 | 1.5 | 1.6 | 1.5 | 1.6 | 1.5 | 1.3 | 1.4 |
| YRBS | -- | -- | -- | -- | -- | -- | -- | -- | -- | -- | -- | -- |
| Inhalants | ||||||||||||
| NSDUH | 4.4a | 4.5a | 4.6a | 4.5a | 4.4a | 3.9a | 4.0a | 3.9a | 3.6a | 3.3a | 2.6a | 1.9 |
| MTF | 6.8a | 7.1a | 7.8a | 7.8a | 7.8a | 7.5a | 7.4a | 7.1a | 6.9a | 5.8a | 5.2a | 4.4 |
| YRBS | -- | -- | -- | -- | -- | -- | -- | -- | -- | -- | -- | -- |
| Alcohol | ||||||||||||
| NSDUH | 34.6a | 34.3a | 33.9a | 33.3a | 33.0a | 31.9a | 31.0a | 30.5a | 28.7a | 27.8a | 26.3a | 24.6 |
| MTF | 49.4a | 48.3a | 47.5a | 45.3a | 44.7a | 44.1a | 42.3a | 41.6a | 40.7a | 38.4a | 36.1a | 34.6 |
| YRBS | -- | -- | -- | -- | -- | -- | -- | -- | -- | -- | -- | -- |
| Cigarettes | ||||||||||||
| NSDUH | 20.3a | 19.0a | 18.4a | 17.3a | 17.0a | 15.7a | 15.1a | 15.1a | 14.2a | 13.2a | 11.8a | 10.3 |
| MTF | -- | -- | -- | -- | -- | -- | -- | -- | -- | -- | -- | -- |
| YRBS | -- | -- | -- | -- | -- | -- | -- | -- | -- | -- | -- | -- |
| Substance/Survey | 2002 | 2003 | 2004 | 2005 | 2006 | 2007 | 2008 | 2009 | 2010 | 2011 | 2012 | 2013 |
|---|---|---|---|---|---|---|---|---|---|---|---|---|
| MTF = Monitoring the Future; NSDUH = National Survey on Drug Use and Health; YRBS = Youth Risk Behavior Survey. -- Not available. NOTE: NSDUH data are for youths aged 12 to 17. Some 2006 to 2010 NSDUH estimates may differ from previously published estimates due to updates (see Section B.3 in Appendix B of this report). NOTE: MTF data are simple averages of estimates for 8th and 10th graders. MTF data for 8th and 10th graders are reported in Johnston et al. (2014), as are the MTF design effects used for variance estimation. NOTE: Statistical tests for the YRBS were conducted using the "Youth Online" tool at http://www.cdc.gov/HealthyYouth/yrbs/. Results of testing for statistical significance in this table may differ from published YRBS reports of change. a Difference between this estimate and 2013 estimate is statistically significant at the .05 level. Sources: SAMHSA, Center for Behavioral Health Statistics and Quality, National Survey on Drug Use and Health, 2002-2013. National Institute on Drug Abuse, Monitoring the Future Study, University of Michigan, 2002-2013. Centers for Disease Control and Prevention, Youth Risk Behavior Survey, 2003, 2005, 2007, 2009, 2011, and 2013. |
||||||||||||
| Marijuana | ||||||||||||
| NSDUH | 8.2a | 7.9a | 7.6 | 6.8 | 6.7 | 6.7 | 6.7 | 7.4 | 7.4 | 7.9a | 7.2 | 7.1 |
| MTF | 13.1 | 12.3 | 11.2a | 10.9a | 10.4a | 10.0a | 9.8a | 11.2a | 12.4 | 12.4 | 11.8 | 12.5 |
| YRBS | -- | 22.4 | -- | 20.2a | -- | 19.7a | -- | 20.8a | -- | 23.1 | -- | 23.4 |
| Cocaine | ||||||||||||
| NSDUH | 0.6a | 0.6a | 0.5a | 0.6a | 0.4a | 0.4a | 0.4a | 0.3 | 0.2 | 0.3 | 0.1 | 0.2 |
| MTF | 1.4a | 1.1a | 1.3a | 1.3a | 1.3a | 1.1a | 1.0a | 0.9 | 0.8 | 0.8 | 0.7 | 0.7 |
| YRBS | -- | 4.1 | -- | 3.4 | -- | 3.3 | -- | 2.8 | -- | 3.0 | -- | -- |
| Ecstasy | ||||||||||||
| NSDUH | 0.5a | 0.4a | 0.3 | 0.3 | 0.3a | 0.3 | 0.4a | 0.5a | 0.5a | 0.4a | 0.3 | 0.2 |
| MTF | 1.6a | 0.9 | 0.8 | 0.8 | 1.0 | 0.9 | 1.0 | 1.0 | 1.5a | 1.1 | 0.8 | 0.9 |
| YRBS | -- | -- | -- | -- | -- | -- | -- | -- | -- | -- | -- | -- |
| LSD | ||||||||||||
| NSDUH | 0.2 | 0.2 | 0.2 | 0.1 | 0.1 | 0.1 | 0.2 | 0.1 | 0.2 | 0.1 | 0.1a | 0.2 |
| MTF | 0.7 | 0.6 | 0.6 | 0.6 | 0.6 | 0.6 | 0.6 | 0.5 | 0.7 | 0.6 | 0.4 | 0.6 |
| YRBS | -- | -- | -- | -- | -- | -- | -- | -- | -- | -- | -- | -- |
| Inhalants | ||||||||||||
| NSDUH | 1.2a | 1.3a | 1.2a | 1.2a | 1.3a | 1.2a | 1.1a | 1.0a | 1.1a | 0.9a | 0.8a | 0.5 |
| MTF | 3.1a | 3.2a | 3.5a | 3.2a | 3.2a | 3.2a | 3.1a | 3.0a | 2.8a | 2.5a | 2.1 | 1.8 |
| YRBS | -- | -- | -- | -- | -- | -- | -- | -- | -- | -- | -- | -- |
| Alcohol | ||||||||||||
| NSDUH | 17.6a | 17.7a | 17.6a | 16.5a | 16.7a | 16.0a | 14.7a | 14.8a | 13.6a | 13.3a | 12.9a | 11.6 |
| MTF | 27.5a | 27.6a | 26.9a | 25.2a | 25.5a | 24.7a | 22.4a | 22.7a | 21.4a | 20.0a | 19.3a | 18.0 |
| YRBS | -- | 44.9a | -- | 43.3a | -- | 44.7a | -- | 41.8a | -- | 38.7a | -- | 34.9 |
| Cigarettes | ||||||||||||
| NSDUH | 13.0a | 12.2a | 11.9a | 10.8a | 10.4a | 9.9a | 9.2a | 9.0a | 8.4a | 7.8a | 6.6a | 5.6 |
| MTF | 14.2a | 13.5a | 12.6a | 12.1a | 11.6a | 10.6a | 9.6a | 9.8a | 10.4a | 9.0a | 7.9a | 6.8 |
| YRBS | -- | 21.9a | -- | 23.0a | -- | 20.0a | -- | 19.5a | -- | 18.1 | -- | 15.7 |
| Substance/Survey | 2002 | 2003 | 2004 | 2005 | 2006 | 2007 | 2008 | 2009 | 2010 | 2011 | 2012 | 2013 |
|---|---|---|---|---|---|---|---|---|---|---|---|---|
| NSDUH = National Survey on Drug Use and Health; MTF = Monitoring the Future. -- Not available. NOTE: NSDUH data are for persons aged 18 to 25. Some 2006 to 2010 NSDUH estimates may differ from previously published estimates due to updates (see Section B.3 in Appendix B of this report). NOTE: MTF data were calculated for persons aged 19 to 24 using simple averages of modal age groups 19-20, 21-22, and 23-24 (source data at http://www.monitoringthefuture.org/pubs.html). Estimates may differ from those published previously due to rounding. For the 19 to 24 age group in the MTF data, significance tests were performed assuming independent samples between years an odd number of years apart because two distinct cohorts a year apart were monitored longitudinally at 2-year intervals. Although appropriate for comparisons of 2002, 2004, 2006, 2008, 2010, and 2012 estimates with 2013 estimates, this assumption results in conservative tests for comparisons of 2003, 2005, 2007, 2009, and 2011 data with 2013 estimates because it does not take into account covariances that are associated with repeated observations from the longitudinal samples. Estimates of covariances were not available. a Difference between this estimate and 2013 estimate is statistically significant at the .05 level. 1 MTF data are for "narcotics other than heroin." Sources: SAMHSA, Center for Behavioral Health Statistics and Quality, National Survey on Drug Use and Health, 2002-2013. National Institute on Drug Abuse, Monitoring the Future Study, University of Michigan, 2002-2013. |
||||||||||||
| Marijuana | ||||||||||||
| NSDUH | 53.8a | 53.9a | 52.8 | 52.4 | 52.5 | 50.9 | 50.8 | 52.6 | 51.4 | 51.9 | 52.2 | 51.9 |
| MTF | 56.1a | 56.4a | 55.6 | 54.4 | 53.8 | 53.9 | 53.0 | 53.8 | 53.2 | 53.1 | 53.0 | 53.3 |
| Cocaine | ||||||||||||
| NSDUH | 15.4a | 15.0a | 15.2a | 15.1a | 15.7a | 15.0a | 14.5a | 14.9a | 13.4a | 12.4 | 12.3 | 11.6 |
| MTF | 12.9a | 14.5a | 14.3a | 12.6a | 13.6a | 12.4a | 12.2a | 12.2a | 10.9a | 10.3a | 9.2 | 8.7 |
| Ecstasy | ||||||||||||
| NSDUH | 15.1a | 14.8a | 13.8a | 13.7a | 13.4 | 12.8 | 12.2 | 12.5 | 12.4 | 12.3 | 12.9 | 12.8 |
| MTF | 16.0a | 16.6a | 14.9a | 12.4a | 11.5 | 9.5 | 10.1 | 9.3 | 10.2 | 9.9 | 9.8 | 10.1 |
| LSD | ||||||||||||
| NSDUH | 15.9a | 14.0a | 12.1a | 10.5a | 9.0a | 7.3a | 6.6 | 6.9 | 6.4 | 6.0 | 5.9 | 6.5 |
| MTF | 13.9a | 13.8a | 10.4a | 7.9a | 6.7 | 5.9 | 5.6 | 5.3 | 5.7 | 5.4 | 5.3 | 5.7 |
| Inhalants | ||||||||||||
| NSDUH | 15.7a | 14.9a | 14.0a | 13.3a | 12.5a | 11.3a | 10.5a | 10.8a | 10.0a | 9.1a | 8.4a | 7.5 |
| MTF | 11.7a | 11.4a | 10.6a | 9.3a | 9.7a | 7.5 | 8.4a | 7.7 | 6.8 | 6.0 | 6.7 | 6.1 |
| Alcohol | ||||||||||||
| NSDUH | 86.7a | 87.1a | 86.2a | 85.7a | 86.5a | 85.2a | 85.6a | 85.8a | 85.7a | 84.3 | 84.4 | 83.8 |
| MTF | 88.4a | 87.6a | 87.2a | 87.1a | 87.0a | 86.0a | 86.4a | 85.7a | 84.9a | 84.4a | 82.5 | 82.0 |
| Cigarettes | ||||||||||||
| NSDUH | 71.2a | 70.2a | 68.7a | 67.3a | 66.6a | 64.8a | 64.4a | 63.8a | 62.3a | 61.0a | 59.5a | 57.9 |
| MTF | -- | -- | -- | -- | -- | -- | -- | -- | -- | -- | -- | -- |
| Pain Relievers1 | ||||||||||||
| NSDUH | 22.1a | 23.7a | 24.3a | 25.5a | 25.5a | 24.9a | 24.6a | 24.5a | 23.9a | 22.2a | 22.4a | 20.8 |
| MTF | -- | 17.3a | 17.7a | 16.9a | 17.9a | 17.8a | 17.8a | 17.2a | 16.6a | 16.0 | 14.7 | 14.5 |
| Substance/Survey | 2002 | 2003 | 2004 | 2005 | 2006 | 2007 | 2008 | 2009 | 2010 | 2011 | 2012 | 2013 |
|---|---|---|---|---|---|---|---|---|---|---|---|---|
| NSDUH = National Survey on Drug Use and Health; MTF = Monitoring the Future. NOTE: NSDUH data are for persons aged 18 to 25. Some 2006 to 2010 NSDUH estimates may differ from previously published estimates due to updates (see Section B.3 in Appendix B of this report). NOTE: MTF data were calculated for persons aged 19 to 24 using simple averages of modal age groups 19-20, 21-22, and 23-24 (source data at http://www.monitoringthefuture.org/pubs.html). Estimates may differ from those published previously due to rounding. For the 19 to 24 age group in the MTF data, significance tests were performed assuming independent samples between years an odd number of years apart because two distinct cohorts a year apart were monitored longitudinally at 2-year intervals. Although appropriate for comparisons of 2002, 2004, 2006, 2008, 2010, and 2012 estimates with 2013 estimates, this assumption results in conservative tests for comparisons of 2003, 2005, 2007, 2009, and 2011 data with 2013 estimates because it does not take into account covariances that are associated with repeated observations from the longitudinal samples. Estimates of covariances were not available. a Difference between this estimate and 2013 estimate is statistically significant at the .05 level. 1 MTF data are for "narcotics other than heroin." In 2002, MTF question text was changed in half of the sample by updating the example list of narcotics other than heroin. To be consistent with MTF data for 2003 and later years, MTF data for 2002 past year use of narcotics other than heroin are based on the half sample that received the new question text. Sources: SAMHSA, Center for Behavioral Health Statistics and Quality, National Survey on Drug Use and Health, 2002-2013. National Institute on Drug Abuse, Monitoring the Future Study, University of Michigan, 2002-2013. |
||||||||||||
| Marijuana | ||||||||||||
| NSDUH | 29.8a | 28.5a | 27.8a | 28.0a | 28.1a | 27.5a | 27.8a | 30.8 | 30.0a | 30.8 | 31.5 | 31.6 |
| MTF | 34.2 | 33.0a | 31.6a | 31.4a | 30.9a | 31.0a | 30.9a | 32.2a | 31.7a | 33.7 | 32.8a | 35.5 |
| Cocaine | ||||||||||||
| NSDUH | 6.7a | 6.6a | 6.6a | 6.9a | 6.9a | 6.4a | 5.6a | 5.3a | 4.7 | 4.6 | 4.6 | 4.4 |
| MTF | 6.5a | 7.3a | 7.8a | 6.9a | 7.0a | 6.3a | 6.0a | 5.7a | 4.7 | 4.8 | 4.1 | 3.9 |
| Ecstasy | ||||||||||||
| NSDUH | 5.8a | 3.7 | 3.1a | 3.1a | 3.8 | 3.5 | 3.9 | 4.3 | 4.4 | 4.1 | 4.1 | 4.0 |
| MTF | 8.0a | 5.3 | 3.3a | 3.4a | 3.6a | 2.8a | 3.8 | 3.5a | 4.7 | 4.4 | 5.2 | 5.3 |
| LSD | ||||||||||||
| NSDUH | 1.8 | 1.1a | 1.0a | 1.0a | 1.2a | 1.1a | 1.5a | 1.6a | 1.6a | 1.7 | 1.8 | 2.0 |
| MTF | 2.4 | 1.5a | 1.2a | 1.1a | 1.5a | 1.4a | 1.9 | 2.1 | 1.8 | 2.2 | 1.9 | 2.6 |
| Inhalants | ||||||||||||
| NSDUH | 2.2a | 2.1a | 2.1a | 2.1a | 1.8a | 1.6 | 1.6 | 1.9a | 1.8a | 1.5 | 1.4 | 1.4 |
| MTF | 2.2a | 1.5a | 2.3a | 1.6a | 1.8a | 1.1 | 1.7a | 1.2 | 1.7a | 0.9 | 1.5a | 0.7 |
| Alcohol | ||||||||||||
| NSDUH | 77.9 | 78.1a | 78.0a | 77.9 | 78.8a | 77.9 | 78.0a | 78.7a | 78.6a | 77.0 | 77.4 | 76.8 |
| MTF | 83.9a | 82.3a | 83.1a | 82.8a | 83.2a | 82.8a | 82.5a | 82.0a | 80.5 | 80.6 | 79.0 | 78.6 |
| Cigarettes | ||||||||||||
| NSDUH | 49.0a | 47.6a | 47.5a | 47.2a | 47.0a | 45.2a | 45.1a | 45.3a | 43.2a | 42.3a | 41.0a | 39.5 |
| MTF | 41.8a | 40.8a | 41.4a | 40.2a | 37.1a | 36.2a | 35.4a | 35.0a | 33.0a | 32.6 | 29.3 | 30.4 |
| Pain Relievers1 | ||||||||||||
| NSDUH | 11.4a | 12.0a | 11.9a | 12.4a | 12.5a | 12.2a | 12.0a | 12.0a | 11.1a | 9.8a | 10.1a | 8.8 |
| MTF | 8.5 | 9.7a | 9.7a | 9.2a | 9.9a | 9.0a | 9.2a | 8.5a | 9.1a | 7.7 | 7.1 | 7.1 |
| Substance/Survey | 2002 | 2003 | 2004 | 2005 | 2006 | 2007 | 2008 | 2009 | 2010 | 2011 | 2012 | 2013 |
|---|---|---|---|---|---|---|---|---|---|---|---|---|
| NSDUH = National Survey on Drug Use and Health; MTF = Monitoring the Future. -- Not available. NOTE: NSDUH data are for persons aged 18 to 25. Some 2006 to 2010 NSDUH estimates may differ from previously published estimates due to updates (see Section B.3 in Appendix B of this report). NOTE: MTF data were calculated for persons aged 19 to 24 using simple averages of modal age groups 19-20, 21-22, and 23-24 (source data at http://www.monitoringthefuture.org/pubs.html). Estimates may differ from those published previously due to rounding. For the 19 to 24 age group in the MTF data, significance tests were performed assuming independent samples between years an odd number of years apart because two distinct cohorts a year apart were monitored longitudinally at 2-year intervals. Although appropriate for comparisons of 2002, 2004, 2006, 2008, 2010, and 2012 estimates with 2013 estimates, this assumption results in conservative tests for comparisons of 2003, 2005, 2007, 2009, and 2011 data with 2013 estimates because it does not take into account covariances that are associated with repeated observations from the longitudinal samples. Estimates of covariances were not available. a Difference between this estimate and 2013 estimate is statistically significant at the .05 level. 1 MTF data are for "narcotics other than heroin." Sources: SAMHSA, Center for Behavioral Health Statistics and Quality, National Survey on Drug Use and Health, 2002-2013. National Institute on Drug Abuse, Monitoring the Future Study, University of Michigan, 2002-2013. |
||||||||||||
| Marijuana | ||||||||||||
| NSDUH | 17.3a | 17.0a | 16.1a | 16.6a | 16.3a | 16.5a | 16.6a | 18.2 | 18.5 | 19.0 | 18.7 | 19.1 |
| MTF | 19.8 | 19.9 | 18.2a | 17.0a | 17.0a | 17.5a | 17.3a | 18.5a | 17.8a | 20.1 | 19.8 | 21.6 |
| Cocaine | ||||||||||||
| NSDUH | 2.0a | 2.2a | 2.1a | 2.6a | 2.2a | 1.7a | 1.6a | 1.4 | 1.5a | 1.4 | 1.1 | 1.1 |
| MTF | 2.5a | 2.6a | 2.4a | 2.1 | 2.4a | 1.9 | 1.9 | 1.8 | 1.5 | 1.5 | 1.3 | 1.5 |
| Ecstasy | ||||||||||||
| NSDUH | 1.1 | 0.7 | 0.7 | 0.8 | 1.0 | 0.7 | 0.9 | 1.1 | 1.2 | 0.9 | 1.0 | 0.9 |
| MTF | 1.6 | 1.0 | 0.8 | 0.6 | 0.9 | 0.3a | 0.9 | 0.7 | 1.2 | 0.9 | 1.3 | 1.2 |
| LSD | ||||||||||||
| NSDUH | 0.1a | 0.2 | 0.3 | 0.2 | 0.2a | 0.2 | 0.3 | 0.3 | 0.3 | 0.3 | 0.3 | 0.3 |
| MTF | 0.4 | 0.2a | 0.2a | 0.2a | 0.3 | 0.3 | 0.5 | 0.3 | 0.5 | 0.5 | 0.4 | 0.5 |
| Inhalants | ||||||||||||
| NSDUH | 0.5a | 0.4 | 0.4 | 0.5 | 0.4 | 0.4 | 0.3 | 0.4 | 0.4 | 0.4 | 0.4 | 0.3 |
| MTF | 0.8a | 0.3 | 0.4 | 0.3 | 0.4 | 0.3 | 0.6 | 0.2 | 0.2 | 0.2 | 0.3 | 0.2 |
| Alcohol | ||||||||||||
| NSDUH | 60.5 | 61.4a | 60.5 | 60.9 | 62.0a | 61.3a | 61.1a | 61.8a | 61.4a | 60.7 | 60.2 | 59.6 |
| MTF | 67.7a | 66.3 | 67.3a | 66.8 | 67.0 | 67.4a | 67.4a | 68.1a | 65.8 | 65.8 | 66.0 | 64.9 |
| Cigarettes | ||||||||||||
| NSDUH | 40.8a | 40.2a | 39.5a | 39.0a | 38.5a | 36.2a | 35.7a | 35.8a | 34.3a | 33.5a | 31.8 | 30.6 |
| MTF | 31.4a | 29.5a | 30.2a | 28.7a | 26.7a | 25.7a | 24.3a | 23.5a | 21.8 | 21.3 | 18.7 | 20.2 |
| Pain Relievers1 | ||||||||||||
| NSDUH | 4.1a | 4.7a | 4.7a | 4.7a | 5.0a | 4.6a | 4.5a | 4.8a | 4.4a | 3.6 | 3.8a | 3.3 |
| MTF | -- | 3.4 | 3.4 | 3.7a | 3.6a | 3.5 | 3.7a | 3.2 | 3.5 | 2.9 | 2.9 | 2.7 |
The sample design for the 2013 National Survey on Drug Use and Health (NSDUH)8 was an extension of a coordinated 5-year design providing estimates for all 50 States plus the District of Columbia initially for the years 2005 through 2009, then continuing through 2013. The respondent universe for NSDUH is the civilian, noninstitutionalized population aged 12 years old or older residing within the United States. The survey covers residents of households (persons living in houses/townhouses, apartments, condominiums; civilians living in housing on military bases, etc.) and persons in noninstitutional group quarters (e.g., shelters, rooming/boarding houses, college dormitories, migratory workers' camps, halfway houses). Excluded from the survey are persons with no fixed household address (e.g., homeless and/or transient persons not in shelters), active-duty military personnel, and residents of institutional group quarters, such as correctional facilities, nursing homes, mental institutions, and long-term hospitals.
The coordinated design for 2005 through 2009 included a 50 percent overlap in second-stage units (area segments) within each successive 2-year period from 2005 through 2009. The 2010 through 2013 NSDUHs continued the 50 percent overlap by retaining half of the second-stage units from the previous survey. Because the coordinated design enabled estimates to be developed by State in all 50 States plus the District of Columbia, States may be viewed as the first level of stratification and as a variable for reporting estimates.
For the 50-State design, 8 States were designated as large sample States (California, Florida, Illinois, Michigan, New York, Ohio, Pennsylvania, and Texas) with target sample sizes of 3,600. In 2013, the actual sample sizes in these States ranged from 3,503 to 3,729. For the remaining 42 States and the District of Columbia, the target sample size was 900. Sample sizes in these States ranged from 852 to 953 in 2013. This approach ensured there was sufficient sample in every State to support State estimation by either direct methods or small area estimation (SAE)9 while at the same time providing adequate precision for national estimates.
States were first stratified into a total of 900 State sampling regions (SSRs) (48 regions in each large sample State and 12 regions in each small sample State). These regions were contiguous geographic areas designed to yield approximately the same number of interviews.10 Unlike the 1999 through 2001 NHSDAs and the 2002 through 2004 NSDUHs in which the first-stage sampling units were clusters of census blocks called area segments, the first stage of selection for the 2005 through 2013 NSDUHs was census tracts.11 This stage was included to contain sample segments within a single census tract to the extent possible.12
Within each SSR, 48 census tracts were selected with probability proportional to population size. Within sampled census tracts, adjacent census blocks were combined to form the second-stage sampling units or area segments. One area segment was selected within each sampled census tract with probability proportional to population size. Although only 24 segments were needed to support the coordinated 2005 through 2009 5-year sample, an additional 24 segments were selected to support any supplemental studies that the Substance Abuse and Mental Health Services Administration (SAMHSA) may have chosen to field. These 24 segments constituted the reserve sample and were available for use in 2010, 2011, 2012, and 2013. Eight reserve sample segments per SSR were fielded during the 2013 survey year. Four of these segments were retained from the 2012 survey, and four were selected for use in the 2013 survey.
These sampled segments were allocated equally into four separate samples, one for each 3-month period (calendar quarter) during the year. That is, a sample of addresses was selected from two segments in each calendar quarter so that the survey was relatively continuous in the field. In each of the area segments, a listing of all addresses was made, from which a national sample of 227,075 addresses was selected. Of the selected addresses, 190,067 were determined to be eligible sample units. In these sample units (which can be either households or units within group quarters), sample persons were randomly selected using an automated screening procedure programmed in a handheld computer carried by the interviewers. The number of sample units completing the screening was 160,325. Youths aged 12 to 17 years and young adults aged 18 to 25 years were oversampled at this stage, with 12 to 17 year olds sampled at an actual rate of 87.5 percent and 18 to 25 year olds at a rate of 68.5 percent on average, when they were present in the sampled households or group quarters. Similarly, persons in age groups 26 or older were sampled at rates of 23.4 percent or less, with persons in the eldest age group (50 years or older) sampled at a rate of 8.3 percent on average. The overall population sampling rates were 0.090 percent for 12 to 17 year olds, 0.064 percent for 18 to 25 year olds, 0.017 percent for 26 to 34 year olds, 0.015 percent for 35 to 49 year olds, and 0.007 percent for those 50 or older. Nationwide, 88,742 persons were selected. Consistent with previous surveys in this series, the final respondent sample of 67,838 persons was representative of the U.S. general population (since 1991, the civilian, noninstitutionalized population) aged 12 or older. In addition, State samples were representative of their respective State populations. More detailed information on the disposition of the national screening and interview sample can be found in Appendix B. More information about the sample design can be found in the 2013 NSDUH sample design report (Center for Behavioral Health Statistics and Quality [CBHSQ], 2014b).
The data collection method used in NSDUH involves in-person interviews with sample persons, incorporating procedures to increase respondents' cooperation and willingness to report honestly about their illicit drug use behavior. Confidentiality is stressed in all written and oral communications with potential respondents. Respondents' names are not collected with the data, and computer-assisted interviewing (CAI) methods are used to provide a private and confidential setting to complete the interview.
Introductory letters are sent to sampled addresses, followed by an interviewer visit. When contacting a dwelling unit (DU), the field interviewer (FI) asks to speak with an adult resident (aged 18 or older) of the household who can serve as the screening respondent. Using a handheld computer, the FI completes a 5-minute procedure with the screening respondent that involves listing all household members along with their basic demographic data. The computer uses the demographic data in a preprogrammed selection algorithm to select zero to two sample persons, depending on the composition of the household. This selection process is designed to provide the necessary sample sizes for the specified population age groupings. In areas where a third or more of the households contain Spanish-speaking residents, the initial introductory letters written in English are mailed with a Spanish version on the back. All interviewers carry copies of this letter in Spanish. If the interviewer is not certified bilingual, he or she will use preprinted Spanish cards to attempt to find someone in the household who speaks English and who can serve as the screening respondent or who can translate for the screening respondent. If no one is available, the interviewer will schedule a time when a Spanish-speaking interviewer can come to the address. In households where a language other than Spanish is encountered, another language card is used to attempt to find someone who speaks English to complete the screening.
The NSDUH interview can be completed in English or Spanish, and both versions have the same content. If the sample person prefers to complete the interview in Spanish, a certified bilingual interviewer is sent to the address to conduct the interview. Because the interview is not translated into any other language, if a sample person does not speak English or Spanish, the interview is not conducted.
Immediately after the completion of the screener, interviewers attempt to conduct the NSDUH interview with each sample person in the household. The interviewer requests that the sampled respondent identify a private area in the home to conduct the interview away from other household members. The interview averages about an hour and includes a combination of CAPI (computer-assisted personal interviewing, in which the interviewer reads the questions) and ACASI (audio computer-assisted self-interviewing).
The NSDUH interview consists of core and noncore (i.e., supplemental) sections. A core set of questions critical for basic trend measurement of prevalence estimates remains in the survey every year and comprises the first part of the interview. Noncore questions, or modules, that can be revised, dropped, or added from year to year make up the remainder of the interview. The core consists of initial demographic items (which are interviewer-administered) and self-administered questions pertaining to the use of tobacco, alcohol, marijuana, cocaine, crack cocaine, heroin, hallucinogens, inhalants, pain relievers, tranquilizers, stimulants, and sedatives. Topics in the remaining noncore self-administered sections include (but are not limited to) injection drug use, perceived risks of substance use, substance dependence or abuse, arrests, treatment for substance use problems, pregnancy and health care issues, and mental health issues. Noncore demographic questions (which are interviewer-administered and follow the ACASI questions) address such topics as immigration, current school enrollment, employment and workplace issues, health insurance coverage, and income. In practice, some of the noncore portions of the interview have remained in the survey, relatively unchanged, from year to year (e.g., current health insurance coverage, employment).
Thus, the interview begins in CAPI mode with the FI reading the questions from the computer screen and entering the respondent's replies into the computer. The interview then transitions to the ACASI mode for the sensitive questions. In this mode, the respondent can read the questions silently on the computer screen and/or listen to the questions read through headphones and enter his or her responses directly into the computer. At the conclusion of the ACASI section, the interview returns to the CAPI mode with the FI completing the questionnaire. Each respondent who completes a full interview is given a $30 cash incentive as a token of appreciation for his or her time.
No personal identifying information about the respondent is captured in the CAI record. FIs transmit the completed interview data to RTI in Research Triangle Park, North Carolina. Screening and interview data are encrypted while they reside on laptops and mobile computers. Data are transmitted back to RTI on a regular basis using either a direct dial-up connection or the Internet. All data are encrypted while in transit across dial-up or Internet connections. In addition, the screening and interview data are transmitted back to RTI in separate data streams and are kept physically separate (on different devices) before transmission occurs.
After the data are transmitted to RTI, certain cases are selected for verification. The respondents are contacted by RTI to verify the quality of an FI's work based on information that respondents provide at the end of screening (if no one is selected for an interview at the DU or the entire DU is ineligible for the study) or at the end of the interview. For the screening, the adult DU member who served as the screening respondent provides his or her first name and telephone number to the FI, who enters the information into a handheld computer and transmits the data to RTI. For completed interviews, respondents write their home telephone number and mailing address on a quality control form and seal the form in a preaddressed envelope that FIs mail back to RTI. All contact information is kept completely separate from the answers provided during the screening or interview.
Samples of respondents who completed screenings or interviews are randomly selected for verification. These cases are called by telephone interviewers who ask scripted questions designed to determine the accuracy and quality of the data collected. Any cases discovered to have a problem or discrepancy are flagged and routed to a small specialized team of telephone interviewers who recontact respondents for further investigation of the issue(s). Depending on the amount of an FI's work that cannot be verified through telephone verification, including bad telephone numbers (e.g., incorrect number, disconnected, not in service), a field verification may be conducted. Field verification involves another FI returning to the sampled DU to verify the accuracy and quality of the data in person. If the verification procedures identify situations in which an FI has falsified data, the FI is terminated. All cases completed that quarter by the falsifying FI are verified and reworked by the FI conducting the field verification. Any cases completed by the falsifying FI in earlier quarters of the same year are also verified. All cases from earlier quarters identified as falsified or unresolvable are removed and not reworked. Examples of unresolvable cases include those for which verifiers were never able to make contact with a resident of the DU, residents who refused to verify their data, previous residents who had moved, or residents who reported accurate roster data for the DU but did not recall speaking to an FI.
Data that FIs transmit to RTI are processed to create a raw data file in which no logical editing of the data has been done. The raw data file consists of one record for each transmitted interview. Cases are eligible to be treated as final respondents only if they provided data on lifetime use of cigarettes and at least 9 out of 13 of the other substances in the core section of the questionnaire. Even though editing and consistency checks are done by the CAI program during the interview, additional, more complex edits and consistency checks are completed at RTI. Additionally, statistical imputation is used to replace missing or ambiguous values after editing for some key variables. Analysis weights are created so that estimates will be representative of the target population. Details of the editing, imputation, and weighting procedures for 2013 will appear in the 2013 NSDUH Methodological Resource Book, which is in process. Until that volume becomes available, refer to the 2012 NSDUH Methodological Resource Book (CBHSQ, 2014a).
With the exception of industry and occupation data, coding of written answers that respondents or interviewers typed was performed at RTI for the 2013 NSDUH. These written answers include mentions of drugs that respondents had used or other responses that did not fit a previous response option (subsequently referred to as "OTHER, Specify" data). Written responses in "OTHER, Specify" data were assigned numeric codes through computer-assisted survey procedures and the use of a secure Web site that allowed for coding and review of the data. The computer-assisted procedures entailed a database check for a given "OTHER, Specify" variable that contained typed entries and the associated numeric codes. If an exact match was found between the typed response and an entry in the system, the computer-assisted procedures assigned the appropriate numeric code. Typed responses that did not match an existing entry were coded through the Web-based coding system. Data on the industries in which respondents worked and respondents' occupations were assigned numeric industry and occupation codes by staff at the U.S. Census Bureau.
As noted above, the CAI program included checks that alerted respondents or interviewers when an entered answer was inconsistent with a previous answer in a given module. In this way, the inconsistency could be resolved while the interview was in progress. However, not every inconsistency was resolved during the interview, and the CAI program did not include checks for every possible inconsistency that might have occurred in the data.
Therefore, the first step in processing the raw NSDUH data was logical editing of the data. Logical editing involved using data from within a respondent's record to (a) reduce the amount of item nonresponse (i.e., missing data) in interview records, including identification of items that were legitimately skipped; (b) make related data elements consistent with each other; and (c) identify ambiguities or inconsistencies to be resolved through statistical imputation procedures (see Section A.3.2).
For example, if respondents reported that they never used a given drug, the CAI logic skipped them out of all remaining questions about use of that drug. In the editing procedures, the skipped variables were assigned codes to indicate that the respondents were lifetime nonusers. Similarly, respondents were instructed in the prescription psychotherapeutics modules (i.e., pain relievers, tranquilizers, stimulants, and sedatives) not to report the use of over-the-counter (OTC) drugs. Therefore, if a respondent's only report of lifetime use of a particular type of "prescription" psychotherapeutic drug was for an OTC drug, the respondent was logically inferred never to have been a nonmedical user of the prescription drugs in that psychotherapeutic category.
In addition, respondents could report that they were lifetime users of a drug but not provide specific information on when they last used it. In this situation, a temporary "indefinite" value for the most recent period of use was assigned to the edited recency-of-use variable (e.g., "Used at some point in the lifetime LOGICALLY ASSIGNED"), and a final, specific value was statistically imputed. The editing procedures for key drug use variables also involved identifying inconsistencies between related variables so that these inconsistencies could be resolved through statistical imputation. For example, if a respondent reported last using a drug more than 12 months ago and also reported first using it at his or her current age, both of those responses could not be true. In this example, the inconsistent period of most recent use was replaced with an "indefinite" value, and the inconsistent age at first use was replaced with a missing data code. These indefinite or missing values were subsequently imputed through statistical procedures to yield consistent data for the related measures, as discussed in the next section.
For some key variables that still had missing or ambiguous values after editing, statistical imputation was used to replace these values with appropriate response codes. For example, a response is ambiguous if the editing procedures assigned a respondent's most recent use of a drug to "Used at some point in the lifetime," with no definite period within the lifetime. In this case, the imputation procedure assigns a value for when the respondent last used the drug (e.g., in the past 30 days, more than 30 days ago but within the past 12 months, more than 12 months ago). Similarly, if a response is completely missing, the imputation procedures replace missing values with nonmissing ones.
For most variables, missing or ambiguous values are imputed in NSDUH using a methodology called predictive mean neighborhoods (PMN), which was developed specifically for the 1999 survey and has been used in all subsequent survey years. PMN allows for the following: (1) the ability to use covariates to determine donors is greater than that offered in the hot-deck imputation procedure, (2) the relative importance of covariates can be determined by standard modeling techniques, (3) the correlations across response variables can be accounted for by making the imputation multivariate, and (4) sampling weights can be easily incorporated in the models. The PMN method has some similarity with the predictive mean matching method of Rubin (1986) except that, for the donor records, Rubin used the observed variable value (not the predictive mean) to compute the distance function. Also, the well-known method of nearest neighbor imputation is similar to PMN, except that the distance function is in terms of the original predictor variables and often requires somewhat arbitrary scaling of discrete variables. PMN is a combination of a model-assisted imputation methodology and a random nearest neighbor hot-deck procedure. The hot-deck procedure within the PMN method ensures that missing values are imputed to be consistent with nonmissing values for other variables. Whenever feasible, the imputation of variables using PMN is multivariate, in which imputation is accomplished on several response variables at once. Variables imputed using PMN are the core demographic variables, core drug use variables (recency of use, frequency of use, and age at first use), income, health insurance, and noncore demographic variables for work status, immigrant status, and the household roster. Table A.1 at the end of this appendix summarizes the distribution of weighted statistical imputation rates of these variables by interview section.
In the modeling stage of PMN, the model chosen depends on the nature of the response variable. In the 2013 NSDUH, the models included binomial logistic regression, multinomial logistic regression, Poisson regression, time-to-event (survival) regression, and ordinary linear regression, where the models incorporated the sampling design weights.
In general, hot-deck imputation replaces an item nonresponse (missing or ambiguous value) with a recorded response that is donated from a "similar" respondent who has nonmissing data. For random nearest neighbor hot-deck imputation, the missing or ambiguous value is replaced by a responding value from a donor randomly selected from a set of potential donors. Potential donors are those defined to be "close" to the unit with the missing or ambiguous value according to a predefined function called a distance metric. In the hot-deck procedure of PMN, the set of candidate donors (the "neighborhood") consists of respondents with complete data who have a predicted mean close to that of the item nonrespondent. The predicted means are computed both for respondents with and without missing data, which differs from Rubin's method where predicted means are not computed for the donor respondent (Rubin, 1986). In particular, the neighborhood consists of either the set of the closest 30 respondents or the set of respondents with a predicted mean (or means) within 5 percent of the predicted mean(s) of the item nonrespondent, whichever set is smaller. If no respondents are available who have a predicted mean (or means) within 5 percent of the item nonrespondent, the respondent with the predicted mean(s) closest to that of the item nonrespondent is selected as the donor.
In the univariate case (where only one variable is imputed using PMN), the neighborhood of potential donors is determined by calculating the relative distance between the predicted mean for an item nonrespondent and the predicted mean for each potential donor, then choosing those means defined by the distance metric. The pool of donors is restricted further to satisfy logical constraints whenever necessary (e.g., age at first crack use must not be less than age at first cocaine use).
Whenever possible, missing or ambiguous values for more than one response variable are considered together. In this (multivariate) case, the distance metric is a Mahalanobis distance, which takes into account the correlation between variables (Manly, 1986), rather than a Euclidean distance. The Euclidean distance is the square root of the sum of squared differences between each element of the predictive mean vector for the respondent and the predictive mean vector for the nonrespondent. The Mahalanobis distance standardizes the Euclidean distance by the variance-covariance matrix, which is appropriate for random variables that are correlated or have heterogeneous variances. Whether the imputation is univariate or multivariate, only missing or ambiguous values are replaced, and donors are restricted to be logically consistent with the response variables that are not missing. Furthermore, donors are restricted to satisfy "likeness constraints" whenever possible. That is, donors are required to have the same values for variables highly correlated with the response. For example, donors for the age at first use variable are required to be of the same age as recipients, if at all possible. If no donors are available who meet these conditions, these likeness constraints can be loosened. Further details on the PMN methodology are provided by Singh, Grau, and Folsom (2002).
Although statistical imputation could not proceed separately within each State due to insufficient pools of donors, information about each respondent's State of residence was incorporated in the modeling and hot-deck steps. For most drugs, respondents were separated into three "State usage" categories as follows: respondents from States with high usage of a given drug were placed in one category, respondents from States with medium usage into another, and the remainder into a third category. This categorical "State rank" variable was used as one set of covariates in the imputation models. In addition, eligible donors for each item nonrespondent were restricted to be of the same State usage category (i.e., the same "State rank") as the nonrespondent.
In the 2013 NSDUH, the majority of variables that underwent statistical imputation required less than 5 percent of their records to be logically assigned or statistically imputed. Variables for measures that are highly sensitive or that may not be known to younger respondents (e.g., family income) often have higher rates of item nonresponse. In addition, certain variables that are subject to a greater number of skip patterns and consistency checks (e.g., frequency of use in the past 12 months and past 30 days) often require greater amounts of imputation.
The general approach to developing and calibrating analysis weights involved developing design-based weights as the product of the inverse of the selection probabilities at each selection stage. Since 2005, NSDUH has used a four-stage sample selection scheme in which an extra selection stage of census tracts was added before the selection of a segment. Thus, the design-based weights,
, incorporate an extra layer of sampling selection to reflect the sample design change. Adjustment factors,
, then were applied to the design-based weights to adjust for nonresponse, to poststratify to known population control totals, and to control for extreme weights when necessary. In view of the importance of State-level estimates with the 50-State design, it was necessary to control for a much larger number of known population totals. Several other modifications to the general weight adjustment strategy that had been used in past surveys also were implemented for the first time beginning with the 1999 CAI sample.
Weight adjustments were based on a generalization of Deville and Särndal's (1992) logit model. This generalized exponential model (GEM) (Folsom & Singh, 2000) incorporates unit-specific bounds
, for the adjustment factor
as follows:
where
are prespecified centering constants, such that
and
. The variables
, and
are user-specified bounds, and λ is the column vector of p model parameters corresponding to the p covariates x. The λ parameters are estimated by solving
where
denotes control totals that could be either nonrandom, as is generally the case with poststratification, or random, as is generally the case for nonresponse adjustment.
The final weights
minimize the distance function
defined as
This general approach was used at several stages of the weight adjustment process, including (1) adjustment of household weights for nonresponse at the screener level, (2) poststratification of household weights to meet population controls for various household-level demographics by State, (3) adjustment of household weights for extremes, (4) poststratification of selected person weights, (5) adjustment of responding person weights for nonresponse at the questionnaire level, (6) poststratification of responding person weights, and (7) adjustment of responding person weights for extremes.
Every effort was made to include as many relevant State-specific covariates (typically defined by demographic domains within States) as possible in the multivariate models used to calibrate the weights (nonresponse adjustment and poststratification steps). Because further subdivision of State samples by demographic covariates often produced small cell sample sizes, it was not possible to retain all State-specific covariates (even after meaningful collapsing of covariate categories) and still estimate the necessary model parameters with reasonable precision. Therefore, a hierarchical structure was used in grouping States with covariates defined at the national level, at the census division level within the Nation, at the State group within the census division, and, whenever possible, at the State level. In every case, the controls for the total population within a State and the five age groups (12 to 17, 18 to 25, 26 to 34, 35 to 49, 50 or older) within a State were maintained except that, in the last step of poststratification of person weights, six age groups (12 to 17, 18 to 25, 26 to 34, 35 to 49, 50 to 64, 65 or older) were used. Census control totals by age, race, gender, and Hispanic origin were required for the civilian, noninstitutionalized population of each State. Beginning with the 2002 NSDUH, the Population Estimates Branch of the U.S. Census Bureau has produced the necessary population estimates for the same year as each NSDUH survey in response to a special request.
Census control totals for the 2013 NSDUH weights were based on population estimates from the 2010 decennial census as for the 2011 and 2012 NSDUHs, whereas the control totals for the 2010 NSDUH weights were still based on the 2000 census. This shift to the 2010 census data for the 2011 NSDUH could have affected comparisons between substance use estimates in 2011 and onward and those from prior years. Section B.4.3 in Appendix B of the 2011 NSDUH national findings report (CBHSQ, 2012b) discusses the results of an investigation using data from 2010 and 2011 that assessed the effects of using control totals based on the 2010 census instead of the 2000 census for estimating substance use in 2010.
Consistent with the surveys from 1999 onward, control of extreme weights through separate bounds for adjustment factors was incorporated into the GEM calibration processes for both nonresponse and poststratification. This is unlike the traditional method of winsorization in which extreme weights are truncated at prespecified levels and the trimmed portions of weights are distributed to the nontruncated cases. In GEM, it is possible to set bounds around the prespecified levels for extreme weights. Then the calibration process provides an objective way of deciding the extent of adjustment (or truncation) within the specified bounds. A step was included to poststratify the household-level weights to obtain census-consistent estimates based on the household rosters from all screened households. An additional step poststratified the selected person sample to conform to the adjusted roster estimates. This additional step takes advantage of the inherent two-phase nature of the NSDUH design. The respondent poststratification step poststratified the respondent person sample to external census data (defined within the State whenever possible, as discussed above).
For certain populations of interest, 2 years of NSDUH data were combined to obtain annual averages. The person-level weights for estimates based on the annual averages were obtained by dividing the analysis weights for the 2 specific years by a factor of 2.
| Interview Section | Number of Variables | Mean | Minimum | 25th Percentile | 75th Percentile | Maximum |
|---|---|---|---|---|---|---|
| 1 Core drug use variables do not include initiation variables beyond age at first use because these additional questions are asked only if respondents first used within 1 year of their current age. 2 Other noncore demographic variables include work status, immigrant status, and household roster variables. Source: SAMHSA, Center for Behavioral Health Statistics and Quality, National Survey on Drug Use and Health, 2013. |
||||||
| Core Demographics | 14 | 2.19 | 0.03 | 0.53 | 3.27 | 3.36 |
| Core Drug Use1 | 98 | 1.69 | 0.01 | 0.18 | 2.17 | 9.50 |
| Income and Health Insurance | 17 | 1.86 | 0.27 | 0.37 | 2.10 | 10.20 |
| Other Noncore Demographics2 | 12 | 0.20 | 0.05 | 0.10 | 0.27 | 0.38 |
The estimates of drug use prevalence from the National Survey on Drug Use and Health (NSDUH) are designed to describe the target population of the survey—the civilian, noninstitutionalized population aged 12 or older living in the United States. This population includes almost 98 percent of the total U.S. population aged 12 or older. However, it excludes some small subpopulations that may have very different drug use patterns. For example, the survey excludes active military personnel, who have been shown to have significantly lower rates of illicit drug use. The survey also excludes two groups that have been shown to have higher rates of illicit drug use: persons living in institutional group quarters, such as prisons and residential drug use treatment centers, and homeless persons not living in a shelter. Readers are reminded to consider the exclusion of these subpopulations when interpreting results. Appendix C describes other surveys that provide data for some of these populations.
This report includes national estimates that were drawn from a set of tables referred to as "detailed tables" that are available at https://www.samhsa.gov/data/. The national estimates, along with the associated standard errors (SEs, which are the square roots of the variances), were computed for all detailed tables using a multiprocedure package, SUDAAN® Software for Statistical Analysis of Correlated Data. This software accounts for the complex survey design of NSDUH in estimating the SEs (RTI International, 2012). The final, nonresponse-adjusted, and poststratified analysis weights were used in SUDAAN to compute unbiased design-based drug use estimates.
The sampling error of an estimate is the error caused by the selection of a sample instead of conducting a census of the population. The sampling error may be reduced by selecting a large sample and/or by using efficient sample design and estimation strategies, such as stratification, optimal allocation, and ratio estimation. The use of probability sampling methods in NSDUH allows estimation of sampling error from the survey data. SEs have been calculated using SUDAAN for all estimates presented in this report using a Taylor series linearization approach that takes into account the effects of NSDUH's complex design features. The SEs are used to identify unreliable estimates and to test for the statistical significance of differences between estimates.
The variances and SEs of estimates of means and proportions can be calculated reasonably well in SUDAAN using a Taylor series linearization approach. Estimates of means or proportions,
, such as drug use prevalence estimates for a domain d, can be expressed as a ratio estimate:
, D
where
is a linear statistic estimating the number of substance users in the domain d and
is a linear statistic estimating the total number of persons in domain d (including both users and nonusers). The SUDAAN software package is used to calculate direct estimates of
and
(and, therefore,
) and also can be used to estimate their respective SEs. A Taylor series approximation method implemented in SUDAAN provides the estimate for the SE of
.
When the domain size,
, is free of sampling error, an estimate of the SE for the total number of substance users is
. D
This approach is theoretically correct when the domain size estimates,
, are among those forced to match their respective U.S. Census Bureau population estimates through the weight calibration process. In these cases,
is not subject to a sampling error induced by the NSDUH design. Section A.3.3 in Appendix A contains further information about the weight calibration process. In addition, more detailed information about the weighting procedures for 2013 will appear in the 2013 NSDUH Methodological Resource Book, which is in process. Until that volume becomes available, refer to the 2012 NSDUH Methodological Resource Book (Center for Behavioral Health Statistics and Quality [CBHSQ], 2014a).
For estimated domain totals,
, where
is not fixed (i.e., where domain size estimates are not forced to match the U.S. Census Bureau population estimates), this formulation still may provide a good approximation if it can be assumed that the sampling variation in
is negligible relative to the sampling variation in
. This is a reasonable assumption for many cases in this study.
For some subsets of domain estimates, the above approach can yield an underestimate of the SE of the total when
was subject to considerable variation. Because of this underestimation, alternatives for estimating SEs of totals were implemented. Since the 2005 NSDUH report, a "mixed" method approach has been implemented for all detailed tables to improve the accuracy of SEs and to better reflect the effects of poststratification on the variance of total estimates. This approach assigns the methods of SE calculation to domains (i.e., subgroups for which the estimates were calculated) within tables so that all estimates among a select set of domains with fixed
were calculated using the formula above, and all other estimates were calculated directly in SUDAAN, regardless of what the other estimates are within the same table. The set of domains considered controlled (i.e., those with a fixed
) was restricted to main effects and two-way interactions in order to maintain continuity between years. Domains consisting of three-way interactions may be controlled in a single year but not necessarily in preceding or subsequent years. The use of such SEs did not affect the SE estimates for the corresponding proportions presented in the same sets of tables because all SEs for means and proportions are calculated directly in SUDAAN. As a result of the use of this mixed-method approach, the SEs for the total estimates within many detailed tables were calculated differently from those in NSDUH reports prior to the 2005 report.
Table B.1 at the end of this appendix contains only a partial list of domains with a fixed
that were used in the weight calibration process. However, the list does include all of the domains that were used in computing SEs for estimates produced in this report and in the 2013 detailed tables. This table includes both the main effects and two-way interactions and may be used to identify the method of SE calculation employed for estimates of totals. For example, Table 1.23 in the 2013 detailed tables presents estimates of illicit drug use among persons aged 18 or older within the domains of gender, Hispanic origin and race, education, and current employment. Estimates among the total population (age main effect), males and females (age by gender interaction), and Hispanics and non-Hispanics (age by Hispanic origin interaction) were treated as controlled in this table, and the formula above was used to calculate the SEs. The SEs for all other estimates, including white and black or African American (age by Hispanic origin by race interaction) were calculated directly from SUDAAN. Estimates presented in this report for racial groups are for non-Hispanics. Thus, the domain for whites by age group in the weight calibration process in Table B.1 is a two-way interaction. However, published estimates for whites by age group in this report and in the 2013 detailed tables actually represent a three-way interaction: white by Hispanic origin (i.e., not Hispanic) by age group.
As has been done in past NSDUH reports, direct estimates from NSDUH that are designated as unreliable are not shown in this report and are noted by asterisks (*) in figures containing such estimates. The criteria used to define unreliability of direct estimates from NSDUH are based on the prevalence (for proportion estimates), relative standard error (RSE) (defined as the ratio of the SE over the estimate), nominal (actual) sample size, and effective sample size for each estimate. These suppression criteria for various NSDUH estimates are summarized in Table B.2 at the end of this appendix.
Proportion estimates (
), or rates, within the range [
], and the corresponding estimated numbers of users were suppressed if
or
Using a first-order Taylor series approximation to estimate
and
, the following equation was derived and used for computational purposes when applying a suppression rule dependent on effective sample size:
or
The separate formulas for
produce a symmetric suppression rule; that is, if
is suppressed,
will be suppressed as well (see Figure B.1 following Table B.2). When
, the symmetric properties of the rule produce a local minimum effective sample size of 50 at
= .2 and at
= .8. Using the minimum effective sample size for the suppression rule would mean that estimates of
between .05 and .95 would be suppressed if their corresponding effective sample sizes were less than 50. Within this same interval, a local maximum effective sample size of 68 is found at
= .5. To simplify requirements and maintain a conservative suppression rule, estimates of
between .05 and .95 were suppressed if they had an effective sample size below 68.
In addition, a minimum nominal sample size suppression criterion (n = 100) that protects against unreliable estimates caused by small design effects and small nominal sample sizes was employed; Table B.2 shows a formula for calculating design effects. Prevalence estimates also were suppressed if they were close to 0 or 100 percent (i.e., if
< .00005 or if
≥ .99995).
Beginning with the 1991 survey, the suppression rule for proportions based on
described previously replaced a rule in which data were suppressed whenever
. This rule was changed because the rule prior to 1991 imposed a very stringent application for suppressing estimates when
is small but imposed a very lax application for large
. The new rule ensured a more uniformly stringent application across the whole range of
(i.e., from 0 to 1). The previous rule also was asymmetric in the sense that suppression only occurred in terms of
. That is, there was no complementary rule for (
), which the current NSDUH suppression criteria for proportions take into account.
Estimates of totals were suppressed if the corresponding prevalence rates were suppressed. Estimates of means that are not bounded between 0 and 1 (e.g., mean of age at first use) were suppressed if the RSEs of the estimates were larger than .5 or if the nominal sample size was smaller than 10 respondents. This rule was based on an empirical examination of the estimates of mean age of first use and their SEs for various empirical sample sizes. Although arbitrary, a sample size of 10 appeared to provide sufficient precision and still allow reporting by year of first use for many substances.
This section describes the methods used to compare prevalence estimates in this report. Customarily, the observed difference between estimates is evaluated in terms of its statistical significance. Statistical significance is based on the p value of the test statistic and refers to the probability that a difference as large as that observed would occur because of random variability in the estimates if there were no difference in the prevalence estimates for the population groups being compared. The significance of observed differences in this report is reported at the .05 level. When comparing prevalence estimates, the null hypothesis (no difference between prevalence estimates) was tested against the alternative hypothesis (there is a difference in prevalence estimates) using the standard difference in proportions test expressed as
, D
where
= first prevalence estimate,
= second prevalence estimate,
= variance of first prevalence estimate,
= variance of second prevalence estimate, and
= covariance between
and
. In cases where significance tests between years were performed, the prevalence estimate from the earlier year becomes the first estimate, and the prevalence estimate from the later year becomes the second estimate (e.g., 2012 is the first estimate and 2013 the second).
Under the null hypothesis, Z is asymptotically distributed as a standard normal random variable. Therefore, calculated values of Z can be referred to the unit normal distribution to determine the corresponding probability level (i.e., p value). Because the covariance term between the two estimates is not necessarily zero, SUDAAN was used to compute estimates of Z along with the associated p values using the analysis weights and accounting for the sample design as described in Appendix A. A similar procedure and formula for Z were used for estimated totals. Whenever it was necessary to calculate the SE outside of SUDAAN (i.e., when domains were forced by the weighting process to match their respective U.S. Census Bureau population estimates), the corresponding test statistics also were computed outside of SUDAAN.
When comparing population subgroups across three or more levels of a categorical variable, log-linear chi-square tests of independence of the subgroups and the prevalence variables were conducted using SUDAAN in order to first control the error level for multiple comparisons. If Shah's Wald F test (transformed from the standard Wald chi-square) indicated overall significant differences, the significance of each particular pairwise comparison of interest was tested using SUDAAN analytic procedures to properly account for the sample design (RTI International, 2012). Using the published estimates and SEs to perform independent t tests for the difference of proportions usually will provide the same results as tests performed in SUDAAN. However, where the significance level is borderline, results may differ for two reasons: (1) the covariance term is included in SUDAAN tests, whereas it is not included in independent t tests; and (2) the reduced number of significant digits shown in the published estimates may cause rounding errors in the independent t tests.
A caution in interpreting trends in totals (e.g., estimated numbers of users) is that respondents with large analysis weights can greatly influence the estimated total in a given year when the number of persons in the population with the characteristic of interest is relatively small. As discussed in Chapter 2, for example, the number of persons aged 12 or older who were past year heroin users in 2013 (681,000) was higher than the numbers in most years from 2002 to 2008, but it was not significantly different from the number in 2006 (580,000). The estimate for 2006 was determined to be affected by large analysis weights for a small number of heroin users and suggests that the estimated numbers of past year and past month heroin users in 2006 were statistical anomalies. This finding also underscores the importance of reviewing trends across a larger range of years especially for outcome measures that correspond to a relatively small proportion of the total population (e.g., 681,000 past year heroin users from a population of more than 260 million people aged 12 or older in 2013).
As part of a comparative analysis discussed in Chapter 8, prevalence estimates from the Monitoring the Future (MTF) study, sponsored by the National Institute on Drug Abuse (NIDA), were presented for recency measures of selected substances (see Tables 8.1 to 8.6). The analyses focused on prevalence estimates for 8th and 10th graders and prevalence estimates for young adults aged 19 to 24 for 2002 through 2013. Estimates for the 8th and 10th grade students were calculated using MTF data as the simple average of the 8th and 10th grade estimates. Estimates for young adults aged 19 to 24 were calculated using MTF data as the simple average of three modal age groups: 19 and 20 years, 21 and 22 years, and 23 and 24 years. Published results were not available from NIDA for significant differences in prevalence estimates between years for these subgroups, so testing was performed using information that was available.
For the 8th and 10th grade average estimates, tests of differences were performed between 2013 and the 11 prior years. Estimates for persons in grade 8 and grade 10 were considered independent, simplifying the calculation of variances for the combined grades. Across years, the estimates for 2013 involved samples independent of those in 2002 to 2011. For 2012 and 2013, however, the sample of schools overlapped 50 percent, creating a covariance in the estimates. Design effects published in Johnston et al. (2013) for adjacent and nonadjacent year testing were used.
For the 19- to 24-year-old age group, tests of differences were done assuming independent samples between years an odd number of years apart because two distinct cohorts a year apart were monitored longitudinally at 2-year intervals. This is appropriate for comparisons of 2002, 2004, 2006, 2008, 2010, and 2012 data with 2013 data. However, this assumption results in conservative tests for comparisons of 2003, 2005, 2007, 2009, and 2011 data with 2013 data because testing did not take into account covariances associated with repeated observations from the longitudinal samples. Estimates of covariances were not available.
Complete details on testing between NSDUH and MTF can be found in Section B.2.3 in Appendix B of the 2010 national findings report (CBHSQ, 2011). This discussion also includes variance estimation in the MTF data for testing between adjacent survey years.
The accuracy of survey estimates can be affected by nonresponse, coding errors, computer processing errors, errors in the sampling frame, reporting errors, and other errors not due to sampling. These types of "nonsampling errors" and their impact are reduced through data editing, statistical adjustments for nonresponse, close monitoring and periodic retraining of interviewers, and improvement in quality control procedures.
Although these types of errors often can be much larger than sampling errors, measurement of most of these errors is difficult. However, some indication of the effects of some types of these errors can be obtained through proxy measures, such as response rates, and from other research studies.
In 2013, respondents continued to receive a $30 incentive in an effort to maximize response rates. The weighted screening response rate (SRR) is defined as the weighted number of successfully screened households13 divided by the weighted number of eligible households (as defined in Table B.3), or
, D
where
is the inverse of the unconditional probability of selection for the household and excludes all adjustments for nonresponse and poststratification defined in Section A.3.3 of Appendix A. Of the 190,067 eligible households sampled for the 2013 NSDUH, 160,325 were screened successfully, for a weighted screening response rate of 83.9 percent (Table B.3). At the person level, the weighted interview response rate (IRR) is defined as the weighted number of respondents divided by the weighted number of selected persons (see Table B.4), or
, D
where
is the inverse of the probability of selection for the person and includes household-level nonresponse and poststratification adjustments (adjustments 1, 2, and 3 in Section A.3.3 of Appendix A). To be considered a completed interview, a respondent must provide enough data to pass the usable case rule.14 In the 160,325 screened households, a total of 88,742 sample persons were selected, and completed interviews were obtained from 67,838 of these sample persons, for a weighted IRR of 71.7 percent (Table B.4). A total of 15,717 sample persons (20.9 percent) were classified as refusals or parental refusals, 2,622 (3.0 percent) were not available or never at home, and 2,565 (4.4 percent) did not participate for various other reasons, such as physical or mental incompetence or language barrier (see Table B.4, which also shows the distribution of the selected sample by interview code and age group). Among demographic subgroups, the weighted IRR was higher among 12 to 17 year olds (82.0 percent), females (73.3 percent), blacks (78.8 percent), persons in the South (73.3 percent), and residents of small metropolitan areas (73.4 percent) than among other related groups (Table B.5).
The overall weighted response rate, defined as the product of the weighted screening response rate and weighted interview response rate or
was 60.2 percent in 2013. Nonresponse bias can be expressed as the product of the nonresponse rate (
) and the difference between the characteristic of interest between respondents and nonrespondents in the population (
). By maximizing NSDUH response rates, it is hoped that the bias due to the difference between the estimates from respondents and nonrespondents is minimized. Drug use surveys are particularly vulnerable to nonresponse because of the difficult nature of accessing heavy drug users. However, in a study that matched 1990 census data to 1990 NHSDA nonrespondents,15 it was found that populations with low response rates did not always have high drug use rates. For example, although some populations were found to have low response rates and high drug use rates (e.g., residents of large metropolitan areas and males), other populations had low response rates and low drug use rates (e.g., older adults and high-income populations). Therefore, many of the potential sources of bias tend to cancel each other in estimates of overall prevalence (Gfroerer, Lessler, & Parsley, 1997a).
Among survey participants, item response rates were generally very high for most drug use items. However, respondents could give inconclusive or inconsistent information about whether they ever used a given drug (i.e., "yes" or "no") and, if they had used a drug, when they last used it; the latter information is needed to identify those lifetime users of a drug who used it in the past year or past month. In addition, respondents could give inconsistent responses to items such as when they first used a drug compared with their most recent use of a drug. These missing or inconsistent responses first are resolved where possible through a logical editing process. Additionally, missing or inconsistent responses are imputed using statistical methodology. These imputation procedures in NSDUH are based on responses to multiple questions, so that the maximum amount of information is used in determining whether a respondent is classified as a user or nonuser, and if the respondent is classified as a user, whether the respondent is classified as having used in the past year or the past month. For example, ambiguous data on the most recent use of cocaine are statistically imputed based on a respondent's data for use (or most recent use) of tobacco products, alcohol, inhalants, marijuana, hallucinogens, and nonmedical use of prescription psychotherapeutic drugs. Nevertheless, editing and imputation of missing responses are potential sources of measurement error. For more information on editing and statistical imputation, see Sections A.3.1 and A.3.2 of Appendix A. Details of the editing and imputation procedures for 2013 also will appear in the 2013 NSDUH Methodological Resource Book, which is in process. Until that volume becomes available, refer to the 2012 NSDUH Methodological Resource Book (CBHSQ, 2014a).
A reliability study was conducted as part of the 2006 NSDUH to assess the reliability of responses to the NSDUH questionnaire. An interview/reinterview method was employed in which 3,136 individuals were interviewed on two occasions during 2006 generally 5 to 15 days apart; the initial interviews in the reliability study were a subset of the main study interviews. The reliability of the responses was assessed by comparing the responses of the first interview with the responses from the reinterview. Responses from the first interview and reinterview that were analyzed for response consistency were raw data that had been only minimally edited for ease of analysis and had not been imputed (see Sections A.3.1 and A.3.2 in this report).
This section summarizes the results for the reliability of selected variables related to substance use and demographic characteristics. Reliability is expressed by estimates of Cohen's kappa (κ) (Cohen, 1960), which can be interpreted according to benchmarks proposed by Landis and Koch (1977, p. 165): (a) poor agreement for kappas less than 0.00, (b) slight agreement for kappas of 0.00 to 0.20, (c) fair agreement for kappas of 0.21 to 0.40, (d) moderate agreement for kappas of 0.41 to 0.60, (e) substantial agreement for kappas of 0.61 to 0.80, and (f) almost perfect agreement for kappas of 0.81 to 1.00.
The kappa values for the lifetime and past year substance use variables (marijuana use, alcohol use, and cigarette use) all showed almost perfect response consistency, ranging from 0.82 for past year marijuana use to 0.93 for lifetime marijuana use and past year cigarette use. The value obtained for the substance dependence or abuse measure in the past year showed substantial agreement (0.67), while the substance abuse treatment variable showed almost perfect consistency in both the lifetime (0.89) and past year (0.87). The variables for age at first use of marijuana and perceived great risk of smoking marijuana once a month showed substantial agreement (0.74 and 0.68, respectively). The demographic variables showed almost perfect agreement, ranging from 0.95 for current enrollment in school to 1.00 for gender. For further information on the reliability of a wide range of measures contained in NSDUH, see the complete methodology report (Chromy et al., 2010).
Most substance use prevalence estimates, including those produced for NSDUH, are based on self-reports of use. Although studies generally have supported the validity of self-report data, it is well documented that these data may be biased (underreported or overreported). The bias varies by several factors, including the mode of administration, the setting, the population under investigation, and the type of drug (Aquilino, 1994; Brener et al., 2006; Harrison & Hughes, 1997; Tourangeau & Smith, 1996; Turner, Lessler, & Gfroerer, 1992). NSDUH utilizes widely accepted methodological practices for increasing the accuracy of self-reports, such as encouraging privacy through audio computer-assisted self-interviewing (ACASI) and providing assurances that individual responses will remain confidential. Comparisons using these methods within NSDUH have shown that they reduce reporting bias (Gfroerer, Eyerman, & Chromy, 2002). Various procedures have been used to validate self-report data, such as biological specimens (e.g., urine, hair, saliva), proxy reports (e.g., family member, peer), and repeated measures (e.g., recanting) (Fendrich, Johnson, Sudman, Wislar, & Spiehler, 1999). However, these procedures often are impractical or too costly for general population epidemiological studies (SRNT Subcommittee on Biochemical Verification, 2002).
A study cosponsored by the Substance Abuse and Mental Health Services Administration (SAMHSA) and the National Institute on Drug Abuse (NIDA) examined the validity of NSDUH self-report data on drug use among persons aged 12 to 25. The study found that it is possible to collect urine and hair specimens with a relatively high response rate in a general population survey, and that most youths and young adults reported their recent drug use accurately in self-reports (Harrison, Martin, Enev, & Harrington, 2007). However, there were some reporting differences in either direction, with some respondents not reporting use but testing positive, and some reporting use but testing negative. Technical and statistical problems related to the hair tests precluded presenting comparisons of self-reports and hair test results, while small sample sizes for self-reports and positive urine test results for opiates and stimulants precluded drawing conclusions about the validity of self-reports of these drugs. Further, inexactness in the window of detection for drugs in biological specimens and biological factors affecting the window of detection could account for some inconsistency between self-reports and urine test results.
During regular data collection and processing checks for the 2011 NSDUH, data errors were identified. These errors resulted from fraudulent cases submitted by field interviewers and affected the data for Pennsylvania (2006 to 2010) and Maryland (2008 and 2009). Although all fraudulent interview cases were removed from the data files, the affected screening cases were not removed because they were part of the assigned sample. Instead, these screening cases were assigned a final screening code of 39 ("Fraudulent Case") and treated as incomplete with unknown eligibility. The screening eligibility status for these cases then was imputed. Those cases that were imputed to be eligible were treated as unit nonrespondents for weighting purposes; however, these cases were not treated differently from other unit nonrespondents in the weighting process in 2006 to 2010 (see Section A.3.3 in Appendix A).
Table B.3 in Appendix B of the 2011 national findings report (CBHSQ, 2012b) presents screening results for 2010, the last year that was affected by these errors. Cases that were imputed to be eligible are classified with a final code of 39 ("Fraudulent Case"; see Table B.3 in this report). The cases that were imputed to be ineligible did not contribute to the weights and were reported as "Other, Ineligible" in the affected years. Because any cases with falsified data were treated either as ineligible or as unit nonrespondents at the screening level, they were excluded from the interview data (see Table B.4). However, some estimates for 2006 to 2010 in the 2013 national findings report and the 2013 detailed tables, as well as other new reports, may differ from corresponding estimates found in some previous reports or tables.
These errors had minimal impact on the national estimates and no effect on direct estimates for the other 48 States and the District of Columbia. In reports where model-based small area estimation techniques are used, estimates for all States may be affected, even though the errors were concentrated in only two States. In reports that do not use model-based estimates, the only estimates appreciably affected are estimates for Pennsylvania, Maryland, the mid-Atlantic division, and the Northeast region.
The 2013 national findings report and detailed tables do not include State-level or model-based estimates. However, they do include estimates for the mid-Atlantic division and the Northeast region. Single-year estimates based on 2006 to 2010 data and estimates based on pooled data including any of these years may differ from previously published estimates. Tables and estimates based only on data since 2011 are unaffected by these data errors.
Caution is advised when comparing data from older reports with data from more recent reports that are based on corrected data files. As discussed previously, comparisons of estimates for Pennsylvania, Maryland, the mid-Atlantic division, and the Northeast region are of most concern, while comparisons of national data or data for other States and regions are essentially still valid. CBHSQ within SAMHSA has produced a selected set of corrected versions of reports and tables. In particular, CBHSQ has released a set of modified detailed tables that include revised 2006 to 2010 estimates for the mid-Atlantic division and the Northeast region for certain key measures. CBHSQ does not recommend making comparisons between unrevised 2006 to 2010 estimates and estimates based on data for 2011 and subsequent years for the geographic areas of greatest concern.
In epidemiological studies, incidence is defined as the number of new cases of a disease occurring within a specific period of time. Similarly, in substance use studies, incidence refers to the first use of a particular substance.
In the 2004 NSDUH national findings report (Office of Applied Studies [OAS], 2005), a new measure related to incidence was introduced and since then has become the primary focus of Chapter 5 in this national findings report series. The incidence measure is termed as "past year initiation" and refers to respondents whose date of first use of a substance was within the 12 months prior to their interview date. This measure is determined by self-reported past year use, age at first use, year and month of recent new use, and the interview date.
Since 1999, the survey questionnaire has allowed for collection of year and month of first use for recent initiates (i.e., persons who used a particular substance for the first time in a given survey year). Month, day, and year of birth also are obtained directly or are imputed for item nonrespondents as part of the data postprocessing. Additionally, the computer-assisted interviewing (CAI) instrument records and provides the date of the interview. By imputing a day of first use within the year and month of first use, a specific date of first use can be used for estimation purposes.
Past year initiation among persons using a substance in the past year can be viewed as an indicator variable defined as follows:
, D
where (MM/DD/YYYY)Interview denotes the month, day, and year of the interview, and (MM/DD/YYYY)First Use of Substance denotes the date of first use. The total number of past year initiates can be used in the estimation of different percentages. Denominators for these percentages vary according to whether rates are being estimated for (a) all persons in the population (or all persons in a subgroup of the population, such as persons in a given age group); (b) persons who are at risk for initiation because they have not used the substance of interest prior to the past 12 months; or (c) past year users of the substance. The detailed tables show all three of these percentages. Chapter 5 in this report includes additional information on these percentages that are reported for NSDUH.
Calculation of estimates of past year initiation do not take into account whether a respondent initiated substance use while a resident of the United States. This method of calculation allows for direct comparability with other standard measures of substance use because the populations of interest for the measures will be the same (i.e., both measures examine all possible respondents and are not restricted to those initiating substance use only in the United States).
One important note for incidence estimates is the relationship between main categories and subcategories of substances (e.g., illicit drugs would be a main category, and inhalants and marijuana would be subcategories in relation to illicit drugs). For most measures of substance use, any member of a subcategory is by necessity a member of the main category (e.g., if a respondent is a past month user of a particular drug, then he or she is also a past month user of illicit drugs in general). However, this is not the case with regard to incidence statistics. Because an individual can only be an initiate of a particular substance category (main or sub) a single time, a respondent with lifetime use of multiple substances may not, by necessity, be included as a past year initiate of a main category, even if he or she were a past year initiate for a particular subcategory because his or her first initiation of other substances within the main category could have occurred earlier.
In addition to estimates of the number of persons initiating use of a substance in the past year, estimates of the mean age of past year initiates of these substances are computed. Unless specified otherwise, estimates of the mean age at initiation in the past 12 months have been restricted to persons aged 12 to 49 so that the mean age estimates reported are not influenced by those few respondents who were past year initiates and were aged 50 or older. As a measure of central tendency, means are influenced heavily by the presence of extreme values in the data, and this constraint should increase the utility of these results to health researchers and analysts by providing a better picture of the substance use initiation behaviors among the civilian, noninstitutionalized population in the United States. This constraint was applied only to estimates of mean age at first use and does not affect estimates of the numbers of new users or the incidence rates.
Although past year initiates aged 26 to 49 are assumed not to be as likely as past year initiates aged 50 or older to influence mean ages at first use, caution still is advised in interpreting trends in these means. Sampling error in initiation estimates for persons aged 26 to 49 can affect year-to-year interpretation of trends (see Section B.2). Consequently, review of substance initiation trends across a larger range of years is especially advised for this age group.
For example, the estimated number of persons aged 26 to 49 who were past year initiates of marijuana increased from 49,000 in 2009 to 210,000 in 2010, or an apparent fourfold increase in the space of a single year (Table B.6). The estimated number of past year marijuana initiates aged 26 to 49 in 2010 was not significantly different from the numbers in 2011 to 2013. Except for 2009, the estimated numbers of past year marijuana initiates in this age group since 2004 were not significantly different from the number in 2013.
In addition, the mean age at first use of marijuana among past year marijuana initiates aged 26 to 49 was higher in 2010 than in 2013, but the means in 2011 and 2012 were not significantly different from the mean in 2013 (Table B.7). Since 2002, only the mean age at first use of marijuana in 2010 (36.3 years) was significantly different from the mean in 2013 (31.2 years) for past year marijuana initiates in this age group. The mean age at first use for any illicit drug among past year initiates aged 26 to 49 in 2013 (35.4 years) was greater than the means in 2004 and 2009 (31.6 and 31.7 years, respectively), but it was not significantly different from the means in other years. Again, these findings indicate the importance of examining substance initiation trends across a larger range of years for this age group. Except for the differences that were indicated, trends in the mean age at initiation for marijuana and any illicit drug among initiates aged 26 to 49 have been fairly stable since 2002.
Similarly, the mean age at first use of inhalants among past year initiates aged 12 to 49 was higher in 2013 than in 2012 (19.2 vs. 16.9 years) (see Chapter 5). In comparison, the median ages at first use for inhalants, which are less susceptible to the influence of extreme values, were 18 years for past year initiates aged 12 to 49 in 2013 and 16 years for those in 2012. Thus, the higher mean in 2013 could be explained by the effect of extreme values on the age at first use in 2013. This finding also underscores the importance of reviewing mean ages at first use across a larger range of years. Anomalous 1-year shifts in the mean age at first use typically "correct" themselves with 1 or 2 additional years of data.
Because NSDUH is a survey of persons aged 12 years old or older at the time of the interview, younger individuals in the sample dwelling units are not eligible for selection into the NSDUH sample. Some of these younger persons may have initiated substance use during the past year. As a result, past year initiate estimates suffer from undercoverage if a reader assumes that these estimates reflect all initial users instead of reflecting only those above the age of 11. For earlier years, data can be obtained retrospectively based on the age at and date of first use. As an example, persons who were 12 years old on the date of their interview in the 2013 survey may report having initiated use of cigarettes between 1 and 2 years ago; these persons would have been past year initiates reported in the 2012 survey had persons who were 11 years old on the date of the 2012 interview been allowed to participate in the survey. Similarly, estimates of past year use by younger persons (age 10 or younger) can be derived from the current survey, but they apply to initiation in prior years and not the survey year.
To get an impression of the potential undercoverage in the current year, reports of substance use initiation reported by persons aged 12 or older were estimated for the years in which these persons would have been 1 to 11 years younger. These estimates do not necessarily reflect behavior by persons 1 to 11 years younger in the current survey. Instead, the data for the 11 year olds reflect initiation in the year prior to the current survey, the data for the 10 year olds reflect behavior between the 12th and 23rd months prior to this year's survey, and so on. A very rough way to adjust for the difference in the years that the estimate pertains to without considering changes in the population is to apply an adjustment factor to each age-based estimate of past year initiates. This adjustment factor can be based on a ratio of lifetime users aged 12 to 17 in the current survey year to the same estimate for the prior applicable survey year. To illustrate the calculation, consider past year use of alcohol. In the 2013 survey, 101,441 persons who were 12 years old were estimated to have initiated use of alcohol between 1 and 2 years earlier. These persons would have been past year initiates in the 2012 survey conducted on the same dates had the 2012 survey covered younger persons. The estimated number of lifetime users currently aged 12 to 17 was 7,669,220 for 2013 and 8,067,487 for 2012, indicating fewer overall initiates of alcohol use among persons aged 17 or younger in 2013. Thus, an adjusted estimate of initiation of alcohol use by persons who were 11 years old in 2013 is given by
. D
This yielded an adjusted estimate of 96,433 persons 11 years old on a 2013 survey date and initiating use of alcohol in the past year:
. D
A similar procedure was used to adjust the estimated number of past year initiates among persons who would have been 10 years old on the date of the interview in 2011 and for younger persons in earlier years. The overall adjusted estimate for past year initiates of alcohol use by persons 11 years of age or younger on the date of the interview was 161,183, or about 3.5 percent of the estimate based on past year initiation only by persons aged 12 or older (161,183 ÷ 4,558,527 = 0.0354). Based on similar analyses, the estimated undercoverage of past year initiates was 2.3 percent for cigarettes, 1.1 percent for marijuana, and 13.4 percent for inhalants.
The undercoverage of past year initiates aged 11 or younger also affects the mean age at first use estimate. An adjusted estimate of the mean age at first use was calculated using a weighted estimate of the mean age at first use based on the current survey and the numbers of persons aged 11 or younger in the past year obtained in the aforementioned analysis for estimating undercoverage of past year initiates. Analysis results showed that the mean age at first use was changed from 17.3 to 17.0 for alcohol, from 17.8 to 17.6 for cigarettes, from 18.0 to 17.9 for marijuana, and from 19.2 to 17.7 for inhalants. The decreases reported above are comparable with results generated in prior survey years.
The 2013 NSDUH CAI instrumentation included questions that were designed to measure alcohol and illicit drug dependence and abuse. For these substances,16 dependence and abuse questions were based on the criteria in the Diagnostic and Statistical Manual of Mental Disorders, 4th edition (DSM-IV) (American Psychiatric Association [APA], 1994). Specifically, for marijuana, hallucinogens, inhalants, and tranquilizers, a respondent was defined as having dependence if he or she met three or more of the following six dependence criteria:
For alcohol, cocaine, heroin, pain relievers, sedatives, and stimulants, a seventh withdrawal criterion was added. The seventh withdrawal criterion is defined by a respondent reporting having experienced a certain number of withdrawal symptoms that vary by substance (e.g., having trouble sleeping, cramps, hands tremble). A respondent was defined as having dependence if he or she met three or more of seven dependence criteria for these substances.
For each illicit drug and alcohol, a respondent was defined as having abused that substance if he or she met one or more of the following four abuse criteria and was determined not to be dependent on the respective substance in the past year:
Criteria used to determine whether a respondent was asked about the dependence and abuse questions during the interview included the core substance use questions, the frequency of substance use questions (for alcohol and marijuana only), and the noncore substance use questions (for cocaine, heroin, and stimulants, including methamphetamine). Missing or incomplete responses in the core substance use and frequency of substance use questions were imputed. However, the imputation process did not take into account reported data in the noncore (i.e., substance dependence and abuse) CAI modules because of the complexity of doing this and to avoid disrupting trends for imputed variables as a result of any changes to the noncore questions. Very infrequently, this may result in responses to the dependence and abuse questions that are inconsistent with the imputed substance use or frequency of substance use.
For alcohol and marijuana, respondents were asked the dependence and abuse questions if they reported substance use on more than 5 days in the past year, or if they reported any substance use in the past year but did not report their frequency of past year use (i.e., they had missing frequency data). These missing frequency data were subsequently imputed after data collection processing. Therefore, inconsistencies could have occurred where the imputed frequency of use response indicated less frequent use than required for respondents to be asked the dependence and abuse questions originally (i.e., the imputed frequency value was 5 or fewer days). For alcohol, for example, about 40,000 respondents were past year alcohol users in 2013. Of these, fewer than 100 respondents were missing their frequency data, but were still asked the alcohol dependence and abuse questions; however, their final imputed frequency of use indicated that they used alcohol on 5 or fewer days in the past year.
For cocaine, heroin, and stimulants, respondents were asked the dependence and abuse questions if they reported past year use in a core drug module or past year use in the noncore special drugs module. Thus, the CAI logic allowed some respondents to be asked the dependence and abuse questions for these drugs even if they did not report past year use in the corresponding core module. For cocaine, for example, fewer than 1,400 respondents in 2013 were asked the questions about cocaine dependence and abuse because they reported past year use of cocaine or crack in the core section of the interview. Fewer than 10 additional respondents were asked these questions because they reported past year use of cocaine with a needle in the special drugs module despite not having previously reported past year use of cocaine or crack.
In 2005, two new questions were added to the noncore special drugs module about past year methamphetamine use: "Have you ever, even once, used methamphetamine?" and "Have you ever, even once, used a needle to inject methamphetamine?" In 2006, an additional follow-up question was added to the noncore special drugs module confirming prior responses about methamphetamine use: "Earlier, the computer recorded that you have never used methamphetamine. Which answer is correct?" The responses to these new questions were used in the skip logic for the stimulant dependence and abuse questions. Based on the decisions made during the methamphetamine analysis,17 respondents who indicated past year methamphetamine use solely from these new special drug use questions (i.e., did not indicate methamphetamine use from the core drug module or other questions in the special drugs module) were categorized as NOT having past year stimulant dependence or abuse regardless of how they answered the dependence and abuse questions. Furthermore, if these same respondents were categorized as not having past year dependence or abuse of any other psychotherapeutic drug (e.g., pain relievers, tranquilizers, or sedatives), then they were categorized as NOT having past year dependence or abuse of psychotherapeutics. Also, if these respondents were not classified as having dependence or abuse for other substances (e.g., alcohol, marijuana, other illicit drugs), then they were categorized as not having dependence or abuse for illicit drugs, illicit drugs or alcohol, or illicit drugs and alcohol.
In 2008, questionnaire logic for determining hallucinogen, stimulant, and sedative dependence or abuse was modified. The revised skip logic used information collected in the noncore special drugs module in addition to that collected in questions from the core drug modules. Respondents were asked about hallucinogen dependence and abuse if they additionally reported in the special drugs module using ketamine, dimethyltryptamine (DMT), alpha-methyltryptamine (AMT), Foxy, or Salvia divinorum; stimulant dependence and abuse if they additionally reported nonmedical use of Adderall®; and sedative dependence and abuse if they additionally reported nonmedical use of Ambien®. Complying with the previous decision to exclude respondents whose methamphetamine use was based solely on responses to noncore questions from being classified as having stimulant dependence or abuse, respondents who indicated past year use or nonmedical use of hallucinogens, stimulants, or sedatives based solely on these special drug questions were categorized as NOT having past year dependence or abuse of the relevant substance regardless of how they answered the dependence and abuse questions.
Respondents might have provided ambiguous information about past year use of any individual substance, in which case these respondents were not asked the dependence and abuse questions for that substance. Subsequently, these respondents could have been imputed to be past year users of the respective substance. In this situation, the dependence and abuse data were unknown; thus, these respondents were classified as not having dependence or abuse of the respective substance. However, such a respondent never actually was asked the dependence and abuse questions.
| Main Effects | Two-Way Interactions |
|---|---|
| 1 Combinations of the age groups (including but not limited to 12 or older, 18 or older, 26 or older, 35 or older, and 50 or older) also were forced to match their respective U.S. Census Bureau population estimates through the weight calibration process. 2 Unlike racial/ethnic groups discussed elsewhere in this report, race domains in this table include Hispanics in addition to persons who were not Hispanic. Source: SAMHSA, Center for Behavioral Health Statistics and Quality, National Survey on Drug Use and Health, 2013. |
|
| Age Group | |
| 12-17 | |
| 18-25 | |
| 26-34 | |
| 35-49 | |
| 50-64 | |
| 65 or Older | |
| All Combinations of Groups Listed Above1 | |
| Age Group × Gender | |
| Gender | (e.g., Males Aged 12 to 17) |
| Male | |
| Female | |
| Age Group × Hispanic Origin | |
| Hispanic Origin | (e.g., Hispanics or Latinos Aged 18 to 25) |
| Hispanic or Latino | |
| Not Hispanic or Latino | |
| Age Group × Race | |
| Race2 | (e.g., Whites Aged 26 or Older) |
| White | |
| Black or African American | |
| Age Group × Geographic Region | |
| Geographic Region | (e.g., Persons Aged 12 to 25 in the Northeast) |
| Northeast | |
| Midwest | |
| South | Age Group × Geographic Division |
| West | (e.g., Persons Aged 65 or Older in New England) |
| Geographic Division | |
| New England | Gender × Hispanic Origin |
| Middle Atlantic | (e.g., Not Hispanic or Latino Males) |
| East North Central | |
| West North Central | |
| South Atlantic | Hispanic Origin × Race |
| East South Central | (e.g., Not Hispanic or Latino Whites) |
| West South Central | |
| Mountain | |
| Pacific | |
| Estimate | Suppress if: |
|---|---|
| deff = design effect; RSE = relative standard error; SE = standard error. Source: SAMHSA, Center for Behavioral Health Statistics and Quality, National Survey on Drug Use and Health, 2013. |
|
| Prevalence Rate, with Nominal Sample Size, n, and Design Effect, deff
|
(1) The estimated prevalence rate, (2) (3) (4) Note: The rounding portion of this suppression rule for prevalence rates will produce some estimates that round at one decimal place to 0.0 or 100.0 percent but are not suppressed from the tables. |
| Estimated Number (Numerator of |
The estimated prevalence rate, Note: In some instances when |
| Mean Age at First Use, with Nominal Sample Size, n |
(1) (2) |
Below is a graph. Click here for the text describing this graph.
Figure B.1 Required Effective Sample in the 2013 NSDUH as a Function of the Proportion Estimated

| Final Screening Result Code | Sample Size 2012 |
Sample Size 2013 |
Weighted Percentage 2012 |
Weighted Percentage 2013 |
|---|---|---|---|---|
| 1 Examples of "Other, Ineligible" cases are those in which all residents lived in the dwelling unit for less than half of the calendar quarter and dwelling units that were listed in error. 2 "Other, Access Denied" includes all dwelling units to which the field interviewer was denied access, including locked or guarded buildings, gated communities, and other controlled access situations. Source: SAMHSA, Center for Behavioral Health Statistics and Quality, National Survey on Drug Use and Health, 2012 and 2013. |
||||
| TOTAL SAMPLE | 214,274 | 227,075 | 100.00 | 100.00 |
| Ineligible Cases | 35,688 | 37,008 | 16.57 | 15.96 |
| Eligible Cases | 178,586 | 190,067 | 83.43 | 84.04 |
| INELIGIBLES | 35,688 | 37,008 | 16.57 | 15.96 |
| 10 - Vacant | 19,257 | 19,839 | 51.50 | 51.74 |
| 13 - Not a Primary Residence | 8,520 | 8,220 | 27.46 | 24.52 |
| 18 - Not a Dwelling Unit | 2,496 | 2,617 | 6.52 | 6.70 |
| 22 - All Military Personnel | 352 | 374 | 0.97 | 0.90 |
| Other, Ineligible1 | 5,063 | 5,958 | 13.55 | 16.13 |
| ELIGIBLE CASES | 178,586 | 190,067 | 83.43 | 84.04 |
| Screening Complete | 153,873 | 160,325 | 86.07 | 83.93 |
| 30 - No One Selected | 92,991 | 98,431 | 50.99 | 50.51 |
| 31 - One Selected | 33,455 | 34,424 | 19.12 | 18.38 |
| 32 - Two Selected | 27,427 | 27,470 | 15.96 | 15.04 |
| Screening Not Complete | 24,713 | 29,742 | 13.93 | 16.07 |
| 11 - No One Home | 3,029 | 3,244 | 1.62 | 1.56 |
| 12 - Respondent Unavailable | 457 | 473 | 0.26 | 0.27 |
| 14 - Physically or Mentally Incompetent | 597 | 598 | 0.32 | 0.30 |
| 15 - Language Barrier - Hispanic | 48 | 96 | 0.03 | 0.06 |
| 16 - Language Barrier - Other | 748 | 821 | 0.50 | 0.52 |
| 17 - Refusal | 16,807 | 21,086 | 9.39 | 11.39 |
| 21 - Other, Access Denied2 | 2,359 | 2,549 | 1.37 | 1.40 |
| 24 - Other, Eligible | 14 | 24 | 0.01 | 0.01 |
| 27 - Segment Not Accessible | 0 | 0 | 0.00 | 0.00 |
| 33 - Screener Not Returned | 90 | 73 | 0.05 | 0.04 |
| 39 - Fraudulent Case | 563 | 776 | 0.37 | 0.50 |
| 44 - Electronic Screening Problem | 1 | 2 | 0.00 | 0.00 |
| Final Interview Code | 12+ Sample Size 2012 |
12+ Sample Size 2013 |
12+ Weighted Percentage 2012 |
12+ Weighted Percentage 2013 |
12-17 Sample Size 2012 |
12-17 Sample Size 2013 |
12-17 Weighted Percentage 2012 |
12-17 Weighted Percentage 2013 |
18+ Sample Size 2012 |
18+ Sample Size 2013 |
18+ Weighted Percentage 2012 |
18+ Weighted Percentage 2013 |
|---|---|---|---|---|---|---|---|---|---|---|---|---|
| 1 "Other" includes eligible person moved, data not received from field, too dangerous to interview, access to building denied, computer problem, and interviewed wrong household member. Source: SAMHSA, Center for Behavioral Health Statistics and Quality, National Survey on Drug Use and Health, 2012 and 2013. |
||||||||||||
| TOTAL | 87,656 | 88,742 | 100.00 | 100.00 | 27,147 | 27,630 | 100.00 | 100.00 | 60,509 | 61,112 | 100.00 | 100.00 |
| 70 - Interview Complete | 68,309 | 67,838 | 73.04 | 71.69 | 22,492 | 22,532 | 82.84 | 81.95 | 45,817 | 45,306 | 72.00 | 70.61 |
| 71 - No One at Dwelling Unit | 1,147 | 1,101 | 1.26 | 1.15 | 192 | 172 | 0.67 | 0.53 | 955 | 929 | 1.33 | 1.22 |
| 72 - Respondent Unavailable | 1,445 | 1,521 | 1.75 | 1.81 | 276 | 314 | 1.00 | 1.15 | 1,169 | 1,207 | 1.83 | 1.88 |
| 73 - Break-Off | 21 | 23 | 0.05 | 0.03 | 0 | 4 | 0.00 | 0.01 | 21 | 19 | 0.06 | 0.04 |
| 74 - Physically/ Mentally Incompetent | 1,023 | 1,012 | 1.95 | 1.95 | 274 | 284 | 1.16 | 1.03 | 749 | 728 | 2.04 | 2.04 |
| 75 - Language Barrier - Hispanic | 116 | 105 | 0.17 | 0.16 | 9 | 5 | 0.02 | 0.02 | 107 | 100 | 0.18 | 0.17 |
| 76 - Language Barrier - Other | 419 | 409 | 1.24 | 1.12 | 30 | 29 | 0.15 | 0.13 | 389 | 380 | 1.36 | 1.22 |
| 77 - Refusal | 11,488 | 12,606 | 18.63 | 19.90 | 900 | 1,016 | 3.37 | 3.62 | 10,588 | 11,590 | 20.25 | 21.62 |
| 78 - Parental Refusal | 2,787 | 3,111 | 0.97 | 1.04 | 2,787 | 3,111 | 10.06 | 10.95 | 0 | 0 | 0.00 | 0.00 |
| 91 - Fraudulent Case | 158 | 93 | 0.22 | 0.17 | 44 | 18 | 0.17 | 0.10 | 114 | 75 | 0.22 | 0.18 |
| Other1 | 743 | 923 | 0.73 | 0.96 | 143 | 145 | 0.56 | 0.52 | 600 | 778 | 0.75 | 1.01 |
| Demographic Characteristic | Selected Persons 2012 |
Selected Persons 2013 |
Completed Interviews 2012 |
Completed Interviews 2013 |
Weighted Response Rate 2012 |
Weighted Response Rate 2013 |
|---|---|---|---|---|---|---|
| NOTE: Estimates are based on demographic information obtained from screener data and are not consistent with estimates on demographic characteristics presented in the 2012 and 2013 sets of detailed tables. Source: SAMHSA, Center for Behavioral Health Statistics and Quality, National Survey on Drug Use and Health, 2012 and 2013. |
||||||
| TOTAL | 87,656 | 88,742 | 68,309 | 67,838 | 73.04% | 71.69% |
| AGE IN YEARS | ||||||
| 12-17 | 27,147 | 27,630 | 22,492 | 22,532 | 82.84% | 81.95% |
| 18-25 | 28,639 | 28,921 | 22,762 | 22,458 | 79.26% | 77.34% |
| 26 or Older | 31,870 | 32,191 | 23,055 | 22,848 | 70.76% | 69.45% |
| GENDER | ||||||
| Male | 42,942 | 43,823 | 32,869 | 32,840 | 71.24% | 69.97% |
| Female | 44,714 | 44,919 | 35,440 | 34,998 | 74.71% | 73.30% |
| RACE/ETHNICITY | ||||||
| Hispanic | 13,906 | 14,369 | 11,168 | 11,278 | 74.95% | 74.03% |
| White | 56,374 | 56,577 | 43,165 | 42,305 | 72.19% | 70.47% |
| Black | 10,074 | 10,304 | 8,433 | 8,561 | 79.06% | 78.76% |
| All Other Races | 7,302 | 7,492 | 5,543 | 5,694 | 67.06% | 66.23% |
| REGION | ||||||
| Northeast | 18,301 | 18,334 | 13,773 | 13,661 | 69.59% | 68.75% |
| Midwest | 24,499 | 24,842 | 19,142 | 18,822 | 74.27% | 71.54% |
| South | 26,279 | 26,758 | 20,886 | 20,782 | 74.22% | 73.32% |
| West | 18,577 | 18,808 | 14,508 | 14,573 | 72.75% | 71.48% |
| COUNTY TYPE | ||||||
| Large Metropolitan | 39,096 | 40,266 | 29,918 | 30,126 | 71.21% | 70.40% |
| Small Metropolitan | 30,250 | 30,100 | 23,859 | 23,290 | 75.23% | 73.38% |
| Nonmetropolitan | 18,310 | 18,376 | 14,532 | 14,422 | 75.05% | 72.82% |
| Drug/Age Group | 2002 | 2003 | 2004 | 2005 | 2006 | 2007 | 2008 | 2009 | 2010 | 2011 | 2012 | 2013 |
|---|---|---|---|---|---|---|---|---|---|---|---|---|
| *Low precision; no estimate reported. a Difference between estimate and 2013 estimate is statistically significant at the .05 level. b Difference between estimate and 2013 estimate is statistically significant at the .01 level. Source: SAMHSA, Center for Behavioral Health Statistics and Quality, National Survey on Drug Use and Health, 2002-2013. |
||||||||||||
| Marijuana, Aged 12 or Older | 2,196a | 1,973b | 2,142a | 2,114a | 2,061b | 2,089b | 2,224 | 2,379 | 2,439 | 2,617 | 2,398 | 2,427 |
| Marijuana, Aged 26 or Older | 90a | 88a | 176 | 252 | 126 | 134 | 159 | 49b | 247 | 182 | 177 | 210 |
| Marijuana, Aged 26 to 49 | 90 | 56b | 127 | 122 | 126 | 121 | 155 | 49b | 210 | 138 | 139 | 178 |
| Any Illicit Drug, Aged 12 or Older | 2,656 | 2,627 | 2,784 | 2,908 | 2,785 | 2,672 | 2,905 | 3,136 | 2,982 | 3,083 | 2,883 | 2,848 |
| Any Illicit Drug, Aged 26 or Older | 268 | 324 | 479 | 579 | 415 | 326 | 419 | 433 | 457 | 368 | 339 | 389 |
| Any Illicit Drug, Aged 26 to 49 | 251 | 209 | 333 | 379 | 405 | 250 | 350 | 205 | 366 | 270 | 280 | 325 |
| Drug | 2002 | 2003 | 2004 | 2005 | 2006 | 2007 | 2008 | 2009 | 2010 | 2011 | 2012 | 2013 |
|---|---|---|---|---|---|---|---|---|---|---|---|---|
| *Low precision; no estimate reported. a Difference between estimate and 2013 estimate is statistically significant at the .05 level. b Difference between estimate and 2013 estimate is statistically significant at the .01 level. Source: SAMHSA, Center for Behavioral Health Statistics and Quality, National Survey on Drug Use and Health, 2002-2013. | ||||||||||||
| Marijuana | 31.2 | 29.6 | 29.5 | 30.4 | 29.1 | 32.4 | 32.6 | 32.2 | 36.3a | 29.5 | 33.1 | 31.2 |
| Any Illicit Drug | 34.8 | 32.8 | 31.6a | 34.0 | 33.9 | 32.9 | 35.1 | 31.7a | 37.2 | 33.0 | 35.0 | 35.4 |
There are sources of substance use data other than the National Survey on Drug Use and Health (NSDUH). It is useful to consider the results of these other studies when discussing NSDUH data because no single source of data can fully cover all issues associated with substance use in the United States. Each data source can contribute to a broader understanding of substance use and the relationships of substance use to other issues of interest. This appendix briefly describes several of these other data systems and presents selected comparisons with NSDUH results. In addition, this appendix describes other sources of data specifically for receipt of substance abuse treatment services. Populations covered by other sources of data for substance abuse treatment may overlap with the population covered by NSDUH, but also may include populations not covered by NSDUH (e.g., persons receiving treatment in facilities as an inpatient or resident for an extended period, persons entering treatment as an inpatient after having been incarcerated). Some of the surveys on substance use included in this appendix also include populations not covered by NSDUH.
When evaluating the information presented here, it is important to consider and understand the methodological differences between the different surveys and the impact that these differences could have on estimates of the presence of substance use. Several studies have compared NSDUH estimates with estimates from other studies and have evaluated how differences may have been affected by differences in survey methodology (Batts et al., 2014; Center for Behavioral Health Statistics and Quality [CBHSQ], 2012a; Gfroerer, Wright, & Kopstein, 1997b; Grucza, Abbacchi, Przybeck, & Gfroerer, 2007; Hennessy & Ginsberg, 2001; Miller et al., 2004; Pemberton et al., 2013). These comparisons suggest that the goals and approaches of surveys are often different, making comparisons between them difficult. Some methodological differences that have been identified as affecting comparisons include populations covered, sampling methods, modes of data collection, questionnaires, and estimation methods.
The Behavioral Risk Factor Surveillance System (BRFSS)—a State-based system of health surveys—collects information on health risk behaviors, preventive health practices, and health care access primarily related to chronic disease and injury. The BRFSS surveys are cross-sectional telephone surveys conducted by State health departments with technical and methodological assistance from the Centers for Disease Control and Prevention (CDC). Every year, States conduct monthly telephone surveys of adults (aged 18 or older) in households using random-digit-dialing (RDD) methods; unlike NSDUH, BRFSS excludes persons living in group quarters (e.g., dormitories).
Currently, the questionnaire has three parts: (1) a core questionnaire, (2) optional modules, and (3) State-added questions. The core questionnaire consists of a standard set of questions asked by all States every year and includes questions on demographic characteristics, alcohol use, and tobacco use. Questions about lifetime depression have been included in the core since 2011. Optional modules consist of questions on specific topics that States can elect to include. Although the modules are optional, CDC standards require that States use them without modification. Optional modules include mental health topics, such as anxiety, depression, or psychological distress. However, the number of States administering optional modules can vary from year to year, and the content of these modules can vary over time. For example, 12 States and Puerto Rico administered the anxiety and depression module in 2010, but only 2 States did so in 2011. States also may include State-added questions at their own expense. However, these questions are not part of the official BRFSS questionnaire. Development of these questions and analysis of data from them are not supported by the CDC.
Since 1994, BRFSS has collected data from all 50 States, the District of Columbia, Puerto Rico, and the U.S. Virgin Islands using a computer-assisted telephone interviewing (CATI) design. More than 400,000 adults are interviewed each year. Prior to 2011, the sample included only households with landline telephones, and the weighting methodology included a poststratification step. Beginning with the 2011 BRFSS, the sample was expanded to include households with only cellular telephones in addition to those that were covered by landline phones, and the weighting methodology replaced the poststratification step with raking in order to incorporate more demographic variables (e.g., education level, home ownership) as well as telephone source (landline or cellular telephone). These changes were recognized as having the potential to produce shifts in prevalence estimates in 2011 and subsequent years relative to estimates in prior years that were based on the previous methodology (CDC, 2012). The CDC has since concluded that the BRFSS 2011 prevalence data should be considered a baseline year because of these methodological changes.
National estimates obtained through the BRFSS online analysis tool or in publications that cite BRFSS data typically are presented as medians.18 BRFSS includes questions on alcohol consumption and tobacco use. However, definitions of binge alcohol use and current cigarette use differ between NSDUH and BRFSS. Since 2006, BRFSS has used a lower threshold for binge alcohol use for females (four or more drinks on an occasion) than for males (five or more drinks on an occasion), whereas NSDUH uses the same criterion for males and females (i.e., consumption of five or more drinks on an occasion). Current cigarette users in BRFSS are defined as adults who have smoked 100 or more cigarettes in their lifetime and who report that they currently smoke cigarettes. In NSDUH, current cigarette use is defined as any cigarette use in the 30 days prior to the interview.
These differences in definitions and methodological differences can affect the comparability of estimates between BRFSS and NSDUH. For example, the prevalence of current cigarette use among adults in NSDUH in 2012 was 23.8 percent, and the median BRFSS prevalence for the 50 States and the District of Columbia was 19.6 percent. Although BRFSS data are presented as medians and NSDUH estimates are not, BRFSS rates of binge drinking were somewhat lower than the NSDUH estimates among adults aged 18 or older in 2012, despite the lower threshold for women (e.g., for females: 11.4 percent for BRFSS and 16.8 percent for NSDUH). The use of audio computer-assisted self-interviewing (ACASI) in NSDUH, which is considered to be more anonymous than CATI in BRFSS and yields higher reporting of sensitive behaviors, may explain lower binge alcohol use rates in combined 1999 and 2000 BRFSS data than in corresponding NSDUH data (Miller et al., 2004).19 Response rates also have been higher in NSDUH than BRFSS, which could result in differential nonresponse bias patterns in the two surveys.
For further details, see the CDC Web site at http://www.cdc.gov/brfss/.
The Monitoring the Future (MTF) study is an ongoing study of substance use trends and related attitudes among America's secondary school students, college students, and adults through age 50. The MTF provides information on the use of alcohol, illicit drugs, and tobacco. The study is conducted annually by the Institute for Social Research at the University of Michigan through grants awarded by the National Institute on Drug Abuse (NIDA). The MTF and NSDUH are the Federal Government's largest and primary tools for tracking youth substance use. The MTF is composed of three substudies: (a) an annual survey of high school seniors that was initiated in 1975; (b) ongoing panel studies of representative samples from each graduating class (i.e., 12th graders) that have been conducted by mail since 1976; and (c) annual surveys of 8th and 10th graders that were initiated in 1991. Each spring, students in the 8th, 10th, and 12th grades complete a self-administered, machine-readable questionnaire during a regular class period. Approximately 50,000 students in about 420 public and private secondary schools are surveyed annually for the cross-sectional study, and approximately 2,400 persons who participated in the survey of 12th graders are followed longitudinally. The latest MTF was conducted in 2013.
Comparisons between the MTF estimates and estimates based on students sampled in NSDUH generally have shown NSDUH substance use prevalence levels to be lower than MTF estimates (see Table C.1 at the end of this appendix and CBHSQ, 2012a).20 The lower prevalences in NSDUH may be due to more underreporting in the household setting as compared with the MTF school setting and some overreporting in the school settings. However, findings presented in Chapter 8 of this report generally show parallel trends in the prevalence of substance use in NSDUH and MTF for both the annual cross-sectional data for youths and the longitudinal data for young adults.
The population of inference for the MTF school-based data collection is adolescents who were in the 8th, 10th, and 12th grades; therefore, the MTF does not survey dropouts. The MTF also does not include students who were absent from school on the day of the survey, although they are part of the population of inference. NSDUH has shown that dropouts and adolescents who frequently were absent from school have higher rates of illicit drug use (CBHSQ, 2012a; Gfroerer et al., 1997b). In October 2012, the percentages of persons who were not currently enrolled in school and had not graduated from high school were 1.7 percent for adolescents aged 14 or 15, 2.9 percent for those aged 16 or 17, 7.1 percent for persons aged 18 or 19, and 6.6 percent for those aged 20 or 21.21 Depending on the effects of the exclusion of dropouts and frequent absentees, data from MTF may not generalize to the population of adolescents as a whole, especially for older adolescents.
For further details, see the MTF Web site at http://www.monitoringthefuture.org/.
The National Comorbidity Survey (NCS) was sponsored by the National Institute of Mental Health (NIMH), NIDA, and the W.T. Grant Foundation. It was designed to measure in the general population the prevalence of the illnesses described in the Diagnostic and Statistical Manual of Mental Disorders, 3rd edition revised (DSM-III-R) (American Psychiatric Association [APA], 1987). The first wave of the NCS, conducted from 1990 to 1992, was a household survey of persons in the continental United States (i.e., excluding Alaska and Hawaii) that collected data from 8,098 respondents aged 15 to 54 in a face-to-face interview using paper-and-pencil interviewing (PAPI). These responses were weighted to produce nationally representative estimates. A random sample of 4,414 respondents also was administered an additional module that captured information on nicotine dependence. The interviews took place between 1990 and 1992. The NCS used a modified version of the Composite International Diagnostic Interview (the University of Michigan-CIDI) to generate DSM-III-R diagnoses.
There have been several follow-ups to and replications of the original NCS, including a 10-year follow-up of the baseline sample (NCS-2), a replication study conducted in 2001 to 2003 with a newly recruited nationally representative sample of 9,282 respondents aged 18 or older (NCS-R) (Kessler et al., 2004), and an adolescent sample of adolescents aged 13 to 17 (NCS-A) in 2001 to 2004 that included 904 adolescents from households that participated in the NCS-R and 9,244 respondents from a nationally representative sample of 320 schools (Kessler et al., 2009). As for the NCS, the samples for the NCS-2, NCS-R, and NCS-A excluded Alaska and Hawaii.
The NCS provides information on the use of alcohol, illicit drugs, and tobacco and on substance dependence or abuse. The NCS-R used an updated version of the CIDI that was designed to capture diagnoses of substance abuse or dependence using DSM-IV criteria (APA, 1994). Interviews were conducted using computer-assisted personal interviewing (CAPI). It should be noted that in several NCS-R studies (e.g., Kessler, Chiu, Demler, Merikangas, & Walters, 2005), the diagnosis for abuse also includes those who meet the diagnosis for dependence. In contrast, NSDUH follows DSM-IV guidelines and limits the definition of abuse to persons who do not meet the criteria for dependence. To make the NCS definition of abuse comparable with that of NSDUH, the rate for dependence must be subtracted from the rate for abuse. Rates of alcohol dependence or abuse and rates of illicit drug dependence or abuse were generally lower in NCS-R than in NSDUH (Kessler et al., 2005).
For further details, see the NCS Web site at http://www.hcp.med.harvard.edu/ncs/.
The National Health and Nutrition Examination Survey (NHANES) has assessed the health and nutritional status of children and adults in the United States since the 1960s through the use of both survey and physical examination components. It is sponsored by the National Center for Health Statistics (NCHS) and began as a series of periodic surveys in which several years of data were combined into a single data release. Since 1999, it has been a continuous survey, with interview data collected each year for approximately 5,000 persons of all ages. The target population for NHANES is the civilian, noninstitutionalized population from birth onward. Data for 2011-2012 are the most currently available for public use; 2 years of data are combined to protect respondent confidentiality.
NHANES interviews are conducted in respondents' homes. NHANES also collects physical health measurements and data on sensitive topics through ACASI in mobile examination centers (MECs), which travel to locations throughout the United States. The NHANES MEC interview includes questions on alcohol, illicit drug, and tobacco use.
Both NSDUH and NHANES use complex cluster sample designs that affect the precision of estimates. In addition, the smaller sample sizes for NHANES (i.e., 5,000 per year vs. 67,500 per year for NSDUH) are likely to yield estimates that are less precise than those in NSDUH. The sources of nonresponse and coverage bias also differ for the two surveys. For example, NHANES respondents have to travel to a MEC to respond to the substance use items, which may eliminate homebound respondents or affect the participation of respondents with limited access to transportation.
The most recently available substance use estimates from NHANES were based on combined data from 1999 to 2004 and indicated that 13.0 percent of youths aged 12 to 17 had smoked cigarettes in the past 30 days, 21.1 percent had used alcohol in the past 30 days, and 10.4 percent were past month binge alcohol users. An estimated 21.1 percent of youths had ever tried marijuana, and 2.4 percent had ever used cocaine (Fryar, Merino, Hirsch, & Porter, 2009). NSDUH estimates for youths aged 12 to 17 in 2002 to 2004 ranged from 11.9 to 13.0 percent for past month use of cigarettes, from 17.6 to 17.7 percent for past month alcohol use, and from 10.6 to 11.1 percent for past month binge alcohol use. Lifetime use of marijuana in 2002 to 2004 among youths ranged from 19.0 to 20.6 percent, and lifetime use of cocaine ranged from 2.4 to 2.7 percent.
For further details, see the NHANES Web site at http://www.cdc.gov/nchs/nhanes.htm.
The National Health Interview Survey (NHIS) is a continuous, nationally representative sample survey that collects data using personal household interviews through CAPI. The survey is sponsored by the NCHS and provides national estimates of the health status, access to care and insurance, health service utilization, and health behaviors of the civilian, noninstitutionalized population, including cigarette smoking and alcohol use among persons aged 18 or older. NHIS data have been collected since 1957. In 2012, there were three core components of the survey: the Family Core, which collects information from all family members aged 18 or older in each household; the Sample Adult Core, which collects information from one adult aged 18 or older in each family; and the Sample Child Core, which collects information on youths under age 18 from a knowledgeable family member, usually a parent, in households with a child. In 2012, NHIS sample sizes were 108,131 persons for the Family Core, 34,525 adults for the Sample Adult Core, and 13,275 children for the Sample Child Core (NCHS, Office of Information Services, 2013).
The NHIS estimates of substance use for adults are not strictly comparable with NSDUH estimates. For example, in the NHIS, consumption of five or more drinks on at least 1 day is measured for the past year, whereas the reference period for NSDUH is the past 30 days. As for BRFSS, adults in the NHIS are defined as current cigarette users if they smoked at least 100 cigarettes in their lifetime and also reported that they currently smoke (Schoenborn, Adams, & Peregoy, 2013).
For further details, see the NCHS Web site at http://www.cdc.gov/nchs/nhis.htm.
The National Longitudinal Alcohol Epidemiologic Survey (NLAES) was conducted in 1991 and 1992 by the U.S. Bureau of the Census for the National Institute on Alcohol Abuse and Alcoholism (NIAAA). Face-to-face, interviewer-administered interviews using paper-and-pencil questionnaires were conducted with 42,862 respondents aged 18 or older in households in the contiguous United States. Despite the survey name, the design was cross-sectional.
The National Epidemiologic Survey on Alcohol and Related Conditions (NESARC) was a longitudinal study conducted in 2001 and 2002, also by the U.S. Bureau of the Census for NIAAA, using CAPI. The NESARC sample was designed to make inferences for persons aged 18 or older in the civilian, noninstitutionalized population of the United States, including Alaska, Hawaii, and the District of Columbia, and including persons living in noninstitutional group quarters. The first wave was conducted in 2001 and 2002, with a final sample size of 43,093 respondents aged 18 or older. The second wave was conducted in 2004 and 2005, in which 34,653 Wave 1 respondents were reinterviewed (Grant & Dawson, 2006; NIAAA, 2010). A 1-year data collection period for NESARC-III began in 2012 with a new cohort of approximately 46,500 adults.
NESARC contains assessments of drug use, dependence, and abuse and associated mental disorders. NESARC included an extensive set of questions, based on DSM-IV criteria (APA, 1994), designed to assess the presence of symptoms of alcohol and drug dependence and abuse in persons' lifetimes and during the prior 12 months. In addition, DSM-IV diagnoses of major mental disorders were generated using the Alcohol Use Disorder and Associated Disabilities Interview Schedule-version 4 (AUDADIS-IV), which is a structured diagnostic interview that captures major DSM-IV axis I and axis II disorders.
Research indicates that (a) prevalence estimates for substance use were generally higher in NSDUH than in NESARC; (b) rates of past year substance use disorder (SUD) for cocaine and heroin use were higher in NSDUH than in NESARC; (c) rates of past year SUD for use of alcohol, marijuana, and hallucinogens were similar between NSDUH and NESARC; and (d) prevalence estimates for past year SUD conditional on past year use were substantially lower in NSDUH for the use of marijuana, hallucinogens, and cocaine (Grucza et al., 2007). A number of methodological factors might have contributed to such discrepancies, including privacy and anonymity. Questions about sensitive topics in NSDUH are self-administered, while similar questions are interviewer administered in NESARC, which may have resulted in higher use estimates in NSDUH. In addition, differences in SUD diagnostic instrumentation may have resulted in higher SUD prevalence among past year substance users in NESARC.
For further details about NLAES, see Stinson et al. (1998). For an overview of NESARC findings, see Caetano (2006).
The National Longitudinal Study of Adolescent Health (Add Health) was conducted to measure the effects of family, peer group, school, neighborhood, religious institution, and community influences on health risks, such as tobacco, drug, and alcohol use. Add Health was initiated in 1994 and supported by grants from the Eunice Kennedy Shriver National Institute of Child Health and Human Development (NICHD) with cofunding from 23 other Federal agencies and foundations.
The study began in 1994-1995 (Wave I) with an in-school questionnaire administered to a nationally representative sample of 90,000 students in grades 7 to 12 in 144 schools and followed up with an in-home interview. In Wave I, the students were administered brief, machine-readable questionnaires during a regular class period. Interviews also were conducted with about 20,000 students and their parents in the students' homes using a combined CAPI and ACASI design. In Wave II, conducted in 1996, about 15,000 students in grades 8 to 12 were interviewed a second time in their homes. In Wave III in 2001-2002, about 15,000 of the original Add Health respondents, then aged 18 to 26, were reinterviewed to investigate how adolescent experiences and behaviors are related to outcomes during the transition to adulthood. Wave IV was conducted in 2007-2008 when the approximately 15,000 respondents were aged 24 to 32. The study provides information on the use of alcohol, illicit drugs, and tobacco.
For further details, see the Add Health Web site at http://www.cpc.unc.edu/projects/addhealth.
The Partnership Attitude Tracking Study (PATS), an annual national research study that tracks attitudes about illegal drugs, is sponsored by the Partnership at Drugfree.org and the MetLife Foundation. PATS consists of two nationally representative samples—a teenage sample for students in grades 9 through 12 and a parent sample. Adolescents complete self-administered, machine-readable questionnaires during a regular class period. The latest PATS surveys of teenagers and parents were conducted in 2012. The 2012 survey of adolescents included questions about use of cigarettes, alcohol, and illicit drugs. In 2012, 3,884 teenagers were surveyed nationwide in the 24th wave of the survey conducted since 1987, and 817 parents or caregivers of children in grades 9 to 12 were surveyed (Partnership at Drugfree.org & MetLife Foundation, 2013).
In general, NSDUH estimates of substance use prevalence for adolescents are lower than PATS estimates for youths in that age group. In 2012, for example, PATS estimates of marijuana use among adolescents in grades 9 through 12 were 45 percent for lifetime use and 24 percent for use in the past month (Partnership at Drugfree.org & MetLife Foundation, 2013). In 2012, corresponding estimates of lifetime marijuana use in NSDUH were 23.8 percent for 10th graders and 38.5 percent for 12th graders (Table C.1). Rates of past month marijuana use in NSDUH were 10.9 percent for 10th graders and 15.5 percent for 12th graders. The differences in prevalence estimates may be due to the different study designs. The youth portion of PATS is a school-based survey, which, similar to other school-based surveys (e.g., MTF), may elicit more reporting of illicit drug use than the home-based NSDUH.
For further details, see the Partnership at Drugfree.org Web site at http://www.drugfree.org/.
Since 1991, the Youth Risk Behavior Survey (YRBS) has been a component of the CDC's Youth Risk Behavior Surveillance System (YRBSS), which measures the prevalence of six priority health risk behavior categories: (a) behaviors that contribute to unintentional injuries and violence; (b) tobacco use; (c) alcohol and other drug use; (d) sexual behaviors that contribute to unintended pregnancy and sexually transmitted diseases, including human immunodeficiency virus infection; (e) unhealthy dietary behaviors; and (f) physical inactivity. The YRBSS includes national, State, territorial, tribal, and local school-based surveys of high school students conducted every 2 years. The national school-based survey uses a three-stage cluster sample design to produce a nationally representative sample of students in grades 9 through 12 who attend public and private schools. The State and local surveys use a two-stage cluster sample design to produce representative samples of public school students in grades 9 through 12 in their jurisdictions. The YRBS is conducted during the spring, with students completing a self-administered, machine-readable questionnaire during a regular class period. For the 2013 national YRBS (the latest that has been conducted), 13,583 usable questionnaires were obtained in 148 schools.
In general, the YRBS school-based survey has found higher rates of substance use for youths than those found in NSDUH (Table C.2).22 The lower prevalence rates in NSDUH are likely due to the differences in study design. As in the case of comparisons with estimates from the MTF, the lower prevalences in NSDUH may be due to more underreporting in the household setting, as compared with the YRBS school setting, and some overreporting in the school settings.
Similar to other school-based surveys, the population of inference for the YRBS is the population of adolescents who are in school, specifically those in the 9th through 12th grades. Consequently, the YRBS does not include data from dropouts. The YRBS makes follow-up attempts to obtain data from youths who were absent on the day of survey administration, but nevertheless does not obtain complete coverage of these youths. For these reasons, YRBS data are not intended to be used for making inferences about the adolescent population of the United States as a whole.
For further details, see the CDC Web site at http://www.cdc.gov/HealthyYouth/yrbs/.
The Substance Abuse and Mental Health Services Administration's (SAMHSA's) Behavioral Health Services Information System (BHSIS, formerly the Drug and Alcohol Services Information System, or DASIS) includes three components that provide national- and State-level information on the numbers and characteristics of individuals admitted to substance abuse treatment programs and that describe the facilities that deliver care to those individuals. The core of BHSIS is the Inventory of Behavioral Health Services (I-BHS), a continually updated, comprehensive listing of all known substance abuse and mental health treatment facilities; further details about I-BHS are not included in this section. The two other components of BHSIS are described in this section: the National Survey of Substance Abuse Treatment Services (N-SSATS) and the Treatment Episode Data Set (TEDS).
The National Survey of Substance Abuse Treatment Services (N-SSATS) started in 2000 and is an annual survey of all known drug and alcohol abuse treatment facilities in the United States and U.S. jurisdictions. The 2012 N-SSATS facility universe totaled 19,316 facilities. About 17 percent of the facilities in 2012 were found to be ineligible because they had closed or did not provide substance abuse treatment or detoxification. Of the remaining eligible facilities, more than 14,000 (93 percent) completed the survey. The 2012 N-SSATS employed three sequential data collection modes: a secure Web-based questionnaire, a paper questionnaire sent by mail upon request to facilities that had not responded to the Web-based questionnaire, and a telephone interview for facilities that had not responded to the Web or paper questionnaire. The percentage of facilities responding via the Web increased from 44 percent in 2007 to 81 percent in 2012 (CBHSQ, 2013).
In N-SSATS, facilities provide information on the characteristics of the treatment facility, including (but not limited to) client payment sources, services provided, and hospital and residential capacity. N-SSATS also collects data from facilities on the number of clients in treatment on the survey reference date (i.e., the last working day of March in the survey year, such as March 30, 2012) and the percentages of clients in treatment on the reference date for abuse of alcohol and other drugs, alcohol abuse only, other drug abuse only, and co-occurring substance abuse and mental health disorders. Average counts of the number of persons in treatment for alcohol or illicit drug abuse on a single day were about 1.2 million based on N-SSATS data from 2007 to 2009. Corresponding average single-day counts from NSDUH were about 1.4 million based on the questionnaire item asking about treatment on October 1st and 1.2 million based on the item about currently being in treatment at the time of the interview.23 Compared with data reported by facilities in N-SSATS, NSDUH respondents were more likely to report treatment only for alcohol and were less likely to report treatment only for illicit drugs (Batts et al., 2014).
As noted previously, N-SSATS collects data on substance abuse treatment utilization from facilities. In contrast, NSDUH estimates of treatment utilization are based on self-reports of treatment from respondents in the general population. The validity of N-SSATS data on treatment utilization depends on the accuracy of the reports provided by the person(s) responding on behalf of the facility just as the validity of NSDUH estimates on the receipt of substance abuse treatment depends on accurate respondent self-reports. Also, N-SSATS counts of clients who received treatment cover clients who may be outside of the NSDUH target population (e.g., homeless persons not living in shelters, active-duty military personnel). In addition, N-SSATS percentages of clients receiving treatment both for alcohol and other drugs, only alcohol, and only other drugs are based on responses to a single question that asks a facility staff member to assign these percentages to each category. In contrast, NSDUH respondents who reported receiving treatment at a specialty facility are asked about the substances for which they received treatment.
For further details, see the SAMHSA Web site at https://www.samhsa.gov/data/.
The Treatment Episode Data Set (TEDS) is a compilation of data on the demographic characteristics and substance abuse problems of those aged 12 or older who are admitted for substance abuse treatment, based on administrative data that are routinely collected by State substance abuse agencies (SSAs) for substance abuse treatment. SSAs report data to TEDS for approximately 2 million annual admissions to treatment in the United States and Puerto Rico primarily from facilities that receive some public funding. The TEDS system consists of two major components—the Admissions Data Set and the Discharge Data Set. The TEDS Admissions Data Set includes annual client-level data on substance abuse treatment admissions since 1992. The TEDS Discharge Data Set can be linked at the record level to admissions and includes information from clients discharged in 2000 and later. The most current TEDS data at the time this report was written were the 2012 admissions data and the 2011 discharge data.
The TEDS Admissions Data Set consists of a Minimum Data Set collected by all States and a Supplemental Data Set collected by some States. The Minimum Data Set consists of 19 items that include demographic information; primary, secondary, and tertiary substance problems at admission; source of referral; number of prior treatment episodes; and service type at admission. Supplemental Data Set items consist of 17 items that include psychiatric, social, and economic measures. The TEDS Discharge Data Set consists of items on service type at discharge, reason for discharge (e.g., completed treatment, transferred to another program or facility, dropped out), and length of stay (LOS). LOS is calculated by subtracting the admission date from the discharge date (or date of last contact). Based on linked admissions and discharge data, the average number of persons who received treatment in the past year based on TEDS data from 2007 to 2009 was about 22 percent lower than the average from 2005 to 2010 in NSDUH for treatment in a specialty facility (1.9 million vs. 2.4 million). The single-day count of persons in treatment from TEDS was about 0.5 million, which was lower than the single-day counts for N-SSATS (1.2 million) and NSDUH (1.2 million to 1.4 million, depending on the questions that were used; see the N-SSATS section in this appendix).24 Thus, TEDS may underestimate the number of persons in treatment on a single day (Batts et al., 2014).
Although TEDS includes data for a sizable proportion of admissions to substance abuse treatment, it does not include all admissions. Because TEDS is a compilation of data from State administrative systems, the scope of facilities included in TEDS is affected by differences in State reporting requirements, licensure, certification, and accreditation practices, as well as disbursement of public funds. Many SSAs require facilities that receive public funding (including Federal block grant funds) for substance abuse treatment services to report data to the SSA, whereas others require all facilities that are licensed or certified by the State to report TEDS data. States also vary in terms of the specific admissions that are reported to TEDS (e.g., all admissions to eligible facilities that report to TEDS versus admissions financed by public funds).
For further details, see the SAMHSA Web site at https://www.samhsa.gov/data/.
The 2011 Department of Defense Health Related Behaviors Survey of Active Duty Military Personnel (HRB survey) was updated extensively since the last iteration of the survey in 2008. For the first time, the survey was administered using a Web-based individual self-administered questionnaire rather than through an onsite group administration of paper-and-pencil questionnaires. Because of this change in survey administration, the 2011 sample was no longer clustered geographically. The questionnaire also was revised to allow use of skip logic to reduce respondent burden and additional alignment with questions in national surveys of civilian populations, such as the NHIS. For example, current cigarette use was defined in the 2011 HRB survey based on the NHIS definition of persons having smoked 100 or more cigarettes in their lifetime and now smoking on some days or every day; the NSDUH definition of current cigarette use is any use of cigarettes in the past 30 days. The 2011 HRB survey sample consisted of 39,877 active-duty, nondeployed service members in the Army, Navy, Marine Corps, Air Force, and Coast Guard (Barlas, Higgins, Pflieger, & Diecker, 2013). The survey provides information about the use of alcohol, illicit drugs, and tobacco. Because of changes to procedures for sampling, data collection (including questionnaire changes), weighting, data processing, and analysis, estimates from the 2011 HRB survey are not directly comparable with estimates from prior HRB survey administrations. Consequently, the 2011 HRB survey represents a new baseline.
In administrations of this survey prior to 2011, comparisons with NSDUH data have consistently shown that, even after accounting for demographic differences between the military and civilian populations, the military personnel had higher rates of heavy alcohol use than their civilian counterparts, similar rates of cigarette use, and lower rates of illicit drug use (Bray et al., 2009). Published comparisons of rates of heavy alcohol use, binge alcohol use, and cigarette use between military personnel and civilians based on 2011 HRB survey data were not adjusted for demographic differences between the populations other than to limit the civilian data to persons aged 18 to 65, thus affecting the conclusions that can be drawn from comparisons between the HRB and civilian data sources.
The National Inmate Surveys were conducted in 2007 (NIS-1) and in 2008-2009 (NIS-2). They fulfill the requirements of the Prison Rape Elimination Act of 2003 (P.L. 108-79) for the Bureau of Justice Statistics (BJS) to provide a list of prisons and jails according to the prevalence of sexual victimization. BJS added a companion survey on drug and alcohol use and treatment to both the NIS-1 and NIS-2. Inclusion of the companion survey on substance use and treatment was designed to prevent facility staff from knowing whether inmates were selected to receive the survey on sexual victimization or the companion survey and also was intended to provide more recent information on substance use and related issues among correctional populations in the United States compared with the Surveys of Inmates in State and Federal Correctional Facilities (see below).
The NIS used a two-stage probability sample design first to select State and Federal correctional facilities, then to select inmates within sampled facilities. This resulted in a sample representing approximately 10 percent of the 1,260 State and 192 Federal adult confinement facilities identified in the 2005 Census of State and Federal Adult Correctional Facilities. At least one facility in every State was selected; Federal facilities were grouped together and treated like a State for sampling purposes. The sample design also ensured a sufficient number of women in the sample. Samples were restricted to confinement facilities (i.e., institutions in which fewer than 50 percent of the inmates were regularly permitted to leave for work, study, or treatment without being accompanied by facility staff). The NIS samples also excluded community-based facilities, such as halfway houses, group homes, and work release centers. Inmates aged 18 or older within sampled facilities were randomly selected for the interview.
The NIS-1 was conducted in 146 State and Federal prisons and in 282 local jails between April and August 2007. Overall NIS-1 response rates for both survey forms were 72 percent for prison inmates and 67 percent for jail inmates. A total of 7,754 prison or jail inmates completed the drug and alcohol survey for the NIS-1. The NIS-2 was conducted in 167 State and Federal prisons and 286 jails between October 2008 and August 2009. NIS-2 response rates were 71 percent for prison inmates and 68 percent for jail inmates. A total of 5,015 prison or jail inmates completed the drug and alcohol survey for the NIS-2.
The interviews used CAPI for general background information at the beginning of the interview and ACASI for the remainder. Respondents completed the ACASI portion of the interview in private, with the interviewer either leaving the room or moving away from the computer. Sampled inmates were randomly assigned to receive the sexual victimization survey or the companion survey on substance use and treatment. Substance use questions were based on items from past inmate surveys conducted by BJS, such as the 2004 Survey of Inmates in State Correctional Facilities (SISCF), and included questions about lifetime and first use of drugs or alcohol, being under the influence of drugs or alcohol at the time of their current offense, substance use prior to being admitted to the facility, problems associated with substance use, and treatment for use of drugs or alcohol.
For further details about the NIS, see BJS's "All Data Collections" Web page at http://bjs.ojp.usdoj.gov/index.cfm?ty=dca. Results from the drug and alcohol use and treatment surveys are expected in 2015. Upon release of the findings, data will be made available at the National Archive of Criminal Justice Data (http://www.icpsr.umich.edu/NACJD/).
The Survey of Inmates in State Correctional Facilities (SISCF) and the Survey of Inmates in Federal Correctional Facilities (SIFCF) have provided nationally representative data on State prison inmates and sentenced Federal inmates held in federally owned and operated facilities. The Survey of State Inmates was conducted in 1974, 1979, 1986, 1991, 1997, and 2004, and the Survey of Federal Inmates in 1991, 1997, and 2004. The U.S. Census Bureau conducted the 2004 SISCF for the BJS and the SIFCF for BJS and the Federal Bureau of Prisons. Both surveys provide information about current offense and criminal history; family background and personal characteristics; prior drug and alcohol use and treatment; gun possession; and prison treatment, programs, and services. The surveys are the only national source of detailed information on criminal offenders, particularly special populations such as drug and alcohol users and offenders who have mental health problems. Systematic random sampling was used to select the inmates, and the SISCF and SIFCF in 2004 were administered through CAPI. In 2004, 14,499 State prisoners in 287 State prisons and 3,686 Federal prisoners in 39 Federal prisons were interviewed.
Prior drug use among State prisoners remained stable on all measures between 1997 and 2004, while the percentage of Federal inmates who reported prior drug use rose on most measures (Mumola & Karberg, 2006). For the first time, half of Federal inmates reported drug use in the month before their offense. In 2004, measures of drug dependence and abuse based on criteria in DSM-IV (APA, 1994) were introduced, and 53 percent of the State and 45 percent of Federal prisoners met the DSM-IV criteria for drug abuse or dependence. The survey results indicate substantially higher rates of drug use among State and Federal prisoners as compared with NSDUH's rates for the general household population.
For further details, see BJS's "All Data Collections" Web page at http://bjs.ojp.usdoj.gov/index.cfm?ty=dca.
| Drug/Current Grade Level | MTF Lifetime (2012) |
MTF Lifetime (2013) |
NSDUH Lifetime (2012) |
NSDUH Lifetime (2013) |
MTF Past Year (2012) |
MTF Past Year (2013) |
NSDUH Past Year (2012) |
NSDUH Past Year (2013) |
MTF Past Month (2012) |
MTF Past Month (2013) |
NSDUH Past Month (2012) |
NSDUH Past Month (2013) |
|---|---|---|---|---|---|---|---|---|---|---|---|---|
| MTF = Monitoring the Future; NSDUH = National Survey on Drug Use and Health. -- Not available. NOTE: NSDUH data have been drawn from January to June of each survey year and subset to persons aged 12 to 20 to be more comparable with MTF data. a Difference between this estimate and the 2013 estimate within the same survey is statistically significant at the .05 level. b Difference between this estimate and the 2013 estimate within the same survey is statistically significant at the .01 level. Sources: National Institute on Drug Abuse, Monitoring the Future Study, University of Michigan, 2012 and 2013. SAMHSA, Center for Behavioral Health Statistics and Quality, National Survey on Drug Use and Health, 2012 and 2013 (January-June). |
||||||||||||
| Marijuana | ||||||||||||
| 8th Grade | 15.2 | 16.5 | 7.8 | 6.8 | 11.4 | 12.7 | 5.9 | 5.6 | 6.5 | 7.0 | 3.0 | 2.5 |
| 10th Grade | 33.8 | 35.8 | 23.8 | 24.5 | 28.0 | 29.8 | 19.6 | 19.7 | 17.0 | 18.0 | 10.9 | 11.4 |
| 12th Grade | 45.2 | 45.5 | 38.5 | 38.1 | 36.4 | 36.4 | 29.1 | 31.1 | 22.9 | 22.7 | 15.5 | 17.4 |
| Cocaine | ||||||||||||
| 8th Grade | 1.9 | 1.7 | 0.3 | 0.2 | 1.2 | 1.0 | 0.2 | 0.1 | 0.5 | 0.5 | 0.0 | 0.1 |
| 10th Grade | 3.3 | 3.3 | 1.2 | 1.0 | 2.0 | 1.9 | 0.9 | 0.6 | 0.8 | 0.8 | 0.2 | 0.0 |
| 12th Grade | 4.9 | 4.5 | 3.9 | 3.1 | 2.7 | 2.6 | 2.1 | 1.7 | 1.1 | 1.1 | 0.3 | 0.2 |
| Inhalants | ||||||||||||
| 8th Grade | 11.8 | 10.8 | 7.8 | 6.4 | 6.2a | 5.2 | 3.5 | 2.5 | 2.7 | 2.3 | 1.1 | 0.9 |
| 10th Grade | 9.9 | 8.7 | 8.6 | 6.5 | 4.1 | 3.5 | 3.7a | 1.8 | 1.4 | 1.3 | 1.1 | 0.6 |
| 12th Grade | 7.9 | 6.9 | 6.8 | 5.3 | 2.9 | 2.5 | 2.5a | 1.1 | 0.9 | 1.0 | 0.4 | 0.1 |
| Cigarettes | ||||||||||||
| 8th Grade | 15.5 | 14.8 | 10.3 | 9.0 | -- | -- | 7.0 | 5.6 | 4.9 | 4.5 | 3.1 | 2.1 |
| 10th Grade | 27.7a | 25.7 | 24.8 | 22.5 | -- | -- | 16.7 | 15.4 | 10.8a | 9.1 | 8.5 | 8.8 |
| 12th Grade | 39.5 | 38.1 | 37.1 | 35.0 | -- | -- | 26.5 | 24.9 | 17.1 | 16.3 | 17.8 | 16.9 |
| Alcohol | ||||||||||||
| 8th Grade | 29.5 | 27.8 | 20.4 | 18.9 | 23.6 | 22.1 | 15.7 | 13.8 | 11.0 | 10.2 | 7.1 | 5.4 |
| 10th Grade | 54.0 | 52.1 | 44.7 | 44.3 | 48.5 | 47.1 | 38.8 | 36.8 | 27.6 | 25.7 | 17.8 | 17.7 |
| 12th Grade | 69.4 | 68.2 | 62.2 | 61.7 | 63.5 | 62.0 | 53.5 | 52.6 | 41.5a | 39.2 | 32.7 | 30.7 |
| Substance/Period of Use | YRBS (2005) |
YRBS (2007) |
YRBS (2009) |
YRBS (2011) |
YRBS (2013) |
NSDUH (2005) |
NSDUH (2007) |
NSDUH (2009) |
NSDUH (2011) |
NSDUH (2013) |
|---|---|---|---|---|---|---|---|---|---|---|
| NSDUH = National Survey on Drug Use and Health; YRBS = Youth Risk Behavior Survey. -- Not available. NOTE: NSDUH data have been drawn from January to June of each survey year and subset to persons aged 12 to 20 to be more comparable with YRBS data. Some 2007 and 2009 NSDUH estimates may differ from previously published estimates due to updates (see Section B.3 in Appendix B of this report). NOTE: Statistical tests for the YRBS were conducted using the "Youth Online" tool at http://www.cdc.gov/HealthyYouth/yrbs/. Results of testing for statistical significance in this table may differ from published YRBS reports of change. a Difference between this estimate and the 2013 estimate within the same survey is statistically significant at the .05 level. b Difference between this estimate and the 2013 estimate within the same survey is statistically significant at the .01 level. Sources: Centers for Disease Control and Prevention, Youth Risk Behavior Survey, 2005, 2007, 2009, 2011, and 2013. SAMHSA, Center for Behavioral Health Statistics and Quality, National Survey on Drug Use and Health, January-June for 2005, 2007, 2009, 2011, and 2013. |
||||||||||
| Marijuana | ||||||||||
| Lifetime Use | 38.4 | 38.1 | 36.8a | 39.9 | 40.7 | 28.1 | 26.4 | 27.8 | 29.3a | 27.1 |
| Past Month Use | 20.2a | 19.7b | 20.8a | 23.1 | 23.4 | 11.2 | 10.9 | 12.0 | 13.3 | 12.1 |
| Cocaine | ||||||||||
| Lifetime Use | 7.6b | 7.2a | 6.4 | 6.8a | 5.5 | 3.8b | 3.8b | 2.9b | 2.3a | 1.6 |
| Past Month Use | 3.4 | 3.3 | 2.8 | 3.0 | -- | 0.8b | 0.6b | 0.4 | 0.5a | 0.2 |
| Ecstasy | ||||||||||
| Lifetime Use | 6.3 | 5.8 | 6.7 | 8.2a | 6.6 | 2.8 | 2.9 | 3.3 | 4.3b | 3.1 |
| Past Month Use | -- | -- | -- | -- | -- | 0.4 | 0.4 | 0.8b | 0.7a | 0.3 |
| Inhalants | ||||||||||
| Lifetime Use | 12.4b | 13.3b | 11.7b | 11.4b | 8.9 | 12.0b | 10.7b | 10.1b | 8.1b | 6.0 |
| Past Month Use | -- | -- | -- | -- | -- | 1.1b | 1.1b | 0.6 | 0.6 | 0.4 |
| Cigarettes | ||||||||||
| Lifetime Use | 54.3b | 50.3b | 46.3b | 44.7a | 41.1 | 39.0b | 35.2b | 33.7b | 31.3b | 25.3 |
| Past Month Use | 23.0b | 20.0b | 19.5b | 18.1 | 15.7 | 17.0b | 15.5b | 14.9b | 14.5b | 10.4 |
| Alcohol | ||||||||||
| Lifetime Use | 74.3b | 75.0b | 72.5b | 70.8b | 66.2 | 57.5b | 57.6b | 56.5b | 52.4b | 47.8 |
| Past Month Use | 43.3b | 44.7b | 41.8b | 38.7b | 34.9 | 26.0b | 26.3b | 25.8b | 23.7b | 20.1 |
American Psychiatric Association. (1987). Diagnostic and statistical manual of mental disorders (DSM-III-R) (3rd rev. ed.). Washington, DC: Author.
American Psychiatric Association. (1994). Diagnostic and statistical manual of mental disorders (DSM-IV) (4th ed.). Washington, DC: Author.
Aquilino, W. S. (1994). Interview mode effects in surveys of drug and alcohol use: A field experiment. Public Opinion Quarterly, 58, 210-240.
Barlas, F. M., Higgins, W. B., Pflieger, J. C., & Diecker, K. (2013, February). 2011 Department of Defense Health Related Behaviors Survey of Active Duty Military Personnel (prepared under Contract No. GS-23F-8182H, Task Order No. W81XWH-10-F-0608 for the Assistant Secretary of Defense – Health Affairs and Task Order No. HSCG23-11-F-PMD008 for the U.S. Coast Guard). Fairfax, VA: ICF International.
Batts, K., Pemberton, M., Bose, J., Weimer, B., Henderson, L., Penne, M., Gfroerer, J., Trunzo, D., & Strashny, A. (2014). CBHSQ Data Review: Comparing and evaluating substance use treatment utilization estimates from the National Survey on Drug Use and Health and other data sources. Rockville, MD: Substance Abuse and Mental Health Services Administration, Center for Behavioral Health Statistics and Quality.
Bray, R. M., Pemberton, M. R., Hourani, L. L., Witt, M., Rae Olmsted, K. L., Brown, J. M., Weimer, B. J., Lane, M. E., Marsden, M. E., Scheffler, S. A., Vandermaas-Peeler, R., Aspinwall, K. R., Anderson, E. M., Spagnola, K., Close, K. L., Gratton, J. L., Calvin, S. L., & Bradshaw, M. R. (2009, September). 2008 Department of Defense Survey of Health Related Behaviors Among Active Duty Military Personnel: A component of the Defense Lifestyle Assessment Program (DLAP) (RTI/10940-FR, prepared under Contract No. GS-10F-0097L, Task Order No. W81XWH-07-F-0538, for the Assistant Secretary of Defense (Health Affairs) and Task Order No. HSCG23-07-F-PMD047 for the U.S. Coast Guard). Research Triangle Park, NC: RTI International.
Brener, N. D., Eaton, D. K., Kann, L., Grunbaum, J. A., Gross, L. A., Kyle, T. M., & Ross, J. G. (2006). The association of survey setting and mode with self-reported health risk behaviors among high school students. Public Opinion Quarterly, 70, 354-374.
Brener, N. D., Kann, L., Shanklin, S., Kinchen, S., Eaton, D. K., Hawkins, J., & Flint, K. H. (2013, March 1). Methodology of the Youth Risk Behavior Surveillance System—2013. Morbidity and Mortality Weekly Report Recommendations and Reports, 62(RR-1), 1-20.
Butler, M. A., & Beale, C. L. (1994, September). Rural-urban continuum codes for metro and non-metro counties, 1993 (Staff Report No. AGES 9425). Washington, DC: U.S. Department of Agriculture, Economic Research Service.
Caetano, R. (2006). NESARC findings on alcohol abuse and dependence. Alcohol Research & Health, 29, 152-155.
Catalano, R. F., Hawkins, J. D., Berglund, M. L., Pollard, J. A., & Arthur, M. W. (2002). Prevention science and positive youth development: Competitive or cooperative frameworks? Journal of Adolescent Health, 31(6 Suppl.), 230-239.
Center for Behavioral Health Statistics and Quality. (2011). Results from the 2010 National Survey on Drug Use and Health: Summary of national findings (HHS Publication No. SMA 11-4658, NSDUH Series H-41). Rockville, MD: Substance Abuse and Mental Health Services Administration.
Center for Behavioral Health Statistics and Quality. (2012a). Comparing and evaluating youth substance use estimates from the National Survey on Drug Use and Health and other surveys (HHS Publication No. SMA 12-4727, Methodology Series M-9). Rockville, MD: Substance Abuse and Mental Health Services Administration.
Center for Behavioral Health Statistics and Quality. (2012b). Results from the 2011 National Survey on Drug Use and Health: Summary of national findings (HHS Publication No. SMA 12-4713, NSDUH Series H-44). Rockville, MD: Substance Abuse and Mental Health Services Administration.
Center for Behavioral Health Statistics and Quality. (2013). National Survey of Substance Abuse Treatment Services (N-SSATS): 2012. Data on substance abuse treatment facilities (HHS Publication No. SMA 14-4809, Behavioral Health Services Information System Series S-66). Rockville, MD: Substance Abuse and Mental Health Services Administration.
Center for Behavioral Health Statistics and Quality. (2014a). 2012 National Survey on Drug Use and Health: Methodological resource book. Rockville, MD: Substance Abuse and Mental Health Services Administration.
Center for Behavioral Health Statistics and Quality. (2014b). 2013 National Survey on Drug Use and Health: Methodological resource book (Section 2, Sample design report). Rockville, MD: Substance Abuse and Mental Health Services Administration.
Centers for Disease Control and Prevention. (2012, June 8). Methodologic changes in the Behavioral Risk Factor Surveillance System in 2011 and potential effects on prevalence estimates. Morbidity and Mortality Weekly Report, 61, 410-413.
Chromy, J. R., Feder, M., Gfroerer, J., Hirsch, E., Kennet, J., Morton, K. B., Piper, L., Riggsbee, B. H., Snodgrass, J. A., Virag, T. G., & Yu, F. (2010). Reliability of key measures in the National Survey on Drug Use and Health (HHS Publication No. SMA 09-4425, Methodology Series M-8). Rockville, MD: Substance Abuse and Mental Health Services Administration, Office of Applied Studies.
Cohen, J. (1960). A coefficient of agreement for nominal scales. Educational and Psychological Measurement, 20, 37-46.
Deville, J. C., & Särndal, C. E. (1992). Calibration estimators in survey sampling. Journal of the American Statistical Association, 87, 376-382.
Fendrich, M., Johnson, T. P., Sudman, S., Wislar, J. S., & Spiehler, V. (1999). Validity of drug use reporting in a high-risk community sample: A comparison of cocaine and heroin survey reports with hair tests. American Journal of Epidemiology, 149, 955-962.
Folsom, R. E., & Singh, A. C. (2000). The generalized exponential model for sampling weight calibration for extreme values, nonresponse, and poststratification. In Proceedings of the 2000 Joint Statistical Meetings, American Statistical Association, Survey Research Methods Section, Indianapolis, IN (pp. 598-603). Alexandria, VA: American Statistical Association.
Fryar, C. D., Merino, M. C., Hirsch, R., & Porter, K. S. (2009, May 20). Smoking, alcohol use, and illicit drug use reported by adolescents aged 12-17 years: United States, 1999-2004. National Health Statistics Reports, No. 15, 1-23.
Gfroerer, J., Eyerman, J., & Chromy, J. (Eds.). (2002). Redesigning an ongoing national household survey: Methodological issues (HHS Publication No. SMA 03-3768). Rockville, MD: Substance Abuse and Mental Health Services Administration, Office of Applied Studies.
Gfroerer, J., Hughes, A., Chromy, J., Heller, D., & Packer, L. (2004, July). Estimating trends in substance use based on reports of prior use in a cross-sectional survey. In S. B. Cohen & J. M. Lepkowski (Eds.), Eighth Conference on Health Survey Research Methods: Conference proceedings [Peachtree City, GA] (HHS Publication No. PHS 04-1013, pp. 29-34). Hyattsville, MD: U.S. Department of Health and Human Services, Public Health Service, Centers for Disease Control and Prevention, National Center for Health Statistics.
Gfroerer, J., Lessler, J., & Parsley, T. (1997a). Studies of nonresponse and measurement error in the National Household Survey on Drug Abuse. In L. Harrison & A. Hughes (Eds.), The validity of self-reported drug use: Improving the accuracy of survey estimates (NIH Publication No. 97-4147, NIDA Research Monograph 167, pp. 273-295). Rockville, MD: National Institute on Drug Abuse.
Gfroerer, J., Wright, D., & Kopstein, A. (1997b). Prevalence of youth substance use: The impact of methodological differences between two national surveys. Drug and Alcohol Dependence, 47, 19-30.
Grant, B. F., & Dawson, D. A. (2006). Introduction to the National Epidemiologic Survey on Alcohol and Related Conditions. Alcohol Research & Health, 29, 74-78.
Grucza, R. A., Abbacchi, A. M., Przybeck, T. R., & Gfroerer, J. C. (2007). Discrepancies in estimates of prevalence and correlates of substance use and disorders between two national surveys. Addiction, 102, 623-629.
Grunbaum, J. A., Kann, L., Kinchen, S. A., Williams, B., Ross, J. G., Lowry, R., & Kolbe, L. (2002, June 28). Youth risk behavior surveillance—United States, 2001. Morbidity and Mortality Weekly Report CDC Surveillance Summaries, 51(4), 1-62.
Harrison, L., & Hughes, A. (Eds.). (1997). The validity of self-reported drug use: Improving the accuracy of survey estimates (NIH Publication No. 97-4147, NIDA Research Monograph 167). Rockville, MD: National Institute on Drug Abuse.
Harrison, L. D., Martin, S. S., Enev, T., & Harrington, D. (2007). Comparing drug testing and self-report of drug use among youths and young adults in the general population (HHS Publication No. SMA 07-4249, Methodology Series M-7). Rockville, MD: Substance Abuse and Mental Health Services Administration, Office of Applied Studies.
Hawkins, J. D., Catalano, R. F., & Miller, J. Y. (1992). Risk and protective factors for alcohol and other drug problems in adolescence and early adulthood: Implications for substance abuse prevention. Psychological Bulletin, 112(1), 64-105.
Hennessy, K. H., & Ginsberg, C. (Eds.). (2001). Substance use survey data collection methodologies and selected papers [Special issue]. Journal of Drug Issues, 31(3), 595-808.
Johnston, L. D., O'Malley, P. M., Bachman, J. G., & Schulenberg, J. E. (2013). Monitoring the Future national survey results on drug use, 1975-2012: Volume I, Secondary school students. Ann Arbor, MI: University of Michigan, Institute for Social Research.
Johnston, L. D., O'Malley, P. M., Bachman, J. G., Schulenberg, J. E., & Miech, R. A. (2014). Monitoring the Future national survey results on drug use, 1975-2013: Volume I, Secondary school students. Ann Arbor, MI: University of Michigan, Institute for Social Research.
Kann, L., Kinchen, S., Shanklin, S. L., Flint, K. H., Hawkins, J., Harris, W. A., Lowry, R., Olsen, E. O., McManus, T., Chyen, D., Whittle, L., Taylor, E., Demissie, Z., Brener, N., Thornton, J., Moore, J., & Zaza, S. (2014, June 13). Youth risk behavior surveillance—United States, 2013. Morbidity and Mortality Weekly Report CDC Surveillance Summaries, 63(Suppl. 4), 1-168.
Kessler, R. C., Avenevoli, S., Costello, J., Green, J. G., Gruber, M. J., Heeringa, S., Merikangas, K. R., Pennell, B. E., Sampson, N. A., & Zaslavsky, A. M. (2009). Design and field procedures in the US National Comorbidity Survey Replication Adolescent Supplement (NCS-A). International Journal of Methods in Psychiatric Research, 18(2), 69-83.
Kessler, R. C., Berglund, P., Chiu, W. T., Demler, O., Heeringa, S., Hiripi, E., Jin, R., Pennell, B. E., Walters, E. E., Zaslavsky, A, & Zheng, H. (2004). The US National Comorbidity Survey Replication (NCS-R): Design and field procedures. International Journal of Methods in Psychiatric Research, 13(2), 69-92.
Kessler, R. C., Chiu, W. T., Demler, O., Merikangas, K. R., & Walters, E. E. (2005). Prevalence, severity, and comorbidity of 12-month DSM-IV disorders in the National Comorbidity Survey Replication. Archives of General Psychiatry, 62, 617-627.
Landis, J. R., & Koch, G. G. (1977). The measurement of observer agreement for categorical data. Biometrics, 33, 159-174.
Manly, B. F. J. (1986). Multivariate statistical methods: A primer. London, England: Chapman and Hall.
Miller, J. W., Gfroerer, J. C., Brewer, R. D., Naimi, T. S., Mokdad, A., & Giles, W. H. (2004). Prevalence of adult binge drinking: A comparison of two national surveys. American Journal of Preventive Medicine, 27, 197-204.
Mumola, C. J., & Karberg, J. C. (2006, October [revised January 19, 2007]). Drug use and dependence, State and Federal prisoners, 2004 (NCJ 213530, BJS Special Report). Washington, DC: U.S. Department of Justice, Office of Justice Programs, Bureau of Justice Statistics.
National Center for Health Statistics, Office of Information Services. (2013, August). National Health Interview Survey (NHIS): 2012 data release. Retrieved from http://www.cdc.gov/nchs/nhis/nhis_2012_data_release.htm
National Institute on Alcohol Abuse and Alcoholism. (2010, September). Alcohol use and alcohol use disorders in the United States, a 3-year follow-up: Main findings from the 2004-2005 Wave 2 National Epidemiologic Survey on Alcohol and Related Conditions (NESARC) (U.S. Alcohol Epidemiologic Data Reference Manual, Vol. 8, No. 2, NIH Publication No. 10-7677). Bethesda, MD: National Institutes of Health.
Office of Applied Studies. (2005). Results from the 2004 National Survey on Drug Use and Health: National findings (HHS Publication No. SMA 05-4062, NSDUH Series H-28). Rockville, MD: Substance Abuse and Mental Health Services Administration.
Office of Applied Studies. (2009). Results from the 2008 National Survey on Drug Use and Health: National findings (HHS Publication No. SMA 09-4434, NSDUH Series H-36). Rockville, MD: Substance Abuse and Mental Health Services Administration.
Office of Management and Budget. (1997). Revisions to the standards for the classification of federal data on race and ethnicity. Federal Register, 62(210), 58781-58790.
Office of Management and Budget. (2003, June 6). Revised definitions of metropolitan statistical areas, new definitions of micropolitan statistical areas and combined statistical areas, and guidance on uses of the statistical definitions of these areas (OMB Bulletin No. 03-04). Washington, DC: The White House.
Partnership at Drugfree.org & MetLife Foundation. (2013, April 23). 2012 Partnership Attitude Tracking Study: Teens and parents. New York, NY: Author.
Pemberton, M., Bose, J., Kilmer, G., Kroutil, L., Forman-Hoffman, V., & Gfroerer, J. (2013). CBHSQ Data Review: Comparison of NSDUH health and health care utilization estimates to other national data sources. Rockville, MD: U.S. Department of Health and Human Services, Substance Abuse and Mental Health Services Administration, Center for Behavioral Health Statistics and Quality.
Robertson, E. B., David, S. L., & Rao, S. A. (2003, October). Preventing drug use among children and adolescents: A research-based guide for parents, educators, and community leaders (NIH Publication No. 04-4212(A), 2nd ed.). Bethesda, MD: National Institute on Drug Abuse.
RTI International. (2012). SUDAAN®, Release 11.0 [computer software]. Research Triangle Park, NC: Author.
Rubin, D. B. (1986). Statistical matching using file concatenation with adjusted weights and multiple imputations. Journal of Business and Economic Statistics, 4(1), 87-94.
Schoenborn, C. A., Adams, P. F., & Peregoy, J. A. (2013, May). Health behaviors of adults: United States, 2008-2010. Data from the National Health Interview Survey. Vital and Health Statistics, Series 10(257), 1-184.
Singh, A., Grau, E., & Folsom, R., Jr. (2002). Predictive mean neighborhood imputation for NHSDA substance use data. In J. Gfroerer, J. Eyerman, & J. Chromy (Eds.), Redesigning an ongoing national household survey: Methodological issues (HHS Publication No. SMA 03-3768, pp. 111-133). Rockville, MD: Substance Abuse and Mental Health Services Administration, Office of Applied Studies.
SRNT Subcommittee on Biochemical Verification. (2002). Biochemical verification of tobacco use and cessation. Nicotine & Tobacco Research, 4, 149-159.
Stinson, F. S., Yi, H.-Y., Grant, B. F., Chou, P., Dawson, D. A., & Pickering, R. (1998, November). Drinking in the United States: Main findings from the 1992 National Longitudinal Alcohol Epidemiologic Survey (NLAES) (NIH Publication No. 99-3519, U.S. Alcohol Epidemiologic Data Reference Manual, Vol. 6, 1st ed.). Bethesda, MD: National Institutes of Health, National Institute on Alcohol Abuse and Alcoholism.
Tourangeau, R., & Smith, T. W. (1996). Asking sensitive questions: The impact of data collection mode, question format, and question context. Public Opinion Quarterly, 60, 275-304.
Turner, C. F., Lessler, J. T., & Gfroerer, J. C. (Eds.). (1992). Survey measurement of drug use: Methodological studies (HHS Publication No. ADM 92-1929). Rockville, MD: National Institute on Drug Abuse.
This National Survey on Drug Use and Health (NSDUH) report was prepared by the Center for Behavioral Health Statistics and Quality (CBHSQ), Substance Abuse and Mental Health Services Administration (SAMHSA), U.S. Department of Health and Human Services (HHS), and by RTI International (a trade name of Research Triangle Institute), Research Triangle Park, North Carolina. Work by RTI was performed under Contract No. HHSS283201000003C.
Contributors at SAMHSA listed alphabetically, with chapter authorship noted, include Jonaki Bose (Chapter 1), Kathy Downey, Beth Han (Chapter 7), Sarra L. Hedden, Art Hughes (Chapter 8), Joel Kennet (Chapter 3), Rachel Lipari (Chapter 6), Pradip Muhuri (Chapter 5), Grace O'Neill (Chapter 4), Dicy Painter, and Peter Tice (Project Officer) (Chapter 2).
Contributors and reviewers at RTI listed alphabetically include Jeremy Aldworth, Katherine J. Asman, Stephanie N. Barnett, Kathryn R. Batts, Ellen Bishop, Pinliang (Patrick) Chen, James R. Chromy, Elizabeth A. P. Copello, Devon S. Cribb, Christine Davies, Teresa R. Davis, Ralph E. Folsom, Misty S. Foster, Peter Frechtel, Julia M. Gable, Rebecca A. Granger, Kristen Gulledge, Wafa Handley, Erica L. Hirsch, David Hunter (Project Director), Ilona S. Johnson, Greta A. Kilmer, Phillip S. Kott, Larry A. Kroutil, Jeffrey S. Laufenberg, Dan Liao, Philip Kam Lee, Martin D. Meyer, Andrew S. Moore, Katherine B. Morton, Lisa E. Packer, Michael R. Pemberton, Jeremy Porter, Harley F. Rohloff, Jessica Roycroft, Neeraja S. Sathe, Kathryn Spagnola, Jiantong (Jean) Wang, Lauren Klein Warren, and Cherie J. Winder.
Also at RTI, report and Web production staff listed alphabetically include Teresa F. Bass, Debbie F. Bond, Kimberly H. Cone, Valerie Garner, Melissa H. Hargraves, Laura James, E. Andrew Jessup, Shari B. Lambert, Farrah Bullock Mann, Brenda K. Porter, Pamela Couch Prevatt, Margaret A. Smith, Roxanne Snaauw, Richard S. Straw, Pamela Tuck, and Cheryl L. Velez.
1 RTI International is a trade name of Research Triangle Institute.
2 Since 2013, the question about race has included categories for Guamanian or Chamorro and for Samoan. Prior to 2013, these groups were reported in the interview as Other Pacific Islander.
3 Definitions for binge alcohol use and heavy alcohol use are given in the introduction to Chapter 3 in this report.
4 Initiation for pain relievers, tranquilizers, stimulants, or sedatives refers to first nonmedical use.
5 Due to rounding, percentages of past year initiates who initiated prior to age 18 that are calculated from the estimated numbers in Figure 5.8 may differ from the actual percentages.
6 Unlike other sections that present estimates among adults aged 18 or older, this section focuses on the associations between educational attainment and substance use disorders among adults aged 26 or older. Age is associated with both educational attainment and substance use disorders among adults aged 18 to 25. Many 18 year olds are still in high school. Many 18 to 22 year olds have some college education but have not yet received a college degree. College graduates generally are aged 22 or older. Moreover, in the United States, it is illegal to drink alcohol before age 21. The prevalence of alcohol use disorders among adults under the age of 21 often is lower than that among adults aged 21 to 25. Focusing on adults aged 26 or older minimizes the potential confounding effect of age on the associations between educational attainment and substance use disorders.
7 Estimates for the 2001 YRBS are not shown in Tables 8.1 and 8.3 for consistency with the new NSDUH baseline in 2002.
8 Prior to 2002, the survey was known as the National Household Survey on Drug Abuse (NHSDA).
9 SAE is a hierarchical Bayes modeling technique used to make State-level estimates for 25 measures related to substance use and mental health. For more details, see "2011-2012 NSDUH: Model-Based Prevalence Estimates (50 States and the District of Columbia)" (Tables 1 to 26, by Age Group) at https://www.samhsa.gov/data/report/2011-2012-nsduh-state-estimates-substance-use-and-mental-disorders.
10 Sampling areas were defined using 2000 census geography. Counts of dwelling units (DUs) and population totals were obtained from the 2000 decennial census data supplemented with revised population projections from Nielsen Claritas.
11 Census tracts are relatively permanent statistical subdivisions of counties and parishes and provide a stable set of geographic units across decennial census periods.
12 Some census tracts had to be aggregated in order to meet the minimum DU requirement of 150 DUs in urban areas and 100 DUs in rural areas.
13 A successfully screened household is one in which all screening questionnaire items were answered by an adult resident of the household and either zero, one, or two household members were selected for the NSDUH interview.
14 The usable case rule requires that a respondent answer "yes" or "no" to the question on lifetime use of cigarettes and "yes" or "no" to at least nine additional lifetime use questions.
15 Prior to 2002, NSDUH was known as the National Household Survey on Drug Abuse (NHSDA).
16 Substances include alcohol, marijuana, cocaine, heroin, hallucinogens, inhalants, pain relievers, tranquilizers, stimulants, and sedatives.
17 See Section B.4.8 in the Results from the 2008 National Survey on Drug Use and Health: National Findings (OAS, 2009) for the methamphetamine analysis decisions.
18 The BRFSS online analysis tool is available by clicking on the "Prevalence Data and Data Analysis Tools" link at http://www.cdc.gov/brfss/.
19 NSDUH and BRFSS in 1999 and 2000 used a threshold of five or more drinks for both males and females; see the BRFSS online analysis tool at http://www.cdc.gov/brfss/.
20 To examine estimates that are comparable with MTF data, NSDUH estimates presented in Table C.1 are based on data collected in the first 6 months of the survey year and are subset to ages 12 to 20.
21 These data were taken from the U.S. Census Bureau's Current Population Survey (CPS) and were available (at the time of publication) at http://www.census.gov/ by clicking on the "People" heading, selecting "School Enrollment," then selecting the detailed tables for "School Enrollment in the United States: 2012." Rates cited in this appendix are from the Census Bureau's Table 1 for all races and for both males and females.
22 To examine estimates that are comparable with YRBS data, NSDUH estimates presented in Table C.2 are based on data collected in the first 6 months of the survey year and are subset to ages 12 to 20.
23 Counts of the number of persons in treatment on a single day in N-SSATS were based on reports of the number of persons in treatment on the last working day of March. Corresponding NSDUH estimates were based on data from respondents from the 2008 to 2010 NSDUHs who reported that they were enrolled in a specialty substance use treatment program on October 1st of the year prior to the interview or those from the 2007 to 2009 NSDUHs who were in specialty substance use treatment at the time of the interview (Batts et al., 2014).
24 The numbers of persons in TEDS who received treatment were derived from linked admissions and discharge data or from adjusted admissions data for States that did not submit discharge data. Multiple admissions that were linked by a single unique identifier represented one person. Three States (Alabama, Alaska, and Georgia) and the District of Columbia were not included in the TEDS data because they did not report TEDS data or reported incomplete data. For comparison purposes, data from these States were excluded from NSDUH data on average numbers who received treatment in the past year. However, single-day counts for persons in treatment from N-SSATS and NSDUH included data from these States (Batts et al., 2014).