This document provides information on the model-based small area estimates of substance use and mental disorders in States based on data from the combined 2012-2013 National Surveys on Drug Use and Health (NSDUHs). These estimates are available online along with other related information.1 An annual survey of the civilian, noninstitutionalized population aged 12 or older, NSDUH is sponsored by the Substance Abuse and Mental Health Services Administration (SAMHSA). It collects information from individuals residing in households, noninstitutionalized group quarters (e.g., shelters, rooming houses, dormitories), and civilians living on military bases.
In 2012-2013, NSDUH collected data from 136,147 respondents aged 12 or older and was designed to obtain representative samples from the 50 States and the District of Columbia.2 The survey is planned and managed by SAMHSA's Center for Behavioral Health Statistics and Quality (CBHSQ). Data collection and analysis were conducted under contract with RTI International.3 Nationally in 2012-2013, 314,198 addresses were screened, and 136,147 individuals responded within the screened addresses (see Table C.9). The survey is conducted from January through December each year. The screening response rate (SRR) for 2012-2013 combined averaged 85.0 percent, and the interview response rate (IRR) averaged 72.4 percent, for an overall response rate (ORR) of 61.5 percent (Table C.9). The ORRs for 2012-2013 ranged from 45.8 percent in New York to 75.2 percent in Utah. Estimates have been adjusted to reflect the probability of selection, unit nonresponse, poststratification to known census population estimates, item imputation, and other aspects of the estimation process. These procedures are described in the 2011, 2012, and 2013 NSDUH's methodological resource books (MRBs) (CBHSQ, 2013, 2014, in press). For additional details on NSDUH's methodology, see Section A.2 of the 2011-2012 State small area estimation (SAE) methodology document.4
Section A.2 of this document lists all of the tables and files associated with the 2012-2013 State small area estimates and when and where they can be found. Information is given in Section A.3 on the confidence intervals and margins of error and how to make interpretations with respect to the small area estimates. Section A.4 discusses related substance use measures and warns users about not drawing conclusions by subtracting small area estimates from two different measures.
The survey-weighted hierarchical Bayes (SWHB) estimation methodology used in the production of State estimates from the 1999 to 2012 surveys also was used in the production of the 2012-2013 State estimates. The SWHB methodology is described in Appendix E of the 2001 State report (Wright, 2003b) and in Folsom, Shah, and Vaish (1999). The goals of SAE modeling and the implementation of SAE modeling remain the same and are described in Appendix E of the 2001 State report (Wright, 2003b). A general model description is given in Section B.1 of this document. A list of measures for which small area estimates are produced is given in Section B.2. Predictors used in the 2012-2013 SAE modeling are listed and described in Section B.3.
Small area estimates obtained using the SWHB methodology are design consistent (i.e., the small area estimates for States with large sample sizes are close to the robust design-based estimates). The State small area estimates when aggregated using the appropriate population totals result in national small area estimates that are very close to the national design-based estimates. However, to ensure internal consistency, it is desirable to have national small area estimates5 exactly match the national design-based estimates. The benchmarked State-level estimates are also potentially less biased than the unbenchmarked State-level estimates. Beginning in 2002, exact benchmarking was introduced, as described in Section B.4.6 Tables of the estimated numbers of individuals associated with each measure are available online,7 and an explanation of how these counts and their respective Bayesian confidence intervals8 are calculated can be found in Section B.5. Section B.6 discusses the method to compare the estimates of a particular measure between two States. For all measures except major depressive episode (MDE, i.e., depression), serious mental illness (SMI), any mental illness (AMI), and past year serious thoughts of suicide, the age groups for which estimates are provided are 12 to 17, 18 to 25, 26 or older, 18 or older, and 12 or older.9 Estimates of underage (aged 12 to 20) alcohol use and binge alcohol use were also produced. Alcohol consumption is expected to differ significantly across the 18 to 25 age group because of the legalization of alcohol at age 21. Therefore, it was decided that it would be useful to produce small area estimates for individuals aged 12 to 20.
In Section C, the 2011, 2012, 2013, pooled 2011-2012, and pooled 2012-2013 survey sample sizes, population estimates, and response rates are included in Tables C.1 to C.14, respectively. Table C.15 lists all of the measures and the years for which small area estimates were produced going back to the 2002 NSDUH, and Table C.16 lists all of the measures by age groups for which small area estimates were produced. In addition, Table C.17 provides a summary of milestones implemented in the SAE production process from 2002 to 2013.
In addition to this methodology document, the following files are also available at https://www.samhsa.gov/data/population-data-nsduh/reports?tab=33:
At the top of each of the 26 State model-based estimate tables11 is the design-based national estimate along with a 95 percent design-based confidence interval, all of which are based on survey weights and the reported data. The State and regional estimates are model-based statistics (using SAE methodology) that have been adjusted such that the population-weighted mean of the estimates across the 50 States and the District of Columbia equals the design-based national estimate. For more details on this benchmarking, see Section B.4. Associated with each State and regional estimate is a 95 percent Bayesian confidence interval. These intervals indicate the uncertainty in the estimate due to both sampling variability and model bias. For example, the State with the highest estimate of past month use of marijuana for young adults aged 18 to 25 was Rhode Island, with an estimate of 29.8 percent and a 95 percent confidence interval that ranged from 26.3 to 33.5 percent (Table 3 of the State model-based estimates' tables). Therefore, the probability is 0.95 that the true percentage of past month marijuana use in Rhode Island for young adults aged 18 to 25 is between 26.3 and 33.5 percent. As noted earlier in a Section A.1 footnote, the term "prediction interval" (PI) was used in the 2004-2005 NSDUH State report and prior reports to represent uncertainty in the State and regional estimates. However, that term also is used in other applications to estimate future values of a parameter of interest. That interpretation does not apply to NSDUH State model-based estimates, so PI was replaced with "Bayesian confidence interval."
Margin of error is another term used to describe uncertainty in the estimates. For example, if
is a 95 percent symmetric confidence interval for the population proportion (p) and
is an estimate of p obtained from the survey data, then the margin of error of
is given by
or
. Because
is a symmetric confidence interval,
will be the same as
. In this case, the probability is 0.95 that the true population value (p) is within ±
or ±
of the survey estimate (
). The margin of error defined above will vary for each estimate and will be affected not only by the sample size (e.g., the larger the sample, the smaller the margin of error), but also by the sample design (e.g., telephone surveys using random digit dialing and surveys employing a stratified multistage cluster design will, more than likely, produce a different margin of error) (Scheuren, 2004).
The confidence intervals shown in NSDUH reports are asymmetric, meaning that the distance between the estimate and the lower confidence limit will not be the same as the distance between the upper confidence limit and the estimate. For example, Utah's past month marijuana use estimate of 10.9 percent for adults aged 18 to 25 years with a 95 percent confidence interval equal to (8.7, 13.5) (see Table 3 of the State model-based estimates' tables). Therefore Utah's estimate is 2.2 (i.e., 10.9 − 8.7) percentage points from the lower 95 percent confidence limit and 2.6 (i.e., 13.5 − 10.9) percentage points from the upper limit. These asymmetric confidence intervals work well for small percentages often found in NSDUH tables and reports while still being appropriate for larger percentages. Some surveys or polls provide only one margin of error for all reported percentages. This single number is usually calculated by setting the sample percentage estimate (
) equal to 50 percent, which will produce an upper bound or maximum margin of error. Such an approach would not be feasible in NSDUH because the estimates vary from less than 1 percent to over 75 percent; hence, applying a single margin of error to these estimates could significantly overstate or understate the actual precision levels. Therefore, given the differences mentioned above, it is more useful and informative to report the confidence interval for each estimate instead of a margin of error.
When it is indicated that a State has the highest or lowest estimate, it does not imply that the State's estimate is significantly higher or lower than the next highest or lowest State. When comparing two State estimates, two overlapping 95 percent confidence intervals do not imply that their State estimates are statistically equivalent at the 5 percent level of significance. For details on a more accurate test to compare State estimates, see Section B.6.
Small area estimates are produced for a number of related drug measures, such as marijuana use and illicit drug use. It might appear that one could draw conclusions by subtracting one from the other (e.g., subtracting the percentage who used illicit drugs other than marijuana in the past month from the percentage who used illicit drugs in the past month to find the percentage who only used marijuana in the past month). Because related measures have been estimated with different models (i.e., separate models by age group and outcome), subtracting one measure from another related measure at the State or census region level can give misleading results, perhaps even a "negative" estimate, and should be avoided. However, these comparisons can be made at the national level because these estimates are design-based estimates. For example, at the national level, subtracting cigarette use estimates from tobacco use estimates will give the estimate of individuals who did not use cigarettes, but used other forms of tobacco.
The model can be characterized as a complex mixed12 model (including both fixed and random effects) of the following form:
, D
where
is the probability of engaging in the behavior of interest (e.g., using marijuana in the past month) for person-k belonging to age group-a in grouped State sampling region (SSR)-j of State-i.13 Let
denote a
vector of auxiliary (predictor) variables associated with age group-a (12 to 17, 18 to 25, 26 to 34, and 35 or older) and
denote the associated vector of regression parameters. The age group-specific vectors of auxiliary variables are defined for every block group in the Nation and also include person-level demographic variables, such as race/ethnicity and gender. The vectors of State-level random effects
and grouped SSR-level random effects
are assumed to be mutually independent with
and
, where
is the total number of individual age groups modeled (generally,
). For hierarchical Bayes (HB) estimation purposes, an improper uniform prior distribution is assumed for
, and proper Wishart prior distributions are assumed for
and
. The HB solution for
involves a series of complex Markov Chain Monte Carlo (MCMC) steps to generate values of the desired fixed and random effects from the underlying joint posterior distribution. The basic process is described in Folsom et al. (1999), Shah, Barnwell, Folsom, and Vaish (2000), and Wright (2003a, 2003b).
Once the required number of MCMC samples (1,250 in all) for the parameters of interest are generated and tested for convergence properties (see Raftery & Lewis, 1992), the small area estimates for each age group × race/ethnicity × gender cell within a block group can be obtained. These block group-level small area estimates then can be aggregated using the appropriate population count projections to form State-level small area estimates for the desired age group(s). These State-level small area estimates are benchmarked to the national design-based estimates as described in Section B.4.
The 2013 NSDUH data were pooled with the 2012 NSDUH data, and age group-specific State estimates for 25 binary (0, 1) measures were produced for the following outcomes:
Estimates of underage (aged 12 to 20) alcohol use and binge alcohol use were also produced. Comparisons between the 2011-2012 and the 2012-2013 State estimates were produced for all of these measures as well. For details on how measures such as AMI, SMI, MDE, illicit drugs, dependence or abuse, and average annual rate of first use of marijuana are defined, see "2011-2012 National Surveys on Drug Use and Health: Guide to State Tables and Summary of Small Area Estimation Methodology" at https://www.samhsa.gov/data/population-data-nsduh/reports?tab=33.
Illicit drug use includes the use of methamphetamines. NSDUH questions on methamphetamine use are asked in the stimulant module of the core section of the questionnaire in the context of questions about the nonmedical use of prescription stimulants. Beginning in 2005, new questions were added to the special drug module in the noncore section of the NSDUH questionnaire to capture information from respondents who may have used methamphetamines but did not recognize it as a prescription drug and therefore did not report use in the core stimulant module. However, the illicit drug estimates (including dependence, abuse, and treatment of illicit drugs) shown in the 2012-2013 SAE documents include data from the original methamphetamine questions, but they do not include the new methamphetamine items added in 2005 and 2006 (i.e., the responses to the noncore questions). For more information on these new methamphetamine questions, see the findings from the methamphetamine analysis section of the 2005 NSDUH Methodological Resource Book (Center for Behavioral Health Statistics and Quality [CBHSQ], 2007).
Local area data used as potential predictor variables in the mixed logistic regression models were obtained from several sources, including Claritas Inc., the U.S. Census Bureau, the Federal Bureau of Investigation (FBI) (Uniform Crime Reports [UCRs]), the Bureau of Labor Statistics, the Bureau of Economic Analysis, the Substance Abuse and Mental Health Services Administration (SAMHSA) (National Survey of Substance Abuse Treatment Services [N–SSATS]), and the National Center for Health Statistics (mortality data). Note that the predictors used to produce the 2012-2013 State small area estimates are the same as the predictors used to produce the 2011-2012 State small area estimates (however, values of the data were updated when possible). That is, no new variable selection was done for 2012-2013.
Sources and potential data items used in the modeling are provided in the following text and lists.
The following lists provide the specific independent variables that were potential predictors in the models.
| Nielsen Claritas Data (Description) | Nielsen Claritas Data (Level) |
|---|---|
| % Population Aged 0 to 19 in Block Group | Block Group |
| % Population Aged 20 to 24 in Block Group | Block Group |
| % Population Aged 25 to 34 in Block Group | Block Group |
| % Population Aged 35 to 44 in Block Group | Block Group |
| % Population Aged 45 to 54 in Block Group | Block Group |
| % Population Aged 55 to 64 in Block Group | Block Group |
| % Population Aged 65 or Older in Block Group | Block Group |
| % Non-Hispanic Blacks in Block Group | Block Group |
| % Hispanics in Block Group | Block Group |
| % Non-Hispanic Other Races in Block Group | Block Group |
| % Non-Hispanic Whites in Block Group | Block Group |
| % Males in Block Group | Block Group |
| % American Indians, Eskimos, Aleuts in Tract | Tract |
| % Asians, Pacific Islanders in Tract | Tract |
| % Population Aged 0 to 19 in Tract | Tract |
| % Population Aged 20 to 24 in Tract | Tract |
| % Population Aged 25 to 34 in Tract | Tract |
| % Population Aged 35 to 44 in Tract | Tract |
| % Population Aged 45 to 54 in Tract | Tract |
| % Population Aged 55 to 64 in Tract | Tract |
| % Population Aged 65 or Older in Tract | Tract |
| % Non-Hispanic Blacks in Tract | Tract |
| % Hispanics in Tract | Tract |
| % Non-Hispanic Other Races in Tract | Tract |
| % Non-Hispanic Whites in Tract | Tract |
| % Males in Tract | Tract |
| % Population Aged 0 to 19 in County | County |
| % Population Aged 20 to 24 in County | County |
| % Population Aged 25 to 34 in County | County |
| % Population Aged 35 to 44 in County | County |
| % Population Aged 45 to 54 in County | County |
| % Population Aged 55 to 64 in County | County |
| % Population Aged 65 or Older in County | County |
| % Non-Hispanic Blacks in County | County |
| % Hispanics in County | County |
| % Non-Hispanic Other Races in County | County |
| % Non-Hispanic Whites in County | County |
| % Males in County | County |
| 2010 Census Data (Description) | 2010 Census Data (Level) |
|---|---|
| % Hispanics Who Are Cuban | Tract |
| American Community Survey (ACS) (Description) | ACS Data (Level) |
|---|---|
| % Population Who Dropped Out of High School | Tract |
| % Housing Units Built in 1940 to 1949 | Tract |
| % Females 16 Years or Older in Labor Force | Tract |
| % Females Never Married | Tract |
| % Females Separated, Divorced, Widowed, or Other | Tract |
| % One-Person Households | Tract |
| % Males 16 Years or Older in Labor Force | Tract |
| % Males Never Married | Tract |
| % Males Separated, Divorced, Widowed, or Other | Tract |
| % Housing Units Built in 1939 or Earlier | Tract |
| Average Number of Persons per Room | Tract |
| % Families below Poverty Level | Tract |
| % Households with Public Assistance Income | Tract |
| % Housing Units Rented | Tract |
| % Population with 9 to 12 Years of School, No High School Diploma | Tract |
| % Population with 0 to 8 Years of School | Tract |
| % Population with Associate's Degree | Tract |
| % Population with Some College and No Degree | Tract |
| % Population with Bachelor's, Graduate, Professional Degree | Tract |
| % Housing Units with No Telephone Service Available | Tract |
| % Households with No Vehicle Available | Tract |
| Median Rents for Rental Units | Tract |
| Median Value of Owner-Occupied Housing Units | Tract |
| Median Household Income | Tract |
| % Families below the Poverty Level | County |
| Uniform Crime Report (UCR) Data (Description) | UCR Data (Level) |
|---|---|
| Drug Possession Arrest Rate | County |
| Drug Sale or Manufacture Arrest Rate | County |
| Drug Violations' Arrest Rate | County |
| Marijuana Possession Arrest Rate | County |
| Marijuana Sale or Manufacture Arrest Rate | County |
| Opium or Cocaine Possession Arrest Rate | County |
| Opium or Cocaine Sale or Manufacture Arrest Rate | County |
| Other Drug Possession Arrest Rate | County |
| Other Dangerous Non-Narcotics Arrest Rate | County |
| Serious Crime Arrest Rate | County |
| Violent Crime Arrest Rate | County |
| Driving under Influence Arrest Rate | County |
| Other Categorical Data (Description) | Other Categorical Data (Source) | Other Categorical Data (Level) |
|---|---|---|
| = 1 if Hispanic, = 0 Otherwise | National Survey on Drug Use and Health (NSDUH) Sample |
Person |
| = 1 if Non-Hispanic Black, = 0 Otherwise | NSDUH Sample | Person |
| = 1 if Non-Hispanic Other, = 0 Otherwise | NSDUH Sample | Person |
| = 1 if Male, = 0 if Female | NSDUH Sample | Person |
| = 1 if Metropolitan Statistical Area (MSA) with ≥ 1 Million, = 0 Otherwise | 2010 Census | County |
| = 1 if MSA with < 1 Million, = 0 Otherwise | 2010 Census | County |
| = 1 if Non-MSA Urban, = 0 Otherwise | 2010 Census | Tract |
| = 1 if Urban Area, = 0 if Rural Area | 2010 Census | Tract |
| = 1 if No Cubans in Tract, = 0 Otherwise | 2010 Census | Tract |
| = 1 if No Arrests for Dangerous Non-Narcotics, = 0 Otherwise | Uniform Crime Report (UCR) | County |
| = 1 if No Arrests for Opium or Cocaine Possession = 0 Otherwise | UCR | County |
| = 1 if No Housing Units Built in 1939 or Earlier, = 0 Otherwise | American Community Survey (ACS) | Tract |
| =1 if No Housing Units Built in 1940 to 1949, = 0 Otherwise | ACS | Tract |
| = 1 if No Households with Public Assistance Income, = 0 Otherwise | ACS | Tract |
| Miscellaneous Data (Description) | Miscellaneous Data (Source) | Miscellaneous Data (Level) |
|---|---|---|
| Alcohol Death Rate, Underlying Cause | National Center for Health Statistics (NCHS) International Classification of Diseases, 10th revision (NCHS-ICD-10) |
County |
| Cigarette Death Rate, Underlying Cause | NCHS-ICD-10 | County |
| Drug Death Rate, Underlying Cause | NCHS-ICD-10 | County |
| Alcohol Treatment Rate | National Survey of Substance Abuse Treatment Services (N–SSATS) (Formerly Called Uniform Facility Data Set [UFDS]) |
County |
| Alcohol and Drug Treatment Rate | N-SSATS (Formerly Called UFDS) | County |
| Drug Treatment Rate | N-SSATS (Formerly Called UFDS) | County |
| Unemployment Rate | Bureau of Labor Statistics (BLS) | County |
| Per Capita Income (in Thousands) | Bureau of Economic Analysis (BEA) | County |
| Average Suicide Rate (per 10,000) | NCHS-ICD-10 | County |
| Food Stamp Participation Rate | Census Bureau | County |
| Single State Agency Maintenance of Effort | National Association of State Alcohol and Drug Abuse Directors (NASADAD) |
State |
| Block Grant Awards | Substance Abuse and Mental Health Services Administration (SAMHSA) |
State |
| Cost of Services Factor Index | SAMHSA | State |
| Total Taxable Resources per Capita Index |
U.S. Department of Treasury | State |
The self-calibration built into the survey-weighted hierarchical Bayes (SWHB) solution ensures that the population-weighted average of the State small area estimates will closely match the national design-based estimates. The national design-based estimates in NSDUH are based entirely on survey-weighted data using a direct estimation approach, whereas the State and census region estimates are model-based. Given the self-calibration ensured by the SWHB solution, for State reports prior to 2002, the standard Bayes prescription was followed; specifically, the posterior mean was used for the point estimate, and the tail percentiles of the posterior distribution were used for the Bayesian confidence interval limits.
Singh and Folsom (2001) extended Ghosh's (1992) results on constrained Bayes estimation to include exact benchmarking to design-based national estimates. In the simplest version of this constrained Bayes solution where only the design-based mean is imposed as a benchmarking constraint, each of the 2012-2013 State-by-age group small area estimates is adjusted by adding the common factor
where
is the design-based national estimate and
is the population-weighted mean of the State small area estimates
for age group-a. The exactly benchmarked State-s and age group-a small area estimates then are given by
. Experience with such additive adjustments suggests that the resulting exactly benchmarked State small area estimates will always be between 0 percent and 100 percent because the SWHB self-calibration ensures that the adjustment factor is small relative to the size of the State-level small area estimates.
Relative to the Bayes posterior mean, these benchmark-constrained State small area estimates are biased by the common additive adjustment factor. Therefore, the posterior mean squared error for each benchmarked State small area estimate has the square of this adjustment factor added to its posterior variance. To achieve the desirable feature of exact benchmarking, this constrained Bayes adjustment factor was implemented for the State-by-age group small area estimates. The associated Bayesian confidence (credible) intervals can be re-centered at the benchmarked small area estimates on the logit scale with the symmetric interval end points based on the posterior root mean squared errors. The adjusted 95 percent Bayesian confidence intervals
are defined below:
, D
where
, D
, D and
. D
The associated posterior coverage probabilities for these benchmarked intervals are very close to the prescribed 0.95 value because the State small area estimates have posterior distributions that can be approximated exceptionally well by a Gaussian distribution.
Tables 1 to 26 of "2012-2013 NSDUHs: Model-Based Estimated Totals (in Thousands) (50 States and the District of Columbia)" show the estimated numbers of individuals associated with each of the 25 outcomes of interest.15 To calculate these numbers, the benchmarked small area estimates and the associated 95 percent Bayesian confidence intervals are multiplied by the average population across the 2 years (in this case, 2012 and 2013) of the State by the age group of interest.
For example, past month use of alcohol among 18 to 25 year olds in Alabama was 50.89 percent.16 The corresponding Bayesian confidence intervals ranged from 47.07 to 54.71 percent. The population count for 18 to 25 year olds averaged across 2012 and 2013 in Alabama was 536,933 (see Table C.10 in Section C of this methodology document). Hence, the estimated number of 18 to 25 year olds using alcohol in the past month in Alabama was 0.5089 × 536,933, which is 273,245.17 The associated Bayesian confidence intervals ranged from 0.4707 × 536,933 (i.e., 252,734) to 0.5471 × 536,933 (i.e., 293,756). Note that when estimates of the number of individuals are calculated for Tables 1 to 26 in "2012-2013 NSDUHs: Model-Based Estimated Totals (in Thousands) (50 States and the District of Columbia)" (follow the link in footnote 17), the unrounded percentages and population counts are used, then the numbers are reported to the nearest thousand. Hence, the number obtained by multiplying the published estimate with the published population estimate may not exactly match the counts that are published in these tables because of rounding differences.
The only exception to this calculation is the production of the estimated numbers of marijuana initiates. Those estimates cannot be directly calculated as the product of the percentage estimate of first use of marijuana and the population counts available in Section C. That is because the denominator of that percentage estimate is defined as the number of person years at risk for marijuana initiation, which is a combination of individuals who never used marijuana and one half of the individuals who initiated in the past 24 months.
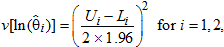
This section describes a method for determining whether differences between two 2012-2013 State estimates are statistically significant. This procedure can be used for any two State estimates representing the same age group (e.g., young adults aged 18 to 25) and time period (e.g., 2012-2013).
Let
and
denote the 2012-2013 age group-a specific prevalence rates for two different States,
and
, respectively. The null hypothesis of no difference, that is,
, is equivalent to the log-odds ratio equal to zero, that is,
, where
is defined as
,
where ln denotes the natural logarithm. An estimate of
is given by
,
where
and
are the 2012-2013 State estimates given in the "2012-2013 NSDUH: Model-Based Prevalence Estimates (50 States and the District of Columbia) (Tables 1 to 26, by Age Group)" (follow the link in footnote 16). To compute the variance of
, that is,
, let
and
,
then
, where
denotes the covariance between
and
. This covariance is defined in terms of the associated correlation as follows:
. D
The quantities
and
can be obtained by using the 95 percent Bayesian confidence intervals given in the "2012-2013 NSDUH: Model-Based Prevalence Estimates (50 States and the District of Columbia) (Tables 1 to 26, by Age Group)" (follow the link in footnote 16). For this purpose, let
and
denote the 95 percent Bayesian confidence intervals for the two States,
and
, respectively. Then
where
.
For all practical purposes, the correlation between
and
is assumed to be negligible; hence,
can be approximated by
The correlation is assumed to be negligible because each State was a stratum in the first level of stratification; therefore, each State sample is selected independently. However, the correlation between the two State estimates is theoretically nonzero because State estimates share common fixed-effect parameters in the SAE models. Hence, the test statistic
(defined below) might result in a different conclusion in a few cases when the correlation between the State estimates is incorporated in calculating
. To calculate the p value for testing the null hypothesis of no difference (
), it is assumed that the posterior distribution of
is normal with
and
. With the null value of
, the Bayes p value or posterior probability of no difference is
, where
is a standard normal random variate,
, and
denotes the absolute value of
.
Hence, to test whether differences between two 2012-2013 State estimates are statistically significant, the test statistic
and the associated p value can be used. If p ≤ 0.05, then the two State estimates can be considered different at the 5 percent level of significance.
When comparing estimates for two States, it is tempting and often convenient to look at their 95 percent Bayesian confidence intervals to decide whether the difference in the State estimates is significant. If the two Bayesian confidence intervals overlap, one would conclude that the difference is not statistically significant. If the two Bayesian confidence intervals do not overlap, it implies that the State estimates are significantly different from each other. However, the type-I error for the overlapping 95 percent Bayesian confidence intervals test is 0.6 percent (assuming that the two State estimates are uncorrelated and have the same variances) as compared with the 5 percent type-I error of the test based on the
statistics defined above (Payton, Greenstone, & Schenker, 2003). Thus, using the overlap method with 95 percent Bayesian confidence intervals implies a type-I error that is much less than the 5 percent level that is typically prescribed for such tests.
As discussed in Schenker and Gentleman (2001), the method of overlapping Bayesian confidence intervals is more conservative (i.e., it rejects the null hypothesis of no difference less often) than the standard method based on z statistics when the null hypothesis is true. Even if Bayesian confidence intervals for two States overlap, the two estimates may be declared significantly different by the test based on z statistics. Hence, the method of overlapping Bayesian confidence intervals is not recommended to test the equivalence of two State estimates. A detailed description of the method of overlapping confidence intervals and its comparison with the standard methods for testing of a hypothesis is given in Schenker and Gentleman (2001) and Payton et al. (2003).
Example. The percentages for past month alcohol use among 12 to 17 year olds in New Jersey and Oklahoma are shown in the following exhibit and also in Table 9 of the "2012-2013 NSDUH: Model-Based Prevalence Estimates (50 States and the District of Columbia)" at https://www.samhsa.gov/data/population-data-nsduh/reports?tab=33. Looking at the two 95 percent Bayesian confidence intervals, it would appear that the Oklahoma and New Jersey percentages for past month alcohol use are not statistically different at the 5 percent level of significance because the two Bayesian confidence intervals overlap:
| State | Point Estimate (%) | 95% Bayesian Confidence Interval (%) |
|---|---|---|
| New Jersey | 13.64 | (11.44, 16.18) |
| Oklahoma | 10.00 | (8.33, 11.97) |
However, in the following example, the test based on the
statistic described earlier concludes that they are significantly different at the 5 percent level of significance.
Let
,
,
,
,
,
. Then,
, D
, D
, D
, D
, D and
. D
Because the computed absolute value of
is greater than or equal to 1.96 (the critical value of the
statistic), then at the 5 percent level of significance, the hypothesis of no difference (Oklahoma estimate = New Jersey estimate) is rejected. Thus, the two State estimates are statistically different. The Bayes p value or posterior probability of no difference is
.
| State | Total Selected DUs |
Total Eligible DUs |
Total Completed Screeners |
Weighted DU Screening Response Rate |
Total Selected |
Total Responded |
Population Estimate |
Weighted Interview Response Rate |
Weighted Overall Response Rate |
|---|---|---|---|---|---|---|---|---|---|
| DU = dwelling unit. Source: SAMHSA, Center for Behavioral Health Statistics and Quality, National Survey on Drug Use and Health, 2011. |
|||||||||
| Total U.S. | 216,521 | 179,293 | 156,048 | 86.98% | 88,536 | 70,109 | 257,598,945 | 74.38% | 64.69% |
| Northeast | 46,446 | 38,803 | 31,569 | 80.08% | 17,251 | 13,090 | 46,891,412 | 69.86% | 55.94% |
| Midwest | 58,190 | 48,817 | 42,805 | 88.19% | 24,570 | 19,258 | 55,687,448 | 73.92% | 65.18% |
| South | 70,821 | 57,462 | 51,276 | 89.47% | 28,122 | 22,980 | 95,181,797 | 76.88% | 68.78% |
| West | 41,064 | 34,211 | 30,398 | 87.20% | 18,593 | 14,781 | 59,838,287 | 74.41% | 64.88% |
| Alabama | 4,338 | 3,360 | 3,032 | 89.89% | 1,708 | 1,383 | 3,985,593 | 74.64% | 67.09% |
| Alaska | 2,459 | 1,911 | 1,700 | 88.87% | 1,121 | 905 | 569,155 | 79.52% | 70.67% |
| Arizona | 2,731 | 2,149 | 1,915 | 89.43% | 1,126 | 928 | 5,285,358 | 82.24% | 73.55% |
| Arkansas | 2,687 | 2,180 | 2,008 | 92.12% | 1,160 | 919 | 2,411,125 | 72.47% | 66.76% |
| California | 9,464 | 8,223 | 6,869 | 83.58% | 4,692 | 3,640 | 31,060,033 | 72.25% | 60.39% |
| Colorado | 3,127 | 2,571 | 2,300 | 88.95% | 1,153 | 921 | 4,187,811 | 76.05% | 67.64% |
| Connecticut | 2,805 | 2,398 | 2,025 | 84.35% | 1,200 | 951 | 3,015,283 | 72.47% | 61.13% |
| Delaware | 2,845 | 2,334 | 2,054 | 87.89% | 1,109 | 900 | 756,390 | 76.51% | 67.24% |
| District of Columbia | 4,627 | 3,808 | 3,119 | 80.97% | 1,067 | 900 | 534,393 | 83.28% | 67.43% |
| Florida | 13,954 | 10,951 | 9,602 | 86.92% | 4,941 | 4,029 | 16,131,977 | 74.96% | 65.16% |
| Georgia | 2,255 | 1,909 | 1,745 | 91.50% | 1,082 | 878 | 7,928,493 | 77.49% | 70.91% |
| Hawaii | 2,835 | 2,470 | 2,015 | 81.14% | 1,260 | 950 | 1,116,660 | 72.08% | 58.49% |
| Idaho | 2,237 | 1,842 | 1,735 | 94.05% | 1,124 | 916 | 1,274,823 | 76.97% | 72.39% |
| Illinois | 11,772 | 10,195 | 7,912 | 77.53% | 4,929 | 3,655 | 10,652,220 | 68.90% | 53.41% |
| Indiana | 2,475 | 2,015 | 1,875 | 93.20% | 1,104 | 896 | 5,365,682 | 73.89% | 68.86% |
| Iowa | 2,659 | 2,295 | 2,137 | 93.15% | 1,137 | 933 | 2,537,918 | 78.95% | 73.54% |
| Kansas | 2,579 | 2,243 | 2,043 | 91.08% | 1,164 | 915 | 2,323,751 | 75.45% | 68.71% |
| Kentucky | 2,619 | 2,188 | 2,048 | 93.62% | 1,113 | 899 | 3,597,429 | 76.19% | 71.33% |
| Louisiana | 5,114 | 4,039 | 3,768 | 93.48% | 2,126 | 1,746 | 3,719,351 | 77.92% | 72.83% |
| Maine | 3,568 | 2,517 | 2,313 | 91.74% | 1,039 | 865 | 1,142,856 | 79.50% | 72.93% |
| Maryland | 2,587 | 2,290 | 1,842 | 80.47% | 1,121 | 924 | 4,849,618 | 77.62% | 62.47% |
| Massachusetts | 3,419 | 2,941 | 2,518 | 85.24% | 1,230 | 975 | 5,601,752 | 74.44% | 63.45% |
| Michigan | 11,276 | 9,000 | 7,698 | 85.60% | 4,667 | 3,685 | 8,291,125 | 74.32% | 63.62% |
| Minnesota | 2,723 | 2,369 | 2,135 | 90.09% | 1,160 | 940 | 4,434,303 | 79.23% | 71.38% |
| Mississippi | 3,478 | 2,708 | 2,504 | 92.66% | 1,462 | 1,226 | 2,408,918 | 77.57% | 71.88% |
| Missouri | 2,501 | 2,073 | 1,925 | 92.84% | 1,127 | 912 | 4,967,492 | 73.10% | 67.86% |
| Montana | 3,075 | 2,483 | 2,340 | 94.29% | 1,194 | 956 | 835,577 | 76.54% | 72.17% |
| Nebraska | 2,547 | 2,123 | 1,956 | 91.82% | 1,178 | 908 | 1,500,994 | 71.98% | 66.10% |
| Nevada | 2,125 | 1,680 | 1,584 | 95.22% | 1,125 | 907 | 2,241,024 | 74.26% | 70.71% |
| New Hampshire | 3,003 | 2,402 | 2,099 | 87.19% | 1,228 | 945 | 1,127,509 | 72.59% | 63.29% |
| New Jersey | 2,534 | 2,163 | 1,898 | 87.73% | 1,129 | 894 | 7,385,619 | 71.57% | 62.79% |
| New Mexico | 2,478 | 1,876 | 1,769 | 94.23% | 1,134 | 938 | 1,695,728 | 79.87% | 75.26% |
| New York | 14,528 | 12,454 | 9,093 | 72.46% | 5,123 | 3,531 | 16,423,062 | 63.90% | 46.31% |
| North Carolina | 2,843 | 2,319 | 2,112 | 90.63% | 1,103 | 935 | 7,910,951 | 80.92% | 73.34% |
| North Dakota | 3,321 | 2,629 | 2,476 | 94.18% | 1,133 | 904 | 565,372 | 74.23% | 69.91% |
| Ohio | 11,134 | 9,463 | 8,496 | 89.29% | 4,697 | 3,695 | 9,616,044 | 74.43% | 66.45% |
| Oklahoma | 2,614 | 2,068 | 1,895 | 91.72% | 1,128 | 890 | 3,073,328 | 76.09% | 69.79% |
| Oregon | 2,729 | 2,389 | 2,171 | 90.89% | 1,190 | 951 | 3,261,406 | 76.65% | 69.66% |
| Pennsylvania | 10,738 | 9,207 | 7,401 | 79.86% | 4,011 | 3,074 | 10,760,673 | 72.87% | 58.19% |
| Rhode Island | 2,634 | 2,140 | 1,896 | 88.56% | 1,155 | 930 | 893,903 | 73.56% | 65.14% |
| South Carolina | 2,978 | 2,441 | 2,205 | 90.33% | 1,143 | 927 | 3,853,142 | 74.53% | 67.32% |
| South Dakota | 2,495 | 2,128 | 2,027 | 95.23% | 1,107 | 913 | 667,896 | 77.20% | 73.52% |
| Tennessee | 2,590 | 2,149 | 1,914 | 89.19% | 1,110 | 911 | 5,312,944 | 77.92% | 69.50% |
| Texas | 9,328 | 7,741 | 7,096 | 91.51% | 4,478 | 3,636 | 20,486,703 | 75.86% | 69.43% |
| Utah | 1,797 | 1,590 | 1,505 | 94.62% | 1,125 | 918 | 2,176,506 | 77.23% | 73.08% |
| Vermont | 3,217 | 2,581 | 2,326 | 90.14% | 1,136 | 925 | 540,755 | 78.83% | 71.06% |
| Virginia | 2,726 | 2,431 | 2,074 | 85.29% | 1,105 | 939 | 6,647,559 | 81.71% | 69.69% |
| Washington | 2,950 | 2,586 | 2,298 | 88.23% | 1,254 | 959 | 5,668,143 | 72.78% | 64.22% |
| West Virginia | 3,238 | 2,546 | 2,258 | 87.80% | 1,166 | 938 | 1,573,884 | 75.61% | 66.39% |
| Wisconsin | 2,708 | 2,284 | 2,125 | 92.73% | 1,167 | 902 | 4,764,652 | 75.45% | 69.97% |
| Wyoming | 3,057 | 2,441 | 2,197 | 89.85% | 1,095 | 892 | 466,065 | 78.14% | 70.21% |
| State | 12-17 Total Selected |
12-17 Total Responded |
12-17 Population Estimate |
12-17 Weighted Interview Response Rate |
18-25 Total Selected |
18-25 Total Responded |
18-25 Population Estimate |
18-25 Weighted Interview Response Rate |
26+ Total Selected |
26+ Total Responded |
26+ Population Estimate |
26+ Weighted Interview Response Rate |
|---|---|---|---|---|---|---|---|---|---|---|---|---|
| NOTE: Computations in this table are based on a respondent's age at screening. Thus, the data in the Total Responded column(s) could differ from data in other NSDUH tables that use the respondent's age recorded during the interview. Source: SAMHSA, Center for Behavioral Health Statistics and Quality, National Survey on Drug Use and Health, 2011. |
||||||||||||
| Total U.S. | 27,911 | 23,549 | 24,973,646 | 84.95% | 28,589 | 23,083 | 34,301,730 | 80.48% | 32,036 | 23,477 | 198,323,568 | 71.96% |
| Northeast | 5,443 | 4,425 | 4,277,870 | 82.07% | 5,465 | 4,270 | 6,120,583 | 77.18% | 6,343 | 4,395 | 36,492,959 | 67.15% |
| Midwest | 7,649 | 6,388 | 5,445,784 | 83.26% | 7,982 | 6,373 | 7,340,274 | 80.46% | 8,939 | 6,497 | 42,901,391 | 71.62% |
| South | 9,087 | 7,870 | 9,256,114 | 87.02% | 9,028 | 7,542 | 12,610,321 | 83.06% | 10,007 | 7,568 | 73,315,362 | 74.47% |
| West | 5,732 | 4,866 | 5,993,878 | 85.37% | 6,114 | 4,898 | 8,230,553 | 78.93% | 6,747 | 5,017 | 45,613,857 | 72.13% |
| Alabama | 529 | 452 | 385,875 | 85.66% | 577 | 486 | 536,911 | 83.41% | 602 | 445 | 3,062,807 | 71.72% |
| Alaska | 392 | 333 | 60,921 | 85.33% | 368 | 284 | 79,374 | 77.63% | 361 | 288 | 428,860 | 79.00% |
| Arizona | 363 | 308 | 535,373 | 86.03% | 375 | 308 | 705,171 | 83.29% | 388 | 312 | 4,044,814 | 81.51% |
| Arkansas | 351 | 296 | 234,612 | 84.34% | 431 | 352 | 316,930 | 81.16% | 378 | 271 | 1,859,582 | 69.15% |
| California | 1,403 | 1,181 | 3,173,750 | 84.94% | 1,562 | 1,230 | 4,401,989 | 78.04% | 1,727 | 1,229 | 23,484,294 | 69.41% |
| Colorado | 376 | 326 | 395,811 | 84.87% | 361 | 290 | 552,881 | 80.31% | 416 | 305 | 3,239,119 | 74.43% |
| Connecticut | 361 | 309 | 292,050 | 86.67% | 389 | 320 | 366,697 | 83.62% | 450 | 322 | 2,356,536 | 68.68% |
| Delaware | 347 | 292 | 69,137 | 84.31% | 349 | 295 | 100,448 | 82.88% | 413 | 313 | 586,805 | 74.47% |
| District of Columbia | 343 | 304 | 31,407 | 88.80% | 408 | 339 | 97,511 | 82.66% | 316 | 257 | 405,475 | 83.00% |
| Florida | 1,649 | 1,440 | 1,380,074 | 87.03% | 1,466 | 1,222 | 1,947,535 | 82.91% | 1,826 | 1,367 | 12,804,369 | 72.50% |
| Georgia | 360 | 312 | 821,078 | 87.30% | 309 | 254 | 1,073,944 | 81.77% | 413 | 312 | 6,033,471 | 75.45% |
| Hawaii | 395 | 303 | 98,668 | 74.86% | 412 | 329 | 135,970 | 82.72% | 453 | 318 | 882,022 | 70.07% |
| Idaho | 382 | 331 | 138,364 | 87.43% | 326 | 269 | 173,071 | 83.08% | 416 | 316 | 963,388 | 74.47% |
| Illinois | 1,547 | 1,254 | 1,063,049 | 81.28% | 1,630 | 1,207 | 1,394,519 | 73.93% | 1,752 | 1,194 | 8,194,652 | 66.32% |
| Indiana | 336 | 292 | 540,048 | 86.96% | 374 | 315 | 728,277 | 84.58% | 394 | 289 | 4,097,357 | 70.25% |
| Iowa | 395 | 332 | 241,080 | 85.04% | 320 | 273 | 344,974 | 84.99% | 422 | 328 | 1,951,863 | 77.28% |
| Kansas | 338 | 279 | 235,652 | 82.61% | 394 | 321 | 320,124 | 82.19% | 432 | 315 | 1,767,975 | 73.31% |
| Kentucky | 359 | 297 | 339,927 | 83.56% | 355 | 300 | 457,966 | 84.54% | 399 | 302 | 2,799,536 | 73.80% |
| Louisiana | 671 | 588 | 367,017 | 88.27% | 666 | 567 | 525,065 | 87.75% | 789 | 591 | 2,827,268 | 74.55% |
| Maine | 350 | 300 | 97,195 | 85.41% | 348 | 296 | 129,785 | 84.83% | 341 | 269 | 915,876 | 77.99% |
| Maryland | 370 | 324 | 460,905 | 87.15% | 368 | 303 | 624,724 | 82.56% | 383 | 297 | 3,763,989 | 75.67% |
| Massachusetts | 461 | 384 | 495,429 | 83.49% | 410 | 330 | 765,174 | 79.20% | 359 | 261 | 4,341,149 | 72.35% |
| Michigan | 1,420 | 1,195 | 819,033 | 84.29% | 1,569 | 1,261 | 1,094,805 | 80.72% | 1,678 | 1,229 | 6,377,287 | 71.97% |
| Minnesota | 370 | 315 | 425,134 | 85.39% | 339 | 274 | 570,169 | 81.72% | 451 | 351 | 3,439,001 | 78.13% |
| Mississippi | 452 | 410 | 248,626 | 91.19% | 453 | 390 | 335,084 | 85.87% | 557 | 426 | 1,825,208 | 74.15% |
| Missouri | 338 | 293 | 476,256 | 82.39% | 359 | 304 | 654,304 | 84.44% | 430 | 315 | 3,836,932 | 70.24% |
| Montana | 352 | 299 | 74,309 | 83.99% | 396 | 326 | 106,543 | 82.17% | 446 | 331 | 654,725 | 74.87% |
| Nebraska | 342 | 298 | 146,677 | 87.64% | 418 | 315 | 205,271 | 76.00% | 418 | 295 | 1,149,047 | 69.10% |
| Nevada | 239 | 204 | 218,674 | 89.40% | 446 | 381 | 280,630 | 88.39% | 440 | 322 | 1,741,720 | 70.36% |
| New Hampshire | 407 | 324 | 103,573 | 79.53% | 404 | 327 | 138,419 | 81.88% | 417 | 294 | 885,517 | 70.19% |
| New Jersey | 350 | 301 | 712,565 | 87.81% | 360 | 295 | 870,975 | 84.31% | 419 | 298 | 5,802,078 | 67.72% |
| New Mexico | 319 | 280 | 169,846 | 87.11% | 393 | 326 | 226,296 | 80.21% | 422 | 332 | 1,299,586 | 78.88% |
| New York | 1,537 | 1,180 | 1,482,881 | 76.97% | 1,702 | 1,176 | 2,238,168 | 68.70% | 1,884 | 1,175 | 12,702,014 | 61.53% |
| North Carolina | 379 | 339 | 754,179 | 89.13% | 339 | 282 | 1,016,089 | 81.19% | 385 | 314 | 6,140,683 | 79.89% |
| North Dakota | 334 | 291 | 48,835 | 87.85% | 398 | 325 | 89,850 | 81.27% | 401 | 288 | 426,688 | 71.23% |
| Ohio | 1,491 | 1,220 | 932,467 | 81.91% | 1,462 | 1,184 | 1,228,851 | 80.53% | 1,744 | 1,291 | 7,454,725 | 72.47% |
| Oklahoma | 322 | 264 | 302,691 | 82.91% | 389 | 311 | 421,806 | 81.30% | 417 | 315 | 2,348,831 | 74.21% |
| Oregon | 414 | 355 | 291,549 | 86.35% | 373 | 286 | 409,460 | 76.97% | 403 | 310 | 2,560,397 | 75.46% |
| Pennsylvania | 1,252 | 1,023 | 969,456 | 83.05% | 1,105 | 889 | 1,406,406 | 81.30% | 1,654 | 1,162 | 8,384,811 | 70.33% |
| Rhode Island | 356 | 301 | 78,432 | 84.88% | 372 | 324 | 132,407 | 87.65% | 427 | 305 | 683,065 | 69.48% |
| South Carolina | 348 | 302 | 356,131 | 86.42% | 392 | 331 | 511,928 | 84.82% | 403 | 294 | 2,985,082 | 71.06% |
| South Dakota | 363 | 317 | 64,382 | 86.27% | 340 | 295 | 90,856 | 85.84% | 404 | 301 | 512,659 | 74.58% |
| Tennessee | 336 | 293 | 503,104 | 88.26% | 358 | 297 | 679,027 | 82.54% | 416 | 321 | 4,130,814 | 75.89% |
| Texas | 1,516 | 1,314 | 2,251,878 | 87.02% | 1,426 | 1,180 | 2,896,598 | 82.35% | 1,536 | 1,142 | 15,338,228 | 72.77% |
| Utah | 350 | 317 | 264,830 | 90.99% | 350 | 278 | 362,847 | 77.60% | 425 | 323 | 1,548,828 | 74.74% |
| Vermont | 369 | 303 | 46,290 | 83.39% | 375 | 313 | 72,552 | 84.62% | 392 | 309 | 421,913 | 77.36% |
| Virginia | 378 | 332 | 618,074 | 87.87% | 354 | 307 | 879,583 | 85.65% | 373 | 300 | 5,149,902 | 80.14% |
| Washington | 367 | 309 | 529,144 | 83.87% | 447 | 339 | 733,670 | 74.35% | 440 | 311 | 4,405,329 | 71.11% |
| West Virginia | 377 | 311 | 131,399 | 82.69% | 388 | 326 | 189,172 | 84.72% | 401 | 301 | 1,253,313 | 73.59% |
| Wisconsin | 375 | 302 | 453,172 | 80.52% | 379 | 299 | 618,275 | 81.47% | 413 | 301 | 3,693,206 | 73.70% |
| Wyoming | 380 | 320 | 42,640 | 84.62% | 305 | 252 | 62,649 | 83.42% | 410 | 320 | 360,775 | 76.42% |
| State | Total Selected DUs |
Total Eligible DUs |
Total Completed Screeners |
Weighted DU Screening Response Rate |
Total Selected |
Total Responded |
Population Estimate |
Weighted Interview Response Rate |
Weighted Overall Response Rate |
|---|---|---|---|---|---|---|---|---|---|
| DU = dwelling unit. Source: SAMHSA, Center for Behavioral Health Statistics and Quality, National Survey on Drug Use and Health, 2012. |
|||||||||
| Total U.S. | 214,274 | 178,586 | 153,873 | 86.07% | 87,656 | 68,309 | 260,057,325 | 73.04% | 62.87% |
| Northeast | 47,763 | 40,410 | 32,868 | 79.93% | 18,301 | 13,773 | 47,174,958 | 69.59% | 55.62% |
| Midwest | 58,534 | 49,381 | 43,010 | 87.61% | 24,499 | 19,142 | 55,924,697 | 74.27% | 65.06% |
| South | 66,141 | 54,110 | 47,494 | 88.15% | 26,279 | 20,886 | 96,373,144 | 74.22% | 65.42% |
| West | 41,836 | 34,685 | 30,501 | 86.04% | 18,577 | 14,508 | 60,584,526 | 72.75% | 62.59% |
| Alabama | 3,012 | 2,372 | 2,141 | 90.30% | 1,145 | 901 | 4,005,432 | 74.57% | 67.34% |
| Alaska | 2,424 | 1,869 | 1,642 | 87.82% | 1,076 | 829 | 577,147 | 73.34% | 64.40% |
| Arizona | 2,771 | 2,143 | 1,928 | 90.16% | 1,139 | 922 | 5,362,657 | 77.11% | 69.52% |
| Arkansas | 2,776 | 2,292 | 2,090 | 90.92% | 1,212 | 913 | 2,422,926 | 69.77% | 63.43% |
| California | 9,489 | 8,314 | 6,852 | 82.37% | 4,779 | 3,608 | 31,424,054 | 70.20% | 57.82% |
| Colorado | 3,071 | 2,579 | 2,201 | 85.23% | 1,188 | 927 | 4,260,412 | 74.95% | 63.88% |
| Connecticut | 2,855 | 2,535 | 2,107 | 82.76% | 1,261 | 964 | 3,034,241 | 72.36% | 59.88% |
| Delaware | 2,847 | 2,292 | 2,008 | 87.57% | 1,110 | 893 | 765,733 | 79.90% | 69.97% |
| District of Columbia | 5,055 | 4,104 | 3,327 | 80.90% | 1,125 | 962 | 544,627 | 80.64% | 65.24% |
| Florida | 12,768 | 10,055 | 8,516 | 84.67% | 4,579 | 3,544 | 16,382,543 | 70.57% | 59.75% |
| Georgia | 2,365 | 2,042 | 1,796 | 87.94% | 1,144 | 885 | 8,040,955 | 73.07% | 64.26% |
| Hawaii | 3,212 | 2,761 | 2,239 | 80.80% | 1,285 | 938 | 1,130,820 | 68.98% | 55.73% |
| Idaho | 2,300 | 1,939 | 1,821 | 93.92% | 1,136 | 921 | 1,288,271 | 78.38% | 73.61% |
| Illinois | 11,385 | 9,964 | 7,678 | 77.04% | 4,871 | 3,672 | 10,680,769 | 70.95% | 54.66% |
| Indiana | 2,491 | 2,110 | 1,921 | 91.01% | 1,171 | 911 | 5,391,372 | 72.95% | 66.39% |
| Iowa | 2,529 | 2,199 | 2,022 | 91.72% | 1,137 | 900 | 2,550,660 | 74.74% | 68.55% |
| Kansas | 2,598 | 2,198 | 1,977 | 89.98% | 1,109 | 912 | 2,336,047 | 77.88% | 70.07% |
| Kentucky | 2,852 | 2,407 | 2,202 | 91.46% | 1,184 | 927 | 3,607,428 | 73.49% | 67.21% |
| Louisiana | 2,741 | 2,143 | 1,977 | 92.28% | 1,100 | 901 | 3,745,460 | 77.61% | 71.63% |
| Maine | 3,866 | 2,858 | 2,585 | 90.56% | 1,134 | 938 | 1,145,565 | 79.20% | 71.72% |
| Maryland | 2,680 | 2,308 | 1,802 | 78.13% | 1,074 | 874 | 4,905,827 | 75.90% | 59.30% |
| Massachusetts | 3,064 | 2,653 | 2,208 | 83.22% | 1,253 | 955 | 5,661,530 | 71.52% | 59.52% |
| Michigan | 11,441 | 9,207 | 7,826 | 85.05% | 4,606 | 3,655 | 8,319,227 | 75.75% | 64.43% |
| Minnesota | 2,483 | 2,160 | 1,975 | 91.57% | 1,092 | 902 | 4,470,679 | 81.16% | 74.32% |
| Mississippi | 2,553 | 2,087 | 1,951 | 93.50% | 1,100 | 901 | 2,419,811 | 78.58% | 73.48% |
| Missouri | 2,879 | 2,409 | 2,188 | 90.88% | 1,149 | 915 | 4,985,565 | 74.36% | 67.58% |
| Montana | 3,295 | 2,610 | 2,415 | 92.62% | 1,109 | 876 | 842,009 | 77.46% | 71.74% |
| Nebraska | 2,556 | 2,175 | 2,018 | 92.74% | 1,170 | 940 | 1,511,302 | 73.14% | 67.83% |
| Nevada | 2,354 | 1,879 | 1,721 | 91.75% | 1,134 | 903 | 2,278,656 | 75.62% | 69.38% |
| New Hampshire | 2,990 | 2,507 | 2,191 | 87.40% | 1,259 | 950 | 1,133,661 | 73.08% | 63.87% |
| New Jersey | 2,622 | 2,227 | 1,935 | 86.87% | 1,155 | 898 | 7,440,994 | 73.64% | 63.97% |
| New Mexico | 2,771 | 2,052 | 1,889 | 92.22% | 1,101 | 879 | 1,702,667 | 74.17% | 68.39% |
| New York | 14,547 | 12,547 | 9,115 | 71.89% | 5,267 | 3,680 | 16,532,006 | 64.38% | 46.28% |
| North Carolina | 2,848 | 2,246 | 1,990 | 88.48% | 1,117 | 917 | 8,007,328 | 75.46% | 66.77% |
| North Dakota | 3,374 | 2,633 | 2,461 | 93.42% | 1,156 | 895 | 577,526 | 73.47% | 68.64% |
| Ohio | 11,722 | 10,122 | 9,023 | 89.14% | 4,827 | 3,687 | 9,638,652 | 72.73% | 64.84% |
| Oklahoma | 2,960 | 2,382 | 2,173 | 91.22% | 1,189 | 908 | 3,099,247 | 72.38% | 66.03% |
| Oregon | 2,547 | 2,250 | 2,019 | 89.57% | 1,165 | 923 | 3,293,097 | 76.48% | 68.51% |
| Pennsylvania | 11,907 | 10,256 | 8,453 | 82.09% | 4,705 | 3,580 | 10,790,033 | 70.67% | 58.02% |
| Rhode Island | 2,620 | 2,190 | 1,957 | 89.37% | 1,131 | 923 | 895,345 | 77.76% | 69.50% |
| South Carolina | 3,306 | 2,666 | 2,374 | 88.97% | 1,171 | 938 | 3,900,041 | 75.13% | 66.85% |
| South Dakota | 2,636 | 2,163 | 2,031 | 93.92% | 1,113 | 878 | 676,283 | 76.12% | 71.49% |
| Tennessee | 2,532 | 2,095 | 1,929 | 91.91% | 1,105 | 927 | 5,363,074 | 81.06% | 74.50% |
| Texas | 9,048 | 7,651 | 6,792 | 88.52% | 4,612 | 3,625 | 20,852,844 | 73.36% | 64.94% |
| Utah | 1,793 | 1,558 | 1,474 | 94.67% | 1,099 | 926 | 2,214,352 | 83.26% | 78.83% |
| Vermont | 3,292 | 2,637 | 2,317 | 87.81% | 1,136 | 885 | 541,583 | 73.81% | 64.82% |
| Virginia | 2,576 | 2,293 | 2,027 | 88.47% | 1,095 | 894 | 6,735,698 | 76.50% | 67.68% |
| Washington | 2,700 | 2,306 | 2,078 | 90.10% | 1,218 | 928 | 5,736,136 | 71.82% | 64.71% |
| West Virginia | 3,222 | 2,675 | 2,399 | 89.39% | 1,217 | 976 | 1,574,171 | 74.07% | 66.21% |
| Wisconsin | 2,440 | 2,041 | 1,890 | 92.37% | 1,098 | 875 | 4,786,617 | 75.55% | 69.79% |
| Wyoming | 3,109 | 2,425 | 2,222 | 91.72% | 1,148 | 928 | 474,248 | 77.48% | 71.07% |
| State | 12-17 Total Selected |
12-17 Total Responded |
12-17 Population Estimate |
12-17 Weighted Interview Response Rate |
18-25 Total Selected |
18-25 Total Responded |
18-25 Population Estimate |
18-25 Weighted Interview Response Rate |
26+ Total Selected |
26+ Total Responded |
26+ Population Estimate |
26+ Weighted Interview Response Rate |
|---|---|---|---|---|---|---|---|---|---|---|---|---|
| NOTE: Computations in this table are based on a respondent's age at screening. Thus, the data in the Total Responded column(s) could differ from data in other NSDUH tables that use the respondent's age recorded during the interview. Source: SAMHSA, Center for Behavioral Health Statistics and Quality, National Survey on Drug Use and Health, 2012. |
||||||||||||
| Total U.S. | 27,147 | 22,492 | 24,933,051 | 82.84% | 28,639 | 22,762 | 34,589,953 | 79.26% | 31,870 | 23,055 | 200,534,321 | 70.76% |
| Northeast | 5,513 | 4,421 | 4,237,419 | 79.81% | 6,114 | 4,720 | 6,153,492 | 76.54% | 6,674 | 4,632 | 36,784,047 | 67.26% |
| Midwest | 7,733 | 6,399 | 5,416,148 | 83.34% | 7,891 | 6,270 | 7,361,823 | 79.64% | 8,875 | 6,473 | 43,146,726 | 72.22% |
| South | 8,292 | 6,973 | 9,305,299 | 83.52% | 8,583 | 7,012 | 12,758,779 | 81.70% | 9,404 | 6,901 | 74,309,066 | 71.75% |
| West | 5,609 | 4,699 | 5,974,186 | 83.44% | 6,051 | 4,760 | 8,315,859 | 77.22% | 6,917 | 5,049 | 46,294,482 | 70.61% |
| Alabama | 342 | 278 | 384,244 | 80.41% | 383 | 312 | 536,932 | 80.90% | 420 | 311 | 3,084,257 | 72.65% |
| Alaska | 304 | 233 | 60,308 | 76.07% | 348 | 286 | 81,619 | 82.25% | 424 | 310 | 435,220 | 71.44% |
| Arizona | 366 | 312 | 539,163 | 85.61% | 371 | 293 | 713,584 | 74.97% | 402 | 317 | 4,109,911 | 76.39% |
| Arkansas | 394 | 312 | 236,048 | 78.13% | 404 | 310 | 317,735 | 75.45% | 414 | 291 | 1,869,143 | 67.71% |
| California | 1,409 | 1,159 | 3,139,169 | 81.82% | 1,584 | 1,216 | 4,452,711 | 76.51% | 1,786 | 1,233 | 23,832,173 | 67.51% |
| Colorado | 376 | 319 | 399,087 | 86.13% | 390 | 301 | 560,123 | 78.11% | 422 | 307 | 3,301,202 | 73.13% |
| Connecticut | 361 | 288 | 289,862 | 79.74% | 426 | 339 | 373,279 | 80.56% | 474 | 337 | 2,371,100 | 70.39% |
| Delaware | 376 | 307 | 68,973 | 82.59% | 305 | 246 | 102,090 | 83.85% | 429 | 340 | 594,670 | 79.02% |
| District of Columbia | 362 | 329 | 31,338 | 91.77% | 398 | 344 | 95,556 | 87.06% | 365 | 289 | 417,734 | 78.39% |
| Florida | 1,419 | 1,193 | 1,383,312 | 83.48% | 1,535 | 1,222 | 1,970,724 | 79.16% | 1,625 | 1,129 | 13,028,506 | 67.81% |
| Georgia | 344 | 287 | 828,383 | 81.72% | 360 | 284 | 1,096,583 | 79.58% | 440 | 314 | 6,115,989 | 70.82% |
| Hawaii | 377 | 284 | 96,933 | 75.93% | 382 | 308 | 140,267 | 80.83% | 526 | 346 | 893,621 | 66.50% |
| Idaho | 389 | 345 | 139,664 | 88.85% | 334 | 262 | 173,325 | 80.12% | 413 | 314 | 975,282 | 76.28% |
| Illinois | 1,517 | 1,234 | 1,051,880 | 81.95% | 1,562 | 1,190 | 1,393,334 | 76.45% | 1,792 | 1,248 | 8,235,555 | 68.62% |
| Indiana | 330 | 271 | 540,535 | 82.24% | 408 | 328 | 731,531 | 80.64% | 433 | 312 | 4,119,306 | 70.63% |
| Iowa | 373 | 314 | 241,376 | 82.15% | 362 | 287 | 347,524 | 79.41% | 402 | 299 | 1,961,760 | 72.90% |
| Kansas | 388 | 343 | 236,447 | 88.15% | 318 | 265 | 322,233 | 84.49% | 403 | 304 | 1,777,368 | 75.30% |
| Kentucky | 384 | 318 | 339,442 | 81.85% | 380 | 302 | 461,441 | 80.21% | 420 | 307 | 2,806,546 | 71.39% |
| Louisiana | 330 | 292 | 367,661 | 88.75% | 364 | 303 | 523,034 | 82.65% | 406 | 306 | 2,854,766 | 75.23% |
| Maine | 359 | 305 | 95,666 | 85.30% | 387 | 325 | 129,416 | 84.13% | 388 | 308 | 920,484 | 77.79% |
| Maryland | 330 | 282 | 458,368 | 85.48% | 363 | 306 | 631,975 | 83.31% | 381 | 286 | 3,815,483 | 73.39% |
| Massachusetts | 380 | 309 | 493,395 | 81.19% | 408 | 312 | 772,360 | 77.20% | 465 | 334 | 4,395,776 | 69.50% |
| Michigan | 1,445 | 1,178 | 809,401 | 81.72% | 1,508 | 1,231 | 1,101,787 | 81.78% | 1,653 | 1,246 | 6,408,038 | 73.97% |
| Minnesota | 363 | 324 | 424,357 | 89.54% | 339 | 272 | 571,203 | 79.91% | 390 | 306 | 3,475,119 | 80.32% |
| Mississippi | 384 | 313 | 248,208 | 80.62% | 338 | 297 | 336,270 | 88.22% | 378 | 291 | 1,835,332 | 76.36% |
| Missouri | 367 | 312 | 474,059 | 85.89% | 356 | 290 | 654,819 | 82.34% | 426 | 313 | 3,856,687 | 71.53% |
| Montana | 388 | 316 | 73,775 | 81.81% | 350 | 279 | 107,843 | 78.48% | 371 | 281 | 660,391 | 76.71% |
| Nebraska | 322 | 278 | 147,378 | 86.79% | 433 | 365 | 205,771 | 84.84% | 415 | 297 | 1,158,152 | 69.50% |
| Nevada | 333 | 290 | 220,899 | 86.58% | 368 | 289 | 284,532 | 79.10% | 433 | 324 | 1,773,226 | 73.75% |
| New Hampshire | 405 | 305 | 102,103 | 75.51% | 417 | 324 | 139,482 | 78.95% | 437 | 321 | 892,076 | 71.84% |
| New Jersey | 349 | 291 | 708,659 | 83.09% | 378 | 292 | 881,583 | 78.25% | 428 | 315 | 5,850,752 | 71.73% |
| New Mexico | 332 | 290 | 168,839 | 87.22% | 369 | 303 | 226,708 | 81.39% | 400 | 286 | 1,307,120 | 71.17% |
| New York | 1,564 | 1,193 | 1,466,519 | 75.84% | 1,778 | 1,266 | 2,246,785 | 71.75% | 1,925 | 1,221 | 12,818,701 | 61.76% |
| North Carolina | 354 | 298 | 760,601 | 83.53% | 382 | 337 | 1,033,454 | 87.89% | 381 | 282 | 6,213,274 | 72.36% |
| North Dakota | 371 | 309 | 48,912 | 83.61% | 339 | 268 | 93,645 | 79.86% | 446 | 318 | 434,970 | 70.99% |
| Ohio | 1,628 | 1,297 | 926,791 | 79.72% | 1,475 | 1,148 | 1,232,694 | 77.78% | 1,724 | 1,242 | 7,479,167 | 71.02% |
| Oklahoma | 385 | 303 | 305,458 | 78.05% | 383 | 297 | 424,952 | 76.87% | 421 | 308 | 2,368,838 | 70.82% |
| Oregon | 311 | 270 | 292,395 | 87.03% | 407 | 318 | 409,756 | 79.10% | 447 | 335 | 2,590,946 | 75.05% |
| Pennsylvania | 1,425 | 1,169 | 958,552 | 82.15% | 1,536 | 1,218 | 1,404,841 | 79.74% | 1,744 | 1,193 | 8,426,641 | 67.91% |
| Rhode Island | 320 | 276 | 77,245 | 86.40% | 391 | 329 | 132,691 | 84.47% | 420 | 318 | 685,409 | 75.55% |
| South Carolina | 385 | 317 | 358,471 | 81.59% | 349 | 295 | 515,765 | 84.67% | 437 | 326 | 3,025,806 | 72.71% |
| South Dakota | 316 | 265 | 64,543 | 84.11% | 371 | 300 | 91,525 | 82.83% | 426 | 313 | 520,215 | 74.13% |
| Tennessee | 299 | 261 | 505,108 | 85.96% | 419 | 352 | 688,253 | 83.32% | 387 | 314 | 4,169,713 | 80.11% |
| Texas | 1,472 | 1,246 | 2,279,511 | 84.37% | 1,471 | 1,183 | 2,943,283 | 80.38% | 1,669 | 1,196 | 15,630,050 | 70.45% |
| Utah | 319 | 287 | 272,004 | 90.49% | 384 | 310 | 363,798 | 81.78% | 396 | 329 | 1,578,549 | 82.34% |
| Vermont | 350 | 285 | 45,420 | 80.52% | 393 | 315 | 73,055 | 80.92% | 393 | 285 | 423,108 | 71.93% |
| Virginia | 373 | 322 | 619,042 | 85.05% | 316 | 270 | 891,542 | 85.19% | 406 | 302 | 5,225,114 | 73.95% |
| Washington | 368 | 301 | 528,812 | 81.58% | 406 | 310 | 737,911 | 75.50% | 444 | 317 | 4,469,414 | 70.24% |
| West Virginia | 359 | 315 | 131,131 | 87.64% | 433 | 352 | 189,192 | 81.40% | 425 | 309 | 1,253,848 | 71.61% |
| Wisconsin | 313 | 274 | 450,470 | 86.72% | 420 | 326 | 615,758 | 77.80% | 365 | 275 | 3,720,389 | 73.85% |
| Wyoming | 337 | 293 | 43,140 | 85.79% | 358 | 285 | 63,681 | 78.58% | 453 | 350 | 367,427 | 76.36% |
| State | Total Selected DUs |
Total Eligible DUs |
Total Completed Screeners |
Weighted DU Screening Response Rate |
Total Selected |
Total Responded |
Population Estimate |
Weighted Interview Response Rate |
Weighted Overall Response Rate |
|---|---|---|---|---|---|---|---|---|---|
| DU = dwelling unit. Source: SAMHSA, Center for Behavioral Health Statistics and Quality, National Survey on Drug Use and Health, 2013. |
|||||||||
| Total U.S. | 227,075 | 190,067 | 160,325 | 83.93% | 88,742 | 67,838 | 262,391,455 | 71.69% | 60.18% |
| Northeast | 51,312 | 43,608 | 34,787 | 78.54% | 18,334 | 13,661 | 47,388,235 | 68.75% | 54.00% |
| Midwest | 61,705 | 51,906 | 44,380 | 85.68% | 24,842 | 18,822 | 56,214,652 | 71.54% | 61.30% |
| South | 69,936 | 57,463 | 49,288 | 85.67% | 26,758 | 20,782 | 97,513,014 | 73.32% | 62.81% |
| West | 44,122 | 37,090 | 31,870 | 83.74% | 18,808 | 14,573 | 61,275,553 | 71.48% | 59.86% |
| Alabama | 3,110 | 2,522 | 2,141 | 84.04% | 1,156 | 900 | 4,025,044 | 69.26% | 58.21% |
| Alaska | 3,177 | 2,347 | 2,044 | 87.05% | 1,122 | 863 | 577,309 | 74.91% | 65.21% |
| Arizona | 3,013 | 2,324 | 1,991 | 85.43% | 1,170 | 882 | 5,443,545 | 69.25% | 59.16% |
| Arkansas | 2,721 | 2,189 | 1,984 | 90.66% | 1,193 | 908 | 2,435,182 | 73.21% | 66.38% |
| California | 9,994 | 8,965 | 7,211 | 80.33% | 4,864 | 3,729 | 31,739,919 | 70.45% | 56.60% |
| Colorado | 2,790 | 2,436 | 2,016 | 82.93% | 1,173 | 885 | 4,339,337 | 71.19% | 59.04% |
| Connecticut | 2,989 | 2,691 | 2,294 | 85.25% | 1,198 | 893 | 3,045,630 | 70.24% | 59.88% |
| Delaware | 3,042 | 2,485 | 2,073 | 83.64% | 1,113 | 862 | 774,640 | 72.21% | 60.40% |
| District of Columbia | 5,466 | 4,554 | 3,700 | 80.83% | 1,142 | 907 | 555,335 | 75.40% | 60.95% |
| Florida | 14,174 | 11,056 | 9,176 | 81.41% | 4,792 | 3,649 | 16,599,656 | 71.63% | 58.31% |
| Georgia | 2,660 | 2,218 | 1,836 | 82.63% | 1,093 | 852 | 8,133,541 | 73.03% | 60.34% |
| Hawaii | 3,294 | 2,861 | 2,235 | 77.45% | 1,240 | 924 | 1,135,919 | 66.79% | 51.73% |
| Idaho | 2,388 | 2,020 | 1,863 | 92.19% | 1,163 | 907 | 1,305,833 | 75.66% | 69.75% |
| Illinois | 11,767 | 10,379 | 7,912 | 76.19% | 4,935 | 3,503 | 10,713,667 | 65.98% | 50.27% |
| Indiana | 2,992 | 2,513 | 2,182 | 86.71% | 1,165 | 894 | 5,430,975 | 71.51% | 62.00% |
| Iowa | 2,700 | 2,318 | 2,120 | 91.46% | 1,164 | 900 | 2,566,989 | 71.34% | 65.25% |
| Kansas | 2,608 | 2,191 | 1,944 | 88.60% | 1,165 | 887 | 2,344,171 | 73.15% | 64.81% |
| Kentucky | 3,085 | 2,556 | 2,341 | 91.53% | 1,160 | 904 | 3,633,237 | 73.51% | 67.28% |
| Louisiana | 2,877 | 2,321 | 2,096 | 90.32% | 1,160 | 903 | 3,774,189 | 73.28% | 66.19% |
| Maine | 3,624 | 2,708 | 2,444 | 90.02% | 1,125 | 926 | 1,147,984 | 78.25% | 70.44% |
| Maryland | 2,759 | 2,430 | 1,919 | 79.18% | 1,183 | 925 | 4,947,041 | 76.85% | 60.85% |
| Massachusetts | 3,007 | 2,692 | 2,189 | 80.96% | 1,240 | 897 | 5,711,595 | 69.49% | 56.26% |
| Michigan | 12,080 | 9,938 | 8,310 | 83.39% | 4,716 | 3,636 | 8,346,148 | 72.79% | 60.70% |
| Minnesota | 2,595 | 2,272 | 2,056 | 90.74% | 1,126 | 906 | 4,509,704 | 77.38% | 70.21% |
| Mississippi | 2,441 | 2,019 | 1,829 | 90.55% | 1,088 | 918 | 2,428,802 | 79.27% | 71.77% |
| Missouri | 3,144 | 2,586 | 2,330 | 89.93% | 1,183 | 917 | 5,009,791 | 73.20% | 65.83% |
| Montana | 2,991 | 2,429 | 2,251 | 92.54% | 1,177 | 910 | 850,469 | 74.42% | 68.87% |
| Nebraska | 3,052 | 2,500 | 2,279 | 91.03% | 1,146 | 910 | 1,524,399 | 74.27% | 67.61% |
| Nevada | 2,753 | 2,285 | 2,004 | 87.68% | 1,137 | 932 | 2,312,257 | 74.64% | 65.44% |
| New Hampshire | 3,488 | 2,919 | 2,498 | 85.43% | 1,243 | 953 | 1,137,904 | 76.03% | 64.95% |
| New Jersey | 3,164 | 2,774 | 2,281 | 82.31% | 1,238 | 913 | 7,476,944 | 68.88% | 56.70% |
| New Mexico | 2,868 | 2,254 | 2,038 | 90.20% | 1,168 | 922 | 1,707,564 | 73.84% | 66.60% |
| New York | 15,157 | 12,992 | 9,243 | 71.27% | 5,248 | 3,637 | 16,619,482 | 63.66% | 45.36% |
| North Carolina | 2,872 | 2,382 | 2,090 | 87.63% | 1,103 | 880 | 8,114,142 | 75.94% | 66.55% |
| North Dakota | 3,634 | 2,767 | 2,562 | 92.58% | 1,257 | 945 | 593,987 | 68.81% | 63.71% |
| Ohio | 11,540 | 9,824 | 8,450 | 85.92% | 4,734 | 3,568 | 9,677,958 | 71.01% | 61.01% |
| Oklahoma | 2,830 | 2,326 | 2,100 | 90.39% | 1,250 | 950 | 3,130,656 | 68.89% | 62.27% |
| Oregon | 2,770 | 2,458 | 2,153 | 87.44% | 1,093 | 861 | 3,327,918 | 76.84% | 67.19% |
| Pennsylvania | 13,292 | 11,490 | 9,213 | 80.00% | 4,760 | 3,663 | 10,808,879 | 73.13% | 58.50% |
| Rhode Island | 2,969 | 2,515 | 2,205 | 87.59% | 1,167 | 904 | 897,301 | 71.97% | 63.04% |
| South Carolina | 3,291 | 2,763 | 2,308 | 83.36% | 1,134 | 908 | 3,952,463 | 76.40% | 63.69% |
| South Dakota | 2,728 | 2,204 | 2,059 | 93.35% | 1,106 | 889 | 685,112 | 76.78% | 71.68% |
| Tennessee | 2,967 | 2,431 | 2,152 | 88.53% | 1,121 | 894 | 5,407,982 | 73.11% | 64.72% |
| Texas | 9,323 | 7,887 | 6,873 | 87.12% | 4,743 | 3,604 | 21,223,105 | 72.07% | 62.79% |
| Utah | 2,032 | 1,771 | 1,678 | 95.05% | 1,150 | 930 | 2,258,561 | 75.09% | 71.37% |
| Vermont | 3,622 | 2,827 | 2,420 | 85.51% | 1,115 | 875 | 542,516 | 76.92% | 65.78% |
| Virginia | 2,792 | 2,413 | 2,072 | 85.14% | 1,148 | 902 | 6,803,508 | 76.51% | 65.15% |
| Washington | 2,598 | 2,235 | 1,937 | 86.55% | 1,175 | 900 | 5,797,644 | 71.56% | 61.93% |
| West Virginia | 3,526 | 2,911 | 2,598 | 89.32% | 1,179 | 916 | 1,574,493 | 76.28% | 68.13% |
| Wisconsin | 2,865 | 2,414 | 2,176 | 90.41% | 1,145 | 867 | 4,811,751 | 73.66% | 66.60% |
| Wyoming | 3,454 | 2,705 | 2,449 | 90.40% | 1,176 | 928 | 479,279 | 78.69% | 71.14% |
| State | 12-17 Total Selected |
12-17 Total Responded |
12-17 Population Estimate |
12-17 Weighted Interview Response Rate |
18-25 Total Selected |
18-25 Total Responded |
18-25 Population Estimate |
18-25 Weighted Interview Response Rate |
26+ Total Selected |
26+ Total Responded |
26+ Population Estimate |
26+ Weighted Interview Response Rate |
|---|---|---|---|---|---|---|---|---|---|---|---|---|
| NOTE: Computations in this table are based on a respondent's age at screening. Thus, the data in the Total Responded column(s) could differ from data in other NSDUH tables that use the respondent's age recorded during the interview. Source: SAMHSA, Center for Behavioral Health Statistics and Quality, National Survey on Drug Use and Health, 2013. |
||||||||||||
| Total U.S. | 27,630 | 22,532 | 24,892,618 | 81.95% | 28,921 | 22,458 | 34,785,501 | 77.34% | 32,191 | 22,848 | 202,713,336 | 69.45% |
| Northeast | 5,700 | 4,561 | 4,187,318 | 79.38% | 5,915 | 4,465 | 6,149,025 | 74.20% | 6,719 | 4,635 | 37,051,892 | 66.60% |
| Midwest | 7,730 | 6,220 | 5,398,028 | 80.27% | 8,236 | 6,328 | 7,406,554 | 76.24% | 8,876 | 6,274 | 43,410,071 | 69.65% |
| South | 8,368 | 6,904 | 9,356,405 | 82.51% | 8,566 | 6,762 | 12,857,518 | 78.55% | 9,824 | 7,116 | 75,299,092 | 71.29% |
| West | 5,832 | 4,847 | 5,950,868 | 84.38% | 6,204 | 4,903 | 8,372,403 | 78.74% | 6,772 | 4,823 | 46,952,282 | 68.53% |
| Alabama | 381 | 322 | 382,694 | 82.54% | 377 | 304 | 536,933 | 78.79% | 398 | 274 | 3,105,417 | 66.03% |
| Alaska | 364 | 276 | 60,220 | 76.37% | 380 | 301 | 83,264 | 77.91% | 378 | 286 | 433,826 | 74.16% |
| Arizona | 396 | 323 | 541,841 | 81.38% | 385 | 293 | 727,937 | 76.31% | 389 | 266 | 4,173,767 | 66.25% |
| Arkansas | 327 | 255 | 236,968 | 78.23% | 454 | 350 | 319,725 | 76.45% | 412 | 303 | 1,878,489 | 72.01% |
| California | 1,490 | 1,263 | 3,095,715 | 85.24% | 1,571 | 1,236 | 4,464,898 | 78.73% | 1,803 | 1,230 | 24,179,306 | 66.97% |
| Colorado | 322 | 259 | 405,187 | 80.90% | 399 | 304 | 570,429 | 75.38% | 452 | 322 | 3,363,721 | 69.41% |
| Connecticut | 391 | 316 | 287,546 | 82.74% | 351 | 271 | 378,789 | 78.01% | 456 | 306 | 2,379,294 | 67.41% |
| Delaware | 334 | 281 | 67,694 | 82.04% | 396 | 309 | 102,069 | 78.44% | 383 | 272 | 604,877 | 70.04% |
| District of Columbia | 374 | 327 | 30,375 | 88.49% | 304 | 237 | 93,799 | 80.28% | 464 | 343 | 431,161 | 73.41% |
| Florida | 1,407 | 1,156 | 1,387,520 | 82.81% | 1,513 | 1,184 | 1,973,936 | 77.89% | 1,872 | 1,309 | 13,238,200 | 69.64% |
| Georgia | 358 | 291 | 834,836 | 82.28% | 384 | 306 | 1,103,523 | 79.41% | 351 | 255 | 6,195,182 | 70.39% |
| Hawaii | 368 | 306 | 97,238 | 81.23% | 417 | 321 | 140,183 | 75.08% | 455 | 297 | 898,498 | 64.16% |
| Idaho | 337 | 280 | 142,022 | 84.51% | 429 | 341 | 172,682 | 82.06% | 397 | 286 | 991,129 | 73.13% |
| Illinois | 1,460 | 1,145 | 1,039,658 | 79.14% | 1,661 | 1,201 | 1,395,665 | 71.65% | 1,814 | 1,157 | 8,278,344 | 63.39% |
| Indiana | 366 | 292 | 541,496 | 78.05% | 365 | 288 | 738,003 | 77.25% | 434 | 314 | 4,151,475 | 69.66% |
| Iowa | 357 | 287 | 242,247 | 79.14% | 395 | 315 | 350,483 | 80.07% | 412 | 298 | 1,974,259 | 68.83% |
| Kansas | 369 | 296 | 237,924 | 80.42% | 386 | 295 | 324,627 | 77.64% | 410 | 296 | 1,781,619 | 71.39% |
| Kentucky | 366 | 300 | 340,478 | 82.34% | 365 | 296 | 468,033 | 81.37% | 429 | 308 | 2,824,726 | 71.05% |
| Louisiana | 370 | 297 | 367,993 | 78.65% | 340 | 276 | 520,801 | 79.72% | 450 | 330 | 2,885,395 | 71.59% |
| Maine | 390 | 328 | 94,311 | 82.76% | 361 | 306 | 127,972 | 84.65% | 374 | 292 | 925,702 | 76.97% |
| Maryland | 375 | 302 | 455,935 | 81.11% | 389 | 306 | 630,762 | 76.22% | 419 | 317 | 3,860,344 | 76.45% |
| Massachusetts | 370 | 285 | 489,152 | 76.58% | 427 | 311 | 777,767 | 73.11% | 443 | 301 | 4,444,677 | 68.04% |
| Michigan | 1,488 | 1,194 | 802,126 | 80.07% | 1,550 | 1,220 | 1,112,833 | 78.07% | 1,678 | 1,222 | 6,431,190 | 70.93% |
| Minnesota | 335 | 287 | 424,921 | 87.36% | 391 | 307 | 571,675 | 76.12% | 400 | 312 | 3,513,108 | 76.46% |
| Mississippi | 377 | 337 | 246,305 | 88.95% | 328 | 287 | 338,137 | 87.14% | 383 | 294 | 1,844,359 | 76.42% |
| Missouri | 358 | 302 | 471,719 | 82.66% | 381 | 292 | 655,369 | 76.22% | 444 | 323 | 3,882,703 | 71.61% |
| Montana | 394 | 314 | 74,018 | 79.63% | 397 | 309 | 110,155 | 77.44% | 386 | 287 | 666,296 | 73.30% |
| Nebraska | 390 | 321 | 148,681 | 80.79% | 371 | 309 | 208,331 | 82.84% | 385 | 280 | 1,167,387 | 71.59% |
| Nevada | 355 | 310 | 221,435 | 88.57% | 351 | 314 | 286,394 | 87.34% | 431 | 308 | 1,804,427 | 70.98% |
| New Hampshire | 393 | 304 | 100,312 | 76.63% | 414 | 319 | 140,525 | 77.94% | 436 | 330 | 897,067 | 75.64% |
| New Jersey | 380 | 293 | 703,594 | 78.88% | 404 | 313 | 887,966 | 77.36% | 454 | 307 | 5,885,384 | 66.32% |
| New Mexico | 340 | 297 | 167,385 | 87.52% | 378 | 297 | 229,365 | 77.50% | 450 | 328 | 1,310,813 | 71.52% |
| New York | 1,685 | 1,303 | 1,446,714 | 77.33% | 1,649 | 1,136 | 2,239,850 | 68.87% | 1,914 | 1,198 | 12,932,918 | 61.18% |
| North Carolina | 310 | 266 | 768,619 | 87.00% | 368 | 290 | 1,050,264 | 77.57% | 425 | 324 | 6,295,258 | 74.28% |
| North Dakota | 368 | 297 | 50,250 | 78.97% | 402 | 315 | 99,046 | 78.91% | 487 | 333 | 444,691 | 65.58% |
| Ohio | 1,542 | 1,220 | 924,863 | 78.72% | 1,525 | 1,173 | 1,238,671 | 78.36% | 1,667 | 1,175 | 7,514,424 | 68.82% |
| Oklahoma | 423 | 346 | 308,182 | 82.96% | 412 | 319 | 428,032 | 77.07% | 415 | 285 | 2,394,443 | 65.70% |
| Oregon | 321 | 263 | 291,705 | 80.87% | 361 | 289 | 413,732 | 79.98% | 411 | 309 | 2,622,480 | 75.89% |
| Pennsylvania | 1,383 | 1,146 | 945,209 | 82.78% | 1,575 | 1,220 | 1,391,012 | 77.81% | 1,802 | 1,297 | 8,472,657 | 71.23% |
| Rhode Island | 372 | 312 | 75,840 | 84.51% | 360 | 289 | 131,461 | 79.12% | 435 | 303 | 690,001 | 69.39% |
| South Carolina | 392 | 319 | 360,578 | 80.86% | 345 | 285 | 522,722 | 82.89% | 397 | 304 | 3,069,164 | 74.75% |
| South Dakota | 359 | 304 | 65,259 | 84.23% | 361 | 286 | 93,194 | 78.68% | 386 | 299 | 526,659 | 75.61% |
| Tennessee | 371 | 317 | 505,527 | 85.19% | 359 | 292 | 697,396 | 81.65% | 391 | 285 | 4,205,059 | 70.31% |
| Texas | 1,404 | 1,139 | 2,311,623 | 80.63% | 1,588 | 1,219 | 2,985,606 | 76.39% | 1,751 | 1,246 | 15,925,876 | 70.06% |
| Utah | 371 | 318 | 279,317 | 86.38% | 419 | 340 | 370,856 | 81.41% | 360 | 272 | 1,608,388 | 71.37% |
| Vermont | 336 | 274 | 44,641 | 81.36% | 374 | 300 | 73,683 | 80.65% | 405 | 301 | 424,193 | 75.81% |
| Virginia | 394 | 331 | 620,869 | 85.27% | 322 | 247 | 895,156 | 79.29% | 432 | 324 | 5,287,483 | 74.84% |
| Washington | 353 | 297 | 530,892 | 85.62% | 365 | 289 | 738,379 | 78.95% | 457 | 314 | 4,528,373 | 68.85% |
| West Virginia | 405 | 318 | 130,210 | 78.65% | 322 | 255 | 190,624 | 79.31% | 452 | 343 | 1,253,658 | 75.55% |
| Wisconsin | 338 | 275 | 448,884 | 80.11% | 448 | 327 | 618,657 | 71.94% | 359 | 265 | 3,744,210 | 73.13% |
| Wyoming | 421 | 341 | 43,892 | 80.89% | 352 | 269 | 64,129 | 78.38% | 403 | 318 | 371,258 | 78.50% |
| State | Total Selected DUs |
Total Eligible DUs |
Total Completed Screeners |
Weighted DU Screening Response Rate |
Total Selected |
Total Responded |
Population Estimate |
Weighted Interview Response Rate |
Weighted Overall Response Rate |
|---|---|---|---|---|---|---|---|---|---|
| DU = dwelling unit. NOTE: To compute the pooled 2011-2012 weighted response rates, two samples were combined, and the individual year weights were used for the pooled sample. Thus, the response rates presented here are weighted across 2 years of data rather than being a simple average of the 2011 and 2012 individual response rates. The 2011-2012 population estimate is the average of the 2011 and the 2012 population. Source: SAMHSA, Center for Behavioral Health Statistics and Quality, National Survey on Drug Use and Health, 2011 and 2012. |
|||||||||
| Total U.S. | 430,795 | 357,879 | 309,921 | 86.53% | 176,192 | 138,418 | 258,828,135 | 73.70% | 63.77% |
| Northeast | 94,209 | 79,213 | 64,437 | 80.01% | 35,552 | 26,863 | 47,033,185 | 69.72% | 55.78% |
| Midwest | 116,724 | 98,198 | 85,815 | 87.90% | 49,069 | 38,400 | 55,806,073 | 74.09% | 65.12% |
| South | 136,962 | 111,572 | 98,770 | 88.81% | 54,401 | 43,866 | 95,777,470 | 75.54% | 67.08% |
| West | 82,900 | 68,896 | 60,899 | 86.64% | 37,170 | 29,289 | 60,211,407 | 73.56% | 63.73% |
| Alabama | 7,350 | 5,732 | 5,173 | 90.09% | 2,853 | 2,284 | 3,995,513 | 74.60% | 67.21% |
| Alaska | 4,883 | 3,780 | 3,342 | 88.34% | 2,197 | 1,734 | 573,151 | 76.26% | 67.37% |
| Arizona | 5,502 | 4,292 | 3,843 | 89.78% | 2,265 | 1,850 | 5,324,007 | 79.55% | 71.42% |
| Arkansas | 5,463 | 4,472 | 4,098 | 91.51% | 2,372 | 1,832 | 2,417,026 | 71.09% | 65.05% |
| California | 18,953 | 16,537 | 13,721 | 82.98% | 9,471 | 7,248 | 31,242,043 | 71.20% | 59.09% |
| Colorado | 6,198 | 5,150 | 4,501 | 87.22% | 2,341 | 1,848 | 4,224,111 | 75.50% | 65.85% |
| Connecticut | 5,660 | 4,933 | 4,132 | 83.54% | 2,461 | 1,915 | 3,024,762 | 72.41% | 60.49% |
| Delaware | 5,692 | 4,626 | 4,062 | 87.74% | 2,219 | 1,793 | 761,061 | 78.28% | 68.68% |
| District of Columbia | 9,682 | 7,912 | 6,446 | 80.94% | 2,192 | 1,862 | 539,510 | 81.91% | 66.29% |
| Florida | 26,722 | 21,006 | 18,118 | 85.78% | 9,520 | 7,573 | 16,257,260 | 72.77% | 62.42% |
| Georgia | 4,620 | 3,951 | 3,541 | 89.79% | 2,226 | 1,763 | 7,984,724 | 75.23% | 67.55% |
| Hawaii | 6,047 | 5,231 | 4,254 | 80.97% | 2,545 | 1,888 | 1,123,740 | 70.47% | 57.06% |
| Idaho | 4,537 | 3,781 | 3,556 | 93.99% | 2,260 | 1,837 | 1,281,547 | 77.64% | 72.97% |
| Illinois | 23,157 | 20,159 | 15,590 | 77.28% | 9,800 | 7,327 | 10,666,494 | 69.94% | 54.05% |
| Indiana | 4,966 | 4,125 | 3,796 | 92.12% | 2,275 | 1,807 | 5,378,527 | 73.40% | 67.61% |
| Iowa | 5,188 | 4,494 | 4,159 | 92.40% | 2,274 | 1,833 | 2,544,289 | 76.95% | 71.10% |
| Kansas | 5,177 | 4,441 | 4,020 | 90.55% | 2,273 | 1,827 | 2,329,899 | 76.66% | 69.41% |
| Kentucky | 5,471 | 4,595 | 4,250 | 92.49% | 2,297 | 1,826 | 3,602,428 | 74.81% | 69.19% |
| Louisiana | 7,855 | 6,182 | 5,745 | 92.89% | 3,226 | 2,647 | 3,732,406 | 77.76% | 72.23% |
| Maine | 7,434 | 5,375 | 4,898 | 91.15% | 2,173 | 1,803 | 1,144,211 | 79.35% | 72.33% |
| Maryland | 5,267 | 4,598 | 3,644 | 79.32% | 2,195 | 1,798 | 4,877,722 | 76.79% | 60.91% |
| Massachusetts | 6,483 | 5,594 | 4,726 | 84.24% | 2,483 | 1,930 | 5,631,641 | 72.92% | 61.43% |
| Michigan | 22,717 | 18,207 | 15,524 | 85.33% | 9,273 | 7,340 | 8,305,176 | 75.03% | 64.02% |
| Minnesota | 5,206 | 4,529 | 4,110 | 90.85% | 2,252 | 1,842 | 4,452,491 | 80.17% | 72.84% |
| Mississippi | 6,031 | 4,795 | 4,455 | 93.10% | 2,562 | 2,127 | 2,414,364 | 78.07% | 72.68% |
| Missouri | 5,380 | 4,482 | 4,113 | 91.84% | 2,276 | 1,827 | 4,976,528 | 73.71% | 67.69% |
| Montana | 6,370 | 5,093 | 4,755 | 93.46% | 2,303 | 1,832 | 838,793 | 76.96% | 71.93% |
| Nebraska | 5,103 | 4,298 | 3,974 | 92.27% | 2,348 | 1,848 | 1,506,148 | 72.57% | 66.96% |
| Nevada | 4,479 | 3,559 | 3,305 | 94.07% | 2,259 | 1,810 | 2,259,840 | 74.94% | 70.50% |
| New Hampshire | 5,993 | 4,909 | 4,290 | 87.29% | 2,487 | 1,895 | 1,130,585 | 72.84% | 63.58% |
| New Jersey | 5,156 | 4,390 | 3,833 | 87.30% | 2,284 | 1,792 | 7,413,306 | 72.59% | 63.37% |
| New Mexico | 5,249 | 3,928 | 3,658 | 93.26% | 2,235 | 1,817 | 1,699,198 | 77.04% | 71.84% |
| New York | 29,075 | 25,001 | 18,208 | 72.18% | 10,390 | 7,211 | 16,477,534 | 64.14% | 46.29% |
| North Carolina | 5,691 | 4,565 | 4,102 | 89.63% | 2,220 | 1,852 | 7,959,139 | 78.20% | 70.09% |
| North Dakota | 6,695 | 5,262 | 4,937 | 93.80% | 2,289 | 1,799 | 571,449 | 73.84% | 69.26% |
| Ohio | 22,856 | 19,585 | 17,519 | 89.22% | 9,524 | 7,382 | 9,627,348 | 73.58% | 65.65% |
| Oklahoma | 5,574 | 4,450 | 4,068 | 91.46% | 2,317 | 1,798 | 3,086,287 | 74.22% | 67.88% |
| Oregon | 5,276 | 4,639 | 4,190 | 90.22% | 2,355 | 1,874 | 3,277,252 | 76.56% | 69.07% |
| Pennsylvania | 22,645 | 19,463 | 15,854 | 80.97% | 8,716 | 6,654 | 10,775,353 | 71.76% | 58.11% |
| Rhode Island | 5,254 | 4,330 | 3,853 | 88.96% | 2,286 | 1,853 | 894,624 | 75.65% | 67.30% |
| South Carolina | 6,284 | 5,107 | 4,579 | 89.63% | 2,314 | 1,865 | 3,876,591 | 74.84% | 67.08% |
| South Dakota | 5,131 | 4,291 | 4,058 | 94.58% | 2,220 | 1,791 | 672,090 | 76.65% | 72.49% |
| Tennessee | 5,122 | 4,244 | 3,843 | 90.53% | 2,215 | 1,838 | 5,338,009 | 79.50% | 71.97% |
| Texas | 18,376 | 15,392 | 13,888 | 89.98% | 9,090 | 7,261 | 20,669,774 | 74.57% | 67.10% |
| Utah | 3,590 | 3,148 | 2,979 | 94.65% | 2,224 | 1,844 | 2,195,429 | 80.29% | 75.99% |
| Vermont | 6,509 | 5,218 | 4,643 | 89.01% | 2,272 | 1,810 | 541,169 | 76.27% | 67.88% |
| Virginia | 5,302 | 4,724 | 4,101 | 86.82% | 2,200 | 1,833 | 6,691,628 | 79.04% | 68.63% |
| Washington | 5,650 | 4,892 | 4,376 | 89.16% | 2,472 | 1,887 | 5,702,140 | 72.27% | 64.44% |
| West Virginia | 6,460 | 5,221 | 4,657 | 88.63% | 2,383 | 1,914 | 1,574,028 | 74.85% | 66.34% |
| Wisconsin | 5,148 | 4,325 | 4,015 | 92.56% | 2,265 | 1,777 | 4,775,635 | 75.50% | 69.89% |
| Wyoming | 6,166 | 4,866 | 4,419 | 90.79% | 2,243 | 1,820 | 470,156 | 77.80% | 70.63% |
| State | 12-17 Total Selected |
12-17 Total Responded |
12-17 Population Estimate |
12-17 Weighted Interview Response Rate |
18-25 Total Selected |
18-25 Total Responded |
18-25 Population Estimate |
18-25 Weighted Interview Response Rate |
26+ Total Selected |
26+ Total Responded |
26+ Population Estimate |
26+ Weighted Interview Response Rate |
|---|---|---|---|---|---|---|---|---|---|---|---|---|
| NOTE: Computations in this table are based on a respondent's age at screening. Thus, the data in the Total Responded column(s) could differ from data in other NSDUH tables that use the respondent's age recorded during the interview. NOTE: To compute the pooled 2011-2012 weighted response rates, two samples were combined, and the individual year weights were used for the pooled sample. Thus, the response rates presented here are weighted across 2 years of data rather than being a simple average of the 2011 and 2012 individual response rates. The 2011-2012 population estimate is the average of the 2011 and the 2012 population. Source: SAMHSA, Center for Behavioral Health Statistics and Quality, National Survey on Drug Use and Health, 2011 and 2012. |
||||||||||||
| Total U.S. | 55,058 | 46,041 | 24,953,349 | 83.90% | 57,228 | 45,845 | 34,445,842 | 79.86% | 63,906 | 46,532 | 199,428,944 | 71.35% |
| Northeast | 10,956 | 8,846 | 4,257,645 | 80.95% | 11,579 | 8,990 | 6,137,038 | 76.86% | 13,017 | 9,027 | 36,638,503 | 67.21% |
| Midwest | 15,382 | 12,787 | 5,430,966 | 83.30% | 15,873 | 12,643 | 7,351,049 | 80.05% | 17,814 | 12,970 | 43,024,058 | 71.92% |
| South | 17,379 | 14,843 | 9,280,706 | 85.27% | 17,611 | 14,554 | 12,684,550 | 82.38% | 19,411 | 14,469 | 73,812,214 | 73.09% |
| West | 11,341 | 9,565 | 5,984,032 | 84.40% | 12,165 | 9,658 | 8,273,206 | 78.06% | 13,664 | 10,066 | 45,954,169 | 71.35% |
| Alabama | 871 | 730 | 385,060 | 83.04% | 960 | 798 | 536,921 | 82.17% | 1,022 | 756 | 3,073,532 | 72.17% |
| Alaska | 696 | 566 | 60,614 | 80.86% | 716 | 570 | 80,497 | 79.96% | 785 | 598 | 432,040 | 74.94% |
| Arizona | 729 | 620 | 537,268 | 85.82% | 746 | 601 | 709,377 | 79.02% | 790 | 629 | 4,077,362 | 78.80% |
| Arkansas | 745 | 608 | 235,330 | 81.32% | 835 | 662 | 317,333 | 78.29% | 792 | 562 | 1,864,363 | 68.41% |
| California | 2,812 | 2,340 | 3,156,459 | 83.38% | 3,146 | 2,446 | 4,427,350 | 77.27% | 3,513 | 2,462 | 23,658,234 | 68.44% |
| Colorado | 752 | 645 | 397,449 | 85.51% | 751 | 591 | 556,502 | 79.14% | 838 | 612 | 3,270,160 | 73.78% |
| Connecticut | 722 | 597 | 290,956 | 83.31% | 815 | 659 | 369,988 | 82.08% | 924 | 659 | 2,363,818 | 69.61% |
| Delaware | 723 | 599 | 69,055 | 83.47% | 654 | 541 | 101,269 | 83.37% | 842 | 653 | 590,737 | 76.88% |
| District of Columbia | 705 | 633 | 31,373 | 90.29% | 806 | 683 | 96,533 | 84.87% | 681 | 546 | 411,604 | 80.57% |
| Florida | 3,068 | 2,633 | 1,381,693 | 85.23% | 3,001 | 2,444 | 1,959,129 | 81.01% | 3,451 | 2,496 | 12,916,437 | 70.17% |
| Georgia | 704 | 599 | 824,731 | 84.45% | 669 | 538 | 1,085,263 | 80.65% | 853 | 626 | 6,074,730 | 73.07% |
| Hawaii | 772 | 587 | 97,800 | 75.39% | 794 | 637 | 138,119 | 81.76% | 979 | 664 | 887,821 | 68.20% |
| Idaho | 771 | 676 | 139,014 | 88.14% | 660 | 531 | 173,198 | 81.56% | 829 | 630 | 969,335 | 75.31% |
| Illinois | 3,064 | 2,488 | 1,057,464 | 81.61% | 3,192 | 2,397 | 1,393,927 | 75.19% | 3,544 | 2,442 | 8,215,103 | 67.50% |
| Indiana | 666 | 563 | 540,292 | 84.57% | 782 | 643 | 729,904 | 82.60% | 827 | 601 | 4,108,332 | 70.45% |
| Iowa | 768 | 646 | 241,228 | 83.57% | 682 | 560 | 346,249 | 82.22% | 824 | 627 | 1,956,812 | 75.23% |
| Kansas | 726 | 622 | 236,049 | 85.41% | 712 | 586 | 321,178 | 83.34% | 835 | 619 | 1,772,671 | 74.30% |
| Kentucky | 743 | 615 | 339,685 | 82.71% | 735 | 602 | 459,703 | 82.38% | 819 | 609 | 2,803,041 | 72.56% |
| Louisiana | 1,001 | 880 | 367,339 | 88.51% | 1,030 | 870 | 524,049 | 85.18% | 1,195 | 897 | 2,841,017 | 74.90% |
| Maine | 709 | 605 | 96,430 | 85.36% | 735 | 621 | 129,601 | 84.48% | 729 | 577 | 918,180 | 77.89% |
| Maryland | 700 | 606 | 459,636 | 86.32% | 731 | 609 | 628,350 | 82.93% | 764 | 583 | 3,789,736 | 74.57% |
| Massachusetts | 841 | 693 | 494,412 | 82.35% | 818 | 642 | 768,767 | 78.23% | 824 | 595 | 4,368,462 | 70.85% |
| Michigan | 2,865 | 2,373 | 814,217 | 83.01% | 3,077 | 2,492 | 1,098,296 | 81.24% | 3,331 | 2,475 | 6,392,662 | 72.96% |
| Minnesota | 733 | 639 | 424,745 | 87.45% | 678 | 546 | 570,686 | 80.80% | 841 | 657 | 3,457,060 | 79.18% |
| Mississippi | 836 | 723 | 248,417 | 85.92% | 791 | 687 | 335,677 | 87.06% | 935 | 717 | 1,830,270 | 75.23% |
| Missouri | 705 | 605 | 475,157 | 84.15% | 715 | 594 | 654,561 | 83.39% | 856 | 628 | 3,846,810 | 70.85% |
| Montana | 740 | 615 | 74,042 | 82.91% | 746 | 605 | 107,193 | 80.32% | 817 | 612 | 657,558 | 75.70% |
| Nebraska | 664 | 576 | 147,027 | 87.22% | 851 | 680 | 205,521 | 80.34% | 833 | 592 | 1,153,600 | 69.30% |
| Nevada | 572 | 494 | 219,786 | 87.94% | 814 | 670 | 282,581 | 83.77% | 873 | 646 | 1,757,473 | 72.05% |
| New Hampshire | 812 | 629 | 102,838 | 77.50% | 821 | 651 | 138,951 | 80.42% | 854 | 615 | 888,797 | 71.03% |
| New Jersey | 699 | 592 | 710,612 | 85.48% | 738 | 587 | 876,279 | 81.17% | 847 | 613 | 5,826,415 | 69.69% |
| New Mexico | 651 | 570 | 169,342 | 87.16% | 762 | 629 | 226,502 | 80.79% | 822 | 618 | 1,303,353 | 75.06% |
| New York | 3,101 | 2,373 | 1,474,700 | 76.41% | 3,480 | 2,442 | 2,242,476 | 70.22% | 3,809 | 2,396 | 12,760,358 | 61.64% |
| North Carolina | 733 | 637 | 757,390 | 86.25% | 721 | 619 | 1,024,771 | 84.52% | 766 | 596 | 6,176,978 | 76.15% |
| North Dakota | 705 | 600 | 48,873 | 85.72% | 737 | 593 | 91,747 | 80.54% | 847 | 606 | 430,829 | 71.11% |
| Ohio | 3,119 | 2,517 | 929,629 | 80.81% | 2,937 | 2,332 | 1,230,773 | 79.16% | 3,468 | 2,533 | 7,466,946 | 71.75% |
| Oklahoma | 707 | 567 | 304,074 | 80.48% | 772 | 608 | 423,379 | 79.07% | 838 | 623 | 2,358,834 | 72.49% |
| Oregon | 725 | 625 | 291,972 | 86.68% | 780 | 604 | 409,608 | 78.02% | 850 | 645 | 2,575,672 | 75.24% |
| Pennsylvania | 2,677 | 2,192 | 964,004 | 82.60% | 2,641 | 2,107 | 1,405,623 | 80.50% | 3,398 | 2,355 | 8,405,726 | 69.11% |
| Rhode Island | 676 | 577 | 77,839 | 85.62% | 763 | 653 | 132,549 | 86.08% | 847 | 623 | 684,237 | 72.52% |
| South Carolina | 733 | 619 | 357,301 | 83.98% | 741 | 626 | 513,846 | 84.74% | 840 | 620 | 3,005,444 | 71.92% |
| South Dakota | 679 | 582 | 64,463 | 85.20% | 711 | 595 | 91,190 | 84.33% | 830 | 614 | 516,437 | 74.34% |
| Tennessee | 635 | 554 | 504,106 | 87.13% | 777 | 649 | 683,640 | 82.94% | 803 | 635 | 4,150,263 | 78.02% |
| Texas | 2,988 | 2,560 | 2,265,694 | 85.69% | 2,897 | 2,363 | 2,919,940 | 81.38% | 3,205 | 2,338 | 15,484,139 | 71.56% |
| Utah | 669 | 604 | 268,417 | 90.74% | 734 | 588 | 363,323 | 79.82% | 821 | 652 | 1,563,689 | 78.55% |
| Vermont | 719 | 588 | 45,855 | 81.98% | 768 | 628 | 72,804 | 82.71% | 785 | 594 | 422,511 | 74.58% |
| Virginia | 751 | 654 | 618,558 | 86.47% | 670 | 577 | 885,563 | 85.42% | 779 | 602 | 5,187,508 | 76.94% |
| Washington | 735 | 610 | 528,978 | 82.76% | 853 | 649 | 735,790 | 74.94% | 884 | 628 | 4,437,371 | 70.65% |
| West Virginia | 736 | 626 | 131,265 | 85.18% | 821 | 678 | 189,182 | 83.12% | 826 | 610 | 1,253,581 | 72.62% |
| Wisconsin | 688 | 576 | 451,821 | 83.56% | 799 | 625 | 617,016 | 79.62% | 778 | 576 | 3,706,797 | 73.78% |
| Wyoming | 717 | 613 | 42,890 | 85.21% | 663 | 537 | 63,165 | 81.03% | 863 | 670 | 364,101 | 76.39% |
| State | Total Selected DUs |
Total Eligible DUs |
Total Completed Screeners |
Weighted DU Screening Response Rate |
Total Selected |
Total Responded |
Population Estimate |
Weighted Interview Response Rate |
Weighted Overall Response Rate |
|---|---|---|---|---|---|---|---|---|---|
| DU = dwelling unit. NOTE: To compute the pooled 2012-2013 weighted response rates, two samples were combined, and the individual year weights were used for the pooled sample. Thus, the response rates presented here are weighted across 2 years of data rather than being a simple average of the 2012 and 2013 individual response rates. The 2012-2013 population estimate is the average of the 2012 and the 2013 population. Source: SAMHSA, Center for Behavioral Health Statistics and Quality, National Survey on Drug Use and Health, 2012 and 2013. |
|||||||||
| Total U.S. | 441,349 | 368,653 | 314,198 | 85.00% | 176,398 | 136,147 | 261,224,390 | 72.37% | 61.51% |
| Northeast | 99,075 | 84,018 | 67,655 | 79.23% | 36,635 | 27,434 | 47,281,597 | 69.17% | 54.80% |
| Midwest | 120,239 | 101,287 | 87,390 | 86.65% | 49,341 | 37,964 | 56,069,675 | 72.91% | 63.17% |
| South | 136,077 | 111,573 | 96,782 | 86.90% | 53,037 | 41,668 | 96,943,079 | 73.77% | 64.11% |
| West | 85,958 | 71,775 | 62,371 | 84.88% | 37,385 | 29,081 | 60,930,039 | 72.12% | 61.22% |
| Alabama | 6,122 | 4,894 | 4,282 | 87.14% | 2,301 | 1,801 | 4,015,238 | 71.81% | 62.58% |
| Alaska | 5,601 | 4,216 | 3,686 | 87.42% | 2,198 | 1,692 | 577,228 | 74.10% | 64.78% |
| Arizona | 5,784 | 4,467 | 3,919 | 87.78% | 2,309 | 1,804 | 5,403,101 | 73.26% | 64.31% |
| Arkansas | 5,497 | 4,481 | 4,074 | 90.79% | 2,405 | 1,821 | 2,429,054 | 71.52% | 64.93% |
| California | 19,483 | 17,279 | 14,063 | 81.35% | 9,643 | 7,337 | 31,581,986 | 70.32% | 57.21% |
| Colorado | 5,861 | 5,015 | 4,217 | 84.13% | 2,361 | 1,812 | 4,299,874 | 73.07% | 61.47% |
| Connecticut | 5,844 | 5,226 | 4,401 | 84.03% | 2,459 | 1,857 | 3,039,935 | 71.34% | 59.95% |
| Delaware | 5,889 | 4,777 | 4,081 | 85.61% | 2,223 | 1,755 | 770,186 | 76.17% | 65.21% |
| District of Columbia | 10,521 | 8,658 | 7,027 | 80.87% | 2,267 | 1,869 | 549,981 | 78.06% | 63.13% |
| Florida | 26,942 | 21,111 | 17,692 | 82.98% | 9,371 | 7,193 | 16,491,099 | 71.12% | 59.02% |
| Georgia | 5,025 | 4,260 | 3,632 | 85.39% | 2,237 | 1,737 | 8,087,248 | 73.06% | 62.38% |
| Hawaii | 6,506 | 5,622 | 4,474 | 79.11% | 2,525 | 1,862 | 1,133,370 | 67.89% | 53.71% |
| Idaho | 4,688 | 3,959 | 3,684 | 93.03% | 2,299 | 1,828 | 1,297,052 | 76.96% | 71.59% |
| Illinois | 23,152 | 20,343 | 15,590 | 76.61% | 9,806 | 7,175 | 10,697,218 | 68.46% | 52.45% |
| Indiana | 5,483 | 4,623 | 4,103 | 88.87% | 2,336 | 1,805 | 5,411,173 | 72.26% | 64.22% |
| Iowa | 5,229 | 4,517 | 4,142 | 91.59% | 2,301 | 1,800 | 2,558,825 | 73.00% | 66.86% |
| Kansas | 5,206 | 4,389 | 3,921 | 89.29% | 2,274 | 1,799 | 2,340,109 | 75.50% | 67.41% |
| Kentucky | 5,937 | 4,963 | 4,543 | 91.49% | 2,344 | 1,831 | 3,620,332 | 73.50% | 67.25% |
| Louisiana | 5,618 | 4,464 | 4,073 | 91.33% | 2,260 | 1,804 | 3,759,825 | 75.38% | 68.85% |
| Maine | 7,490 | 5,566 | 5,029 | 90.29% | 2,259 | 1,864 | 1,146,775 | 78.71% | 71.07% |
| Maryland | 5,439 | 4,738 | 3,721 | 78.66% | 2,257 | 1,799 | 4,926,434 | 76.39% | 60.09% |
| Massachusetts | 6,071 | 5,345 | 4,397 | 82.04% | 2,493 | 1,852 | 5,686,563 | 70.51% | 57.85% |
| Michigan | 23,521 | 19,145 | 16,136 | 84.20% | 9,322 | 7,291 | 8,332,687 | 74.28% | 62.54% |
| Minnesota | 5,078 | 4,432 | 4,031 | 91.15% | 2,218 | 1,808 | 4,490,191 | 79.20% | 72.19% |
| Mississippi | 4,994 | 4,106 | 3,780 | 92.05% | 2,188 | 1,819 | 2,424,306 | 78.93% | 72.65% |
| Missouri | 6,023 | 4,995 | 4,518 | 90.41% | 2,332 | 1,832 | 4,997,678 | 73.77% | 66.69% |
| Montana | 6,286 | 5,039 | 4,666 | 92.58% | 2,286 | 1,786 | 846,239 | 75.85% | 70.22% |
| Nebraska | 5,608 | 4,675 | 4,297 | 91.86% | 2,316 | 1,850 | 1,517,851 | 73.67% | 67.68% |
| Nevada | 5,107 | 4,164 | 3,725 | 89.51% | 2,271 | 1,835 | 2,295,456 | 75.13% | 67.25% |
| New Hampshire | 6,478 | 5,426 | 4,689 | 86.38% | 2,502 | 1,903 | 1,135,783 | 74.56% | 64.40% |
| New Jersey | 5,786 | 5,001 | 4,216 | 84.47% | 2,393 | 1,811 | 7,458,969 | 71.25% | 60.18% |
| New Mexico | 5,639 | 4,306 | 3,927 | 91.19% | 2,269 | 1,801 | 1,705,115 | 74.00% | 67.48% |
| New York | 29,704 | 25,539 | 18,358 | 71.58% | 10,515 | 7,317 | 16,575,744 | 64.02% | 45.83% |
| North Carolina | 5,720 | 4,628 | 4,080 | 88.05% | 2,220 | 1,797 | 8,060,735 | 75.70% | 66.66% |
| North Dakota | 7,008 | 5,400 | 5,023 | 92.99% | 2,413 | 1,840 | 585,756 | 71.05% | 66.07% |
| Ohio | 23,262 | 19,946 | 17,473 | 87.57% | 9,561 | 7,255 | 9,658,305 | 71.87% | 62.94% |
| Oklahoma | 5,790 | 4,708 | 4,273 | 90.80% | 2,439 | 1,858 | 3,114,952 | 70.60% | 64.10% |
| Oregon | 5,317 | 4,708 | 4,172 | 88.54% | 2,258 | 1,784 | 3,310,508 | 76.65% | 67.87% |
| Pennsylvania | 25,199 | 21,746 | 17,666 | 81.03% | 9,465 | 7,243 | 10,799,456 | 71.88% | 58.25% |
| Rhode Island | 5,589 | 4,705 | 4,162 | 88.48% | 2,298 | 1,827 | 896,323 | 74.83% | 66.20% |
| South Carolina | 6,597 | 5,429 | 4,682 | 86.09% | 2,305 | 1,846 | 3,926,252 | 75.78% | 65.23% |
| South Dakota | 5,364 | 4,367 | 4,090 | 93.65% | 2,219 | 1,767 | 680,698 | 76.45% | 71.60% |
| Tennessee | 5,499 | 4,526 | 4,081 | 90.21% | 2,226 | 1,821 | 5,385,528 | 77.01% | 69.47% |
| Texas | 18,371 | 15,538 | 13,665 | 87.82% | 9,355 | 7,229 | 21,037,974 | 72.71% | 63.86% |
| Utah | 3,825 | 3,329 | 3,152 | 94.88% | 2,249 | 1,856 | 2,236,456 | 79.22% | 75.17% |
| Vermont | 6,914 | 5,464 | 4,737 | 86.66% | 2,251 | 1,760 | 542,049 | 75.33% | 65.28% |
| Virginia | 5,368 | 4,706 | 4,099 | 86.82% | 2,243 | 1,796 | 6,769,603 | 76.51% | 66.43% |
| Washington | 5,298 | 4,541 | 4,015 | 88.37% | 2,393 | 1,828 | 5,766,890 | 71.69% | 63.35% |
| West Virginia | 6,748 | 5,586 | 4,997 | 89.36% | 2,396 | 1,892 | 1,574,332 | 75.15% | 67.15% |
| Wisconsin | 5,305 | 4,455 | 4,066 | 91.41% | 2,243 | 1,742 | 4,799,184 | 74.64% | 68.23% |
| Wyoming | 6,563 | 5,130 | 4,671 | 91.06% | 2,324 | 1,856 | 476,764 | 78.09% | 71.10% |
| State | 12-17 Total Selected |
12-17 Total Responded |
12-17 Population Estimate |
12-17 Weighted Interview Response Rate |
18-25 Total Selected |
18-25 Total Responded |
18-25 Population Estimate |
18-25 Weighted Interview Response Rate |
26+ Total Selected |
26+ Total Responded |
26+ Population Estimate |
26+ Weighted Interview Response Rate |
|---|---|---|---|---|---|---|---|---|---|---|---|---|
| NOTE: Computations in this table are based on a respondent's age at screening. Thus, the data in the Total Responded column(s) could differ from data in other NSDUH tables that use the respondent's age recorded during the interview. NOTE: To compute the pooled 2012-2013 weighted response rates, two samples were combined, and the individual year weights were used for the pooled sample. Thus, the response rates presented here are weighted across 2 years of data rather than being a simple average of the 2012 and 2013 individual response rates. The 2012-2013 population estimate is the average of the 2012 and the 2013 population. Source: SAMHSA, Center for Behavioral Health Statistics and Quality, National Survey on Drug Use and Health, 2012 and 2013. |
||||||||||||
| Total U.S. | 54,777 | 45,024 | 24,912,835 | 82.39% | 57,560 | 45,220 | 34,687,727 | 78.30% | 64,061 | 45,903 | 201,623,828 | 70.10% |
| Northeast | 11,213 | 8,982 | 4,212,368 | 79.60% | 12,029 | 9,185 | 6,151,259 | 75.38% | 13,393 | 9,267 | 36,917,970 | 66.93% |
| Midwest | 15,463 | 12,619 | 5,407,088 | 81.81% | 16,127 | 12,598 | 7,384,188 | 77.93% | 17,751 | 12,747 | 43,278,398 | 70.94% |
| South | 16,660 | 13,877 | 9,330,852 | 83.02% | 17,149 | 13,774 | 12,808,148 | 80.11% | 19,228 | 14,017 | 74,804,079 | 71.51% |
| West | 11,441 | 9,546 | 5,962,527 | 83.91% | 12,255 | 9,663 | 8,344,131 | 77.98% | 13,689 | 9,872 | 46,623,382 | 69.58% |
| Alabama | 723 | 600 | 383,469 | 81.47% | 760 | 616 | 536,933 | 79.81% | 818 | 585 | 3,094,837 | 69.18% |
| Alaska | 668 | 509 | 60,264 | 76.22% | 728 | 587 | 82,442 | 80.12% | 802 | 596 | 434,523 | 72.75% |
| Arizona | 762 | 635 | 540,502 | 83.49% | 756 | 586 | 720,761 | 75.65% | 791 | 583 | 4,141,839 | 71.47% |
| Arkansas | 721 | 567 | 236,508 | 78.18% | 858 | 660 | 318,730 | 75.95% | 826 | 594 | 1,873,816 | 69.89% |
| California | 2,899 | 2,422 | 3,117,442 | 83.51% | 3,155 | 2,452 | 4,458,805 | 77.62% | 3,589 | 2,463 | 24,005,740 | 67.24% |
| Colorado | 698 | 578 | 402,137 | 83.52% | 789 | 605 | 565,276 | 76.77% | 874 | 629 | 3,332,461 | 71.26% |
| Connecticut | 752 | 604 | 288,704 | 81.26% | 777 | 610 | 376,034 | 79.25% | 930 | 643 | 2,375,197 | 68.98% |
| Delaware | 710 | 588 | 68,333 | 82.31% | 701 | 555 | 102,080 | 81.10% | 812 | 612 | 599,773 | 74.72% |
| District of Columbia | 736 | 656 | 30,856 | 90.16% | 702 | 581 | 94,677 | 83.79% | 829 | 632 | 424,447 | 75.93% |
| Florida | 2,826 | 2,349 | 1,385,416 | 83.15% | 3,048 | 2,406 | 1,972,330 | 78.53% | 3,497 | 2,438 | 13,133,353 | 68.77% |
| Georgia | 702 | 578 | 831,609 | 82.00% | 744 | 590 | 1,100,053 | 79.50% | 791 | 569 | 6,155,586 | 70.62% |
| Hawaii | 745 | 590 | 97,086 | 78.59% | 799 | 629 | 140,225 | 78.05% | 981 | 643 | 896,059 | 65.33% |
| Idaho | 726 | 625 | 140,843 | 86.67% | 763 | 603 | 173,004 | 81.11% | 810 | 600 | 983,206 | 74.62% |
| Illinois | 2,977 | 2,379 | 1,045,769 | 80.56% | 3,223 | 2,391 | 1,394,500 | 74.06% | 3,606 | 2,405 | 8,256,950 | 66.00% |
| Indiana | 696 | 563 | 541,016 | 80.14% | 773 | 616 | 734,767 | 78.96% | 867 | 626 | 4,135,390 | 70.17% |
| Iowa | 730 | 601 | 241,811 | 80.67% | 757 | 602 | 349,004 | 79.74% | 814 | 597 | 1,968,010 | 70.80% |
| Kansas | 757 | 639 | 237,185 | 84.32% | 704 | 560 | 323,430 | 81.02% | 813 | 600 | 1,779,494 | 73.33% |
| Kentucky | 750 | 618 | 339,960 | 82.10% | 745 | 598 | 464,737 | 80.80% | 849 | 615 | 2,815,636 | 71.22% |
| Louisiana | 700 | 589 | 367,827 | 83.68% | 704 | 579 | 521,917 | 81.23% | 856 | 636 | 2,870,080 | 73.33% |
| Maine | 749 | 633 | 94,988 | 84.06% | 748 | 631 | 128,694 | 84.38% | 762 | 600 | 923,093 | 77.36% |
| Maryland | 705 | 584 | 457,152 | 83.28% | 752 | 612 | 631,368 | 79.76% | 800 | 603 | 3,837,914 | 74.99% |
| Massachusetts | 750 | 594 | 491,273 | 78.88% | 835 | 623 | 775,063 | 75.12% | 908 | 635 | 4,420,226 | 68.78% |
| Michigan | 2,933 | 2,372 | 805,764 | 80.89% | 3,058 | 2,451 | 1,107,310 | 79.91% | 3,331 | 2,468 | 6,419,614 | 72.46% |
| Minnesota | 698 | 611 | 424,639 | 88.46% | 730 | 579 | 571,439 | 78.02% | 790 | 618 | 3,494,114 | 78.30% |
| Mississippi | 761 | 650 | 247,257 | 84.79% | 666 | 584 | 337,204 | 87.67% | 761 | 585 | 1,839,846 | 76.40% |
| Missouri | 725 | 614 | 472,889 | 84.31% | 737 | 582 | 655,094 | 79.29% | 870 | 636 | 3,869,695 | 71.57% |
| Montana | 782 | 630 | 73,896 | 80.70% | 747 | 588 | 108,999 | 77.95% | 757 | 568 | 663,344 | 74.89% |
| Nebraska | 712 | 599 | 148,030 | 83.78% | 804 | 674 | 207,051 | 83.81% | 800 | 577 | 1,162,770 | 70.47% |
| Nevada | 688 | 600 | 221,167 | 87.57% | 719 | 603 | 285,463 | 83.25% | 864 | 632 | 1,788,826 | 72.37% |
| New Hampshire | 798 | 609 | 101,207 | 76.06% | 831 | 643 | 140,004 | 78.44% | 873 | 651 | 894,572 | 73.74% |
| New Jersey | 729 | 584 | 706,126 | 81.00% | 782 | 605 | 884,775 | 77.80% | 882 | 622 | 5,868,068 | 69.01% |
| New Mexico | 672 | 587 | 168,112 | 87.37% | 747 | 600 | 228,037 | 79.38% | 850 | 614 | 1,308,966 | 71.35% |
| New York | 3,249 | 2,496 | 1,456,617 | 76.58% | 3,427 | 2,402 | 2,243,318 | 70.34% | 3,839 | 2,419 | 12,875,810 | 61.47% |
| North Carolina | 664 | 564 | 764,610 | 85.24% | 750 | 627 | 1,041,859 | 82.67% | 806 | 606 | 6,254,266 | 73.32% |
| North Dakota | 739 | 606 | 49,581 | 81.26% | 741 | 583 | 96,345 | 79.36% | 933 | 651 | 439,830 | 68.18% |
| Ohio | 3,170 | 2,517 | 925,827 | 79.23% | 3,000 | 2,321 | 1,235,683 | 78.07% | 3,391 | 2,417 | 7,496,795 | 69.92% |
| Oklahoma | 808 | 649 | 306,820 | 80.51% | 795 | 616 | 426,492 | 76.97% | 836 | 593 | 2,381,640 | 68.19% |
| Oregon | 632 | 533 | 292,050 | 83.94% | 768 | 607 | 411,744 | 79.54% | 858 | 644 | 2,606,713 | 75.45% |
| Pennsylvania | 2,808 | 2,315 | 951,880 | 82.46% | 3,111 | 2,438 | 1,397,926 | 78.78% | 3,546 | 2,490 | 8,449,649 | 69.54% |
| Rhode Island | 692 | 588 | 76,543 | 85.46% | 751 | 618 | 132,076 | 81.81% | 855 | 621 | 687,705 | 72.40% |
| South Carolina | 777 | 636 | 359,524 | 81.22% | 694 | 580 | 519,243 | 83.75% | 834 | 630 | 3,047,485 | 73.75% |
| South Dakota | 675 | 569 | 64,901 | 84.17% | 732 | 586 | 92,359 | 80.75% | 812 | 612 | 523,437 | 74.88% |
| Tennessee | 670 | 578 | 505,317 | 85.57% | 778 | 644 | 692,825 | 82.46% | 778 | 599 | 4,187,386 | 75.12% |
| Texas | 2,876 | 2,385 | 2,295,567 | 82.49% | 3,059 | 2,402 | 2,964,444 | 78.37% | 3,420 | 2,442 | 15,777,963 | 70.25% |
| Utah | 690 | 605 | 275,660 | 88.43% | 803 | 650 | 367,327 | 81.59% | 756 | 601 | 1,593,468 | 76.95% |
| Vermont | 686 | 559 | 45,030 | 80.94% | 767 | 615 | 73,369 | 80.79% | 798 | 586 | 423,650 | 73.81% |
| Virginia | 767 | 653 | 619,956 | 85.16% | 638 | 517 | 893,349 | 82.17% | 838 | 626 | 5,256,298 | 74.38% |
| Washington | 721 | 598 | 529,852 | 83.62% | 771 | 599 | 738,145 | 77.21% | 901 | 631 | 4,498,893 | 69.56% |
| West Virginia | 764 | 633 | 130,671 | 83.20% | 755 | 607 | 189,908 | 80.33% | 877 | 652 | 1,253,753 | 73.53% |
| Wisconsin | 651 | 549 | 449,677 | 83.42% | 868 | 653 | 617,207 | 74.83% | 724 | 540 | 3,732,300 | 73.51% |
| Wyoming | 758 | 634 | 43,516 | 83.37% | 710 | 554 | 63,905 | 78.47% | 856 | 668 | 369,343 | 77.41% |
| State | 2011 Total Selected |
2011 Total Responded |
2011 Population Estimate |
2011 Weighted Interview Response Rate |
2012 Total Selected |
2012 Total Responded |
2012 Population Estimate |
2012 Weighted Interview Response Rate |
2013 Total Selected |
2013 Total Responded |
2013 Population Estimate |
2013 Weighted Interview Response Rate |
|---|---|---|---|---|---|---|---|---|---|---|---|---|
| NOTE: Computations in this table are based on a respondent's age at screening. Thus, the data in the Total Responded column(s) could differ from data in other NSDUH tables that use the respondent's age recorded during the interview. Source: SAMHSA, Center for Behavioral Health Statistics and Quality, National Survey on Drug Use and Health, 2011, 2012, and 2013. |
||||||||||||
| Total U.S. | 38,505 | 32,349 | 38,497,742 | 84.37% | 37,391 | 30,912 | 38,205,953 | 82.59% | 37,820 | 30,801 | 38,086,579 | 81.70% |
| Northeast | 7,493 | 6,098 | 6,824,455 | 82.10% | 7,735 | 6,239 | 6,646,927 | 80.21% | 7,770 | 6,238 | 6,379,509 | 79.42% |
| Midwest | 10,686 | 8,872 | 8,368,112 | 82.81% | 10,454 | 8,616 | 8,152,530 | 82.67% | 10,686 | 8,592 | 8,217,933 | 80.04% |
| South | 12,390 | 10,682 | 14,024,266 | 86.28% | 11,385 | 9,547 | 14,063,463 | 83.57% | 11,306 | 9,274 | 14,070,964 | 81.83% |
| West | 7,936 | 6,697 | 9,280,909 | 84.53% | 7,817 | 6,510 | 9,343,033 | 82.70% | 8,058 | 6,697 | 9,418,173 | 84.56% |
| Alabama | 744 | 631 | 604,574 | 84.49% | 469 | 384 | 584,363 | 81.07% | 497 | 421 | 570,714 | 82.97% |
| Alaska | 515 | 431 | 89,332 | 83.83% | 441 | 352 | 95,819 | 80.24% | 490 | 383 | 91,357 | 77.84% |
| Arizona | 511 | 433 | 798,580 | 85.99% | 503 | 424 | 816,941 | 83.45% | 526 | 428 | 816,730 | 81.20% |
| Arkansas | 528 | 442 | 374,992 | 83.30% | 550 | 439 | 370,165 | 79.62% | 457 | 357 | 334,342 | 77.85% |
| California | 2,003 | 1,685 | 5,066,496 | 84.30% | 2,016 | 1,646 | 5,018,845 | 81.44% | 2,070 | 1,767 | 5,008,517 | 85.96% |
| Colorado | 480 | 411 | 564,436 | 84.33% | 501 | 421 | 594,406 | 85.04% | 450 | 367 | 609,754 | 82.09% |
| Connecticut | 516 | 441 | 436,152 | 86.19% | 520 | 427 | 455,720 | 82.40% | 534 | 431 | 421,506 | 81.80% |
| Delaware | 465 | 393 | 105,240 | 84.25% | 493 | 407 | 107,644 | 84.15% | 460 | 379 | 99,907 | 80.87% |
| District of Columbia | 487 | 422 | 65,173 | 83.44% | 498 | 451 | 64,190 | 91.18% | 452 | 387 | 54,486 | 84.22% |
| Florida | 2,250 | 1,949 | 2,211,773 | 86.30% | 1,980 | 1,649 | 2,109,563 | 82.68% | 1,929 | 1,574 | 2,127,386 | 81.54% |
| Georgia | 480 | 413 | 1,207,618 | 86.51% | 478 | 397 | 1,309,366 | 82.78% | 502 | 405 | 1,278,777 | 81.65% |
| Hawaii | 541 | 424 | 149,682 | 78.74% | 500 | 388 | 145,487 | 78.38% | 508 | 416 | 146,388 | 80.45% |
| Idaho | 493 | 422 | 205,495 | 85.84% | 515 | 441 | 206,195 | 85.69% | 483 | 398 | 202,212 | 84.41% |
| Illinois | 2,144 | 1,711 | 1,619,137 | 79.79% | 2,036 | 1,637 | 1,553,772 | 80.89% | 2,048 | 1,582 | 1,571,014 | 77.50% |
| Indiana | 489 | 424 | 852,672 | 85.97% | 480 | 393 | 813,060 | 81.75% | 490 | 392 | 794,141 | 77.86% |
| Iowa | 523 | 443 | 382,062 | 85.81% | 485 | 404 | 353,403 | 82.15% | 484 | 396 | 365,893 | 81.48% |
| Kansas | 484 | 398 | 344,035 | 82.51% | 508 | 443 | 380,034 | 86.86% | 499 | 404 | 360,191 | 81.57% |
| Kentucky | 481 | 400 | 501,556 | 83.75% | 511 | 422 | 505,420 | 82.23% | 491 | 400 | 507,396 | 81.31% |
| Louisiana | 918 | 804 | 573,374 | 88.93% | 451 | 395 | 552,954 | 87.18% | 487 | 399 | 574,885 | 80.70% |
| Maine | 495 | 424 | 153,910 | 85.35% | 504 | 433 | 145,895 | 86.56% | 523 | 448 | 146,805 | 85.44% |
| Maryland | 487 | 422 | 657,919 | 85.91% | 438 | 372 | 655,351 | 84.43% | 505 | 403 | 653,828 | 79.02% |
| Massachusetts | 620 | 520 | 822,796 | 83.78% | 520 | 420 | 763,162 | 80.74% | 499 | 385 | 723,842 | 76.61% |
| Michigan | 2,034 | 1,702 | 1,293,907 | 83.70% | 1,992 | 1,638 | 1,251,079 | 82.84% | 2,054 | 1,654 | 1,239,358 | 80.23% |
| Minnesota | 488 | 411 | 622,236 | 84.21% | 471 | 411 | 629,891 | 86.19% | 456 | 393 | 626,747 | 86.71% |
| Mississippi | 597 | 539 | 365,463 | 90.08% | 517 | 426 | 376,196 | 82.30% | 493 | 437 | 363,901 | 88.44% |
| Missouri | 465 | 398 | 714,937 | 82.47% | 486 | 407 | 700,548 | 84.33% | 493 | 412 | 714,528 | 81.35% |
| Montana | 491 | 411 | 112,790 | 82.79% | 522 | 431 | 123,289 | 83.41% | 550 | 440 | 120,530 | 79.55% |
| Nebraska | 514 | 427 | 225,527 | 83.87% | 475 | 413 | 228,674 | 87.51% | 539 | 452 | 240,691 | 82.96% |
| Nevada | 440 | 385 | 370,767 | 90.91% | 474 | 403 | 339,091 | 85.10% | 486 | 431 | 343,860 | 89.80% |
| New Hampshire | 589 | 479 | 177,762 | 82.39% | 599 | 472 | 181,715 | 80.39% | 556 | 444 | 173,109 | 80.69% |
| New Jersey | 494 | 424 | 1,119,943 | 88.15% | 475 | 389 | 1,041,104 | 81.91% | 506 | 400 | 1,028,297 | 80.63% |
| New Mexico | 469 | 404 | 258,176 | 84.99% | 459 | 396 | 247,385 | 86.18% | 477 | 403 | 252,940 | 83.62% |
| New York | 2,120 | 1,607 | 2,330,810 | 76.15% | 2,182 | 1,674 | 2,352,294 | 76.70% | 2,218 | 1,701 | 2,191,460 | 76.54% |
| North Carolina | 487 | 433 | 1,114,423 | 88.06% | 474 | 404 | 1,096,473 | 85.11% | 438 | 365 | 1,101,838 | 83.46% |
| North Dakota | 476 | 414 | 80,431 | 86.41% | 495 | 415 | 90,131 | 84.87% | 497 | 397 | 82,751 | 78.48% |
| Ohio | 2,081 | 1,715 | 1,474,645 | 82.49% | 2,134 | 1,696 | 1,382,707 | 79.58% | 2,130 | 1,697 | 1,449,529 | 80.13% |
| Oklahoma | 454 | 373 | 462,928 | 83.45% | 523 | 407 | 474,162 | 76.65% | 601 | 482 | 497,668 | 80.37% |
| Oregon | 534 | 450 | 424,881 | 83.95% | 457 | 391 | 462,560 | 85.86% | 458 | 372 | 456,806 | 80.22% |
| Pennsylvania | 1,677 | 1,377 | 1,583,008 | 83.76% | 1,980 | 1,620 | 1,506,219 | 82.23% | 1,967 | 1,623 | 1,484,560 | 82.08% |
| Rhode Island | 483 | 413 | 126,155 | 85.65% | 460 | 399 | 127,152 | 87.11% | 508 | 430 | 139,658 | 85.71% |
| South Carolina | 482 | 414 | 521,289 | 85.95% | 496 | 414 | 537,771 | 83.64% | 507 | 411 | 539,469 | 81.31% |
| South Dakota | 470 | 411 | 87,535 | 86.40% | 444 | 378 | 101,364 | 85.52% | 506 | 425 | 103,606 | 82.80% |
| Tennessee | 462 | 401 | 768,020 | 86.68% | 439 | 378 | 731,381 | 84.81% | 495 | 425 | 773,131 | 85.93% |
| Texas | 2,010 | 1,738 | 3,303,733 | 86.40% | 2,002 | 1,690 | 3,407,153 | 84.28% | 1,968 | 1,591 | 3,455,065 | 80.21% |
| Utah | 463 | 406 | 364,611 | 85.21% | 434 | 386 | 396,005 | 88.78% | 511 | 434 | 420,269 | 85.51% |
| Vermont | 499 | 413 | 73,919 | 84.39% | 495 | 405 | 73,666 | 81.68% | 459 | 376 | 70,271 | 81.84% |
| Virginia | 516 | 452 | 966,316 | 86.34% | 484 | 416 | 952,855 | 85.21% | 502 | 421 | 933,932 | 85.76% |
| Washington | 510 | 424 | 809,041 | 82.70% | 516 | 419 | 825,920 | 81.17% | 503 | 417 | 880,808 | 84.01% |
| West Virginia | 542 | 456 | 219,874 | 85.17% | 582 | 496 | 228,456 | 84.92% | 522 | 417 | 204,238 | 80.45% |
| Wisconsin | 518 | 418 | 670,989 | 81.33% | 448 | 381 | 667,867 | 84.74% | 490 | 388 | 669,485 | 77.88% |
| Wyoming | 486 | 411 | 66,621 | 85.07% | 479 | 412 | 71,089 | 84.48% | 546 | 441 | 68,002 | 81.58% |
| State | 2011-2012 Total Selected |
2011-2012 Total Responded |
2011-2012 Population Estimate |
2011-2012 Weighted Interview Response Rate |
2012-2013 Total Selected |
2012-2013 Total Responded |
2012-2013 Population Estimate |
2012-2013 Weighted Interview Response Rate |
|---|---|---|---|---|---|---|---|---|
| NOTE: Computations in this table are based on a respondent's age at screening. Thus, the data in the Total Responded column(s) could differ from data in other NSDUH tables that use the respondent's age recorded during the interview. NOTE: To compute the pooled weighted response rates, the two samples were combined, and the individual-year weights were used for the pooled sample. Thus, the response rates presented here are weighted across 2 years of data rather than being a simple average of the individual response rates. The population estimate is the average of the population across the 2 years. Source: SAMHSA, Center for Behavioral Health Statistics and Quality, National Survey on Drug Use and Health, 2011, 2012, and 2013. |
||||||||
| Total U.S. | 75,896 | 63,261 | 38,351,848 | 83.48% | 75,211 | 61,713 | 38,146,266 | 82.14% |
| Northeast | 15,228 | 12,337 | 6,735,691 | 81.17% | 15,505 | 12,477 | 6,513,218 | 79.82% |
| Midwest | 21,140 | 17,488 | 8,260,321 | 82.74% | 21,140 | 17,208 | 8,185,232 | 81.35% |
| South | 23,775 | 20,229 | 14,043,864 | 84.93% | 22,691 | 18,821 | 14,067,213 | 82.70% |
| West | 15,753 | 13,207 | 9,311,971 | 83.61% | 15,875 | 13,207 | 9,380,603 | 83.62% |
| Alabama | 1,213 | 1,015 | 594,469 | 82.82% | 966 | 805 | 577,538 | 82.00% |
| Alaska | 956 | 783 | 92,576 | 82.01% | 931 | 735 | 93,588 | 79.06% |
| Arizona | 1,014 | 857 | 807,761 | 84.71% | 1,029 | 852 | 816,835 | 82.33% |
| Arkansas | 1,078 | 881 | 372,578 | 81.52% | 1,007 | 796 | 352,254 | 78.75% |
| California | 4,019 | 3,331 | 5,042,671 | 82.86% | 4,086 | 3,413 | 5,013,681 | 83.66% |
| Colorado | 981 | 832 | 579,421 | 84.71% | 951 | 788 | 602,080 | 83.58% |
| Connecticut | 1,036 | 868 | 445,936 | 84.34% | 1,054 | 858 | 438,613 | 82.09% |
| Delaware | 958 | 800 | 106,442 | 84.20% | 953 | 786 | 103,775 | 82.52% |
| District of Columbia | 985 | 873 | 64,681 | 87.24% | 950 | 838 | 59,338 | 87.97% |
| Florida | 4,230 | 3,598 | 2,160,668 | 84.51% | 3,909 | 3,223 | 2,118,475 | 82.12% |
| Georgia | 958 | 810 | 1,258,492 | 84.59% | 980 | 802 | 1,294,072 | 82.22% |
| Hawaii | 1,041 | 812 | 147,585 | 78.56% | 1,008 | 804 | 145,938 | 79.41% |
| Idaho | 1,008 | 863 | 205,845 | 85.76% | 998 | 839 | 204,204 | 85.06% |
| Illinois | 4,180 | 3,348 | 1,586,454 | 80.33% | 4,084 | 3,219 | 1,562,393 | 79.19% |
| Indiana | 969 | 817 | 832,866 | 83.88% | 970 | 785 | 803,600 | 79.84% |
| Iowa | 1,008 | 847 | 367,732 | 84.07% | 969 | 800 | 359,648 | 81.81% |
| Kansas | 992 | 841 | 362,035 | 84.71% | 1,007 | 847 | 370,112 | 84.27% |
| Kentucky | 992 | 822 | 503,488 | 83.00% | 1,002 | 822 | 506,408 | 81.76% |
| Louisiana | 1,369 | 1,199 | 563,164 | 88.07% | 938 | 794 | 563,920 | 83.93% |
| Maine | 999 | 857 | 149,902 | 85.94% | 1,027 | 881 | 146,350 | 86.01% |
| Maryland | 925 | 794 | 656,635 | 85.18% | 943 | 775 | 654,590 | 81.68% |
| Massachusetts | 1,140 | 940 | 792,979 | 82.34% | 1,019 | 805 | 743,502 | 78.72% |
| Michigan | 4,026 | 3,340 | 1,272,493 | 83.28% | 4,046 | 3,292 | 1,245,219 | 81.54% |
| Minnesota | 959 | 822 | 626,064 | 85.18% | 927 | 804 | 628,319 | 86.44% |
| Mississippi | 1,114 | 965 | 370,830 | 86.07% | 1,010 | 863 | 370,048 | 85.31% |
| Missouri | 951 | 805 | 707,743 | 83.39% | 979 | 819 | 707,538 | 82.83% |
| Montana | 1,013 | 842 | 118,039 | 83.11% | 1,072 | 871 | 121,910 | 81.44% |
| Nebraska | 989 | 840 | 227,100 | 85.62% | 1,014 | 865 | 234,682 | 85.20% |
| Nevada | 914 | 788 | 354,929 | 88.06% | 960 | 834 | 341,475 | 87.42% |
| New Hampshire | 1,188 | 951 | 179,739 | 81.37% | 1,155 | 916 | 177,412 | 80.53% |
| New Jersey | 969 | 813 | 1,080,523 | 85.12% | 981 | 789 | 1,034,700 | 81.28% |
| New Mexico | 928 | 800 | 252,781 | 85.58% | 936 | 799 | 250,162 | 84.89% |
| New York | 4,302 | 3,281 | 2,341,552 | 76.42% | 4,400 | 3,375 | 2,271,877 | 76.62% |
| North Carolina | 961 | 837 | 1,105,448 | 86.55% | 912 | 769 | 1,099,156 | 84.28% |
| North Dakota | 971 | 829 | 85,281 | 85.62% | 992 | 812 | 86,441 | 81.66% |
| Ohio | 4,215 | 3,411 | 1,428,676 | 81.08% | 4,264 | 3,393 | 1,416,118 | 79.86% |
| Oklahoma | 977 | 780 | 468,545 | 80.03% | 1,124 | 889 | 485,915 | 78.58% |
| Oregon | 991 | 841 | 443,721 | 84.92% | 915 | 763 | 459,683 | 83.01% |
| Pennsylvania | 3,657 | 2,997 | 1,544,613 | 83.01% | 3,947 | 3,243 | 1,495,389 | 82.16% |
| Rhode Island | 943 | 812 | 126,654 | 86.38% | 968 | 829 | 133,405 | 86.40% |
| South Carolina | 978 | 828 | 529,530 | 84.79% | 1,003 | 825 | 538,620 | 82.45% |
| South Dakota | 914 | 789 | 94,450 | 85.95% | 950 | 803 | 102,485 | 84.13% |
| Tennessee | 901 | 779 | 749,701 | 85.76% | 934 | 803 | 752,256 | 85.38% |
| Texas | 4,012 | 3,428 | 3,355,443 | 85.34% | 3,970 | 3,281 | 3,431,109 | 82.24% |
| Utah | 897 | 792 | 380,308 | 87.03% | 945 | 820 | 408,137 | 87.10% |
| Vermont | 994 | 818 | 73,792 | 83.04% | 954 | 781 | 71,968 | 81.76% |
| Virginia | 1,000 | 868 | 959,586 | 85.79% | 986 | 837 | 943,393 | 85.48% |
| Washington | 1,026 | 843 | 817,480 | 81.94% | 1,019 | 836 | 853,364 | 82.64% |
| West Virginia | 1,124 | 952 | 224,165 | 85.05% | 1,104 | 913 | 216,347 | 82.84% |
| Wisconsin | 966 | 799 | 669,428 | 83.00% | 938 | 769 | 668,676 | 81.25% |
| Wyoming | 965 | 823 | 68,855 | 84.76% | 1,025 | 853 | 69,545 | 83.04% |
| State | 2011 Total Selected |
2011 Total Responded |
2011 Population Estimate |
2011 Weighted Interview Response Rate |
2012 Total Selected |
2012 Total Responded |
2012 Population Estimate |
2012 Weighted Interview Response Rate |
2013 Total Selected |
2013 Total Responded |
2013 Population Estimate |
2013 Weighted Interview Response Rate |
|---|---|---|---|---|---|---|---|---|---|---|---|---|
| NOTE: Computations in this table are based on a respondent's age at screening. Thus, the data in the Total Responded column(s) could differ from data in other NSDUH tables that use the respondent's age recorded during the interview. Source: SAMHSA, Center for Behavioral Health Statistics and Quality, National Survey on Drug Use and Health, 2011, 2012, and 2013. |
||||||||||||
| Total U.S. | 60,625 | 46,560 | 232,625,299 | 73.22% | 60,509 | 45,817 | 235,124,274 | 72.00% | 61,112 | 45,306 | 237,498,837 | 70.61% |
| Northeast | 11,808 | 8,665 | 42,613,542 | 68.62% | 12,788 | 9,352 | 42,937,539 | 68.59% | 12,634 | 9,100 | 43,200,918 | 67.70% |
| Midwest | 16,921 | 12,870 | 50,241,664 | 72.89% | 16,766 | 12,743 | 50,508,549 | 73.29% | 17,112 | 12,602 | 50,816,624 | 70.61% |
| South | 19,035 | 15,110 | 85,925,683 | 75.76% | 17,987 | 13,913 | 87,067,845 | 73.21% | 18,390 | 13,878 | 88,156,610 | 72.35% |
| West | 12,861 | 9,915 | 53,844,410 | 73.17% | 12,968 | 9,809 | 54,610,340 | 71.60% | 12,976 | 9,726 | 55,324,685 | 70.09% |
| Alabama | 1,179 | 931 | 3,599,718 | 73.44% | 803 | 623 | 3,621,189 | 73.90% | 775 | 578 | 3,642,350 | 67.91% |
| Alaska | 729 | 572 | 508,235 | 78.77% | 772 | 596 | 516,839 | 73.05% | 758 | 587 | 517,089 | 74.74% |
| Arizona | 763 | 620 | 4,749,984 | 81.79% | 773 | 610 | 4,823,495 | 76.18% | 774 | 559 | 4,901,704 | 67.86% |
| Arkansas | 809 | 623 | 2,176,513 | 71.07% | 818 | 601 | 2,186,878 | 68.89% | 866 | 653 | 2,198,214 | 72.67% |
| California | 3,289 | 2,459 | 27,886,283 | 70.78% | 3,370 | 2,449 | 28,284,885 | 68.90% | 3,374 | 2,466 | 28,644,204 | 68.82% |
| Colorado | 777 | 595 | 3,792,000 | 75.18% | 812 | 608 | 3,861,324 | 73.85% | 851 | 626 | 3,934,150 | 70.24% |
| Connecticut | 839 | 642 | 2,723,233 | 70.84% | 900 | 676 | 2,744,379 | 71.67% | 807 | 577 | 2,758,083 | 68.93% |
| Delaware | 762 | 608 | 687,253 | 75.70% | 734 | 586 | 696,760 | 79.66% | 779 | 581 | 706,947 | 71.27% |
| District of Columbia | 724 | 596 | 502,986 | 82.93% | 763 | 633 | 513,289 | 79.99% | 768 | 580 | 524,960 | 74.63% |
| Florida | 3,292 | 2,589 | 14,751,904 | 73.85% | 3,160 | 2,351 | 14,999,230 | 69.34% | 3,385 | 2,493 | 15,212,136 | 70.67% |
| Georgia | 722 | 566 | 7,107,414 | 76.39% | 800 | 598 | 7,212,572 | 72.11% | 735 | 561 | 7,298,705 | 71.87% |
| Hawaii | 865 | 647 | 1,017,992 | 71.81% | 908 | 654 | 1,033,888 | 68.36% | 872 | 618 | 1,038,681 | 65.50% |
| Idaho | 742 | 585 | 1,136,459 | 75.69% | 747 | 576 | 1,148,607 | 76.93% | 826 | 627 | 1,163,811 | 74.54% |
| Illinois | 3,382 | 2,401 | 9,589,171 | 67.45% | 3,354 | 2,438 | 9,628,889 | 69.74% | 3,475 | 2,358 | 9,674,009 | 64.56% |
| Indiana | 768 | 604 | 4,825,634 | 72.44% | 841 | 640 | 4,850,837 | 72.01% | 799 | 602 | 4,889,478 | 70.78% |
| Iowa | 742 | 601 | 2,296,838 | 78.35% | 764 | 586 | 2,309,284 | 73.90% | 807 | 613 | 2,324,742 | 70.53% |
| Kansas | 826 | 636 | 2,088,098 | 74.63% | 721 | 569 | 2,099,601 | 76.67% | 796 | 591 | 2,106,246 | 72.33% |
| Kentucky | 754 | 602 | 3,257,502 | 75.37% | 800 | 609 | 3,267,986 | 72.62% | 794 | 604 | 3,292,759 | 72.57% |
| Louisiana | 1,455 | 1,158 | 3,352,333 | 76.72% | 770 | 609 | 3,377,799 | 76.40% | 790 | 606 | 3,406,196 | 72.72% |
| Maine | 689 | 565 | 1,045,661 | 78.89% | 775 | 633 | 1,049,900 | 78.59% | 735 | 598 | 1,053,674 | 77.84% |
| Maryland | 751 | 600 | 4,388,713 | 76.64% | 744 | 592 | 4,447,458 | 74.85% | 808 | 623 | 4,491,106 | 76.42% |
| Massachusetts | 769 | 591 | 5,106,323 | 73.51% | 873 | 646 | 5,168,136 | 70.62% | 870 | 612 | 5,222,444 | 68.82% |
| Michigan | 3,247 | 2,490 | 7,472,092 | 73.25% | 3,161 | 2,477 | 7,509,825 | 75.11% | 3,228 | 2,442 | 7,544,022 | 72.00% |
| Minnesota | 790 | 625 | 4,009,170 | 78.60% | 729 | 578 | 4,046,322 | 80.26% | 791 | 619 | 4,084,784 | 76.42% |
| Mississippi | 1,010 | 816 | 2,160,292 | 75.97% | 716 | 588 | 2,171,602 | 78.33% | 711 | 581 | 2,182,497 | 78.14% |
| Missouri | 789 | 619 | 4,491,236 | 72.16% | 782 | 603 | 4,511,506 | 73.10% | 825 | 615 | 4,538,072 | 72.25% |
| Montana | 842 | 657 | 761,268 | 75.83% | 721 | 560 | 768,234 | 76.98% | 783 | 596 | 776,451 | 73.89% |
| Nebraska | 836 | 610 | 1,354,318 | 70.17% | 848 | 662 | 1,363,924 | 71.68% | 756 | 589 | 1,375,718 | 73.48% |
| Nevada | 886 | 703 | 2,022,350 | 72.78% | 801 | 613 | 2,057,758 | 74.47% | 782 | 622 | 2,090,821 | 73.20% |
| New Hampshire | 821 | 621 | 1,023,936 | 71.86% | 854 | 645 | 1,031,559 | 72.83% | 850 | 649 | 1,037,592 | 75.97% |
| New Jersey | 779 | 593 | 6,673,054 | 69.81% | 806 | 607 | 6,732,336 | 72.63% | 858 | 620 | 6,773,350 | 67.83% |
| New Mexico | 815 | 658 | 1,525,882 | 79.08% | 769 | 589 | 1,533,828 | 72.67% | 828 | 625 | 1,540,178 | 72.40% |
| New York | 3,586 | 2,351 | 14,940,181 | 62.61% | 3,703 | 2,487 | 15,065,487 | 63.25% | 3,563 | 2,334 | 15,172,768 | 62.31% |
| North Carolina | 724 | 596 | 7,156,772 | 80.07% | 763 | 619 | 7,246,727 | 74.56% | 793 | 614 | 7,345,522 | 74.76% |
| North Dakota | 799 | 613 | 516,537 | 72.93% | 785 | 586 | 528,614 | 72.53% | 889 | 648 | 543,737 | 67.93% |
| Ohio | 3,206 | 2,475 | 8,683,577 | 73.60% | 3,199 | 2,390 | 8,711,861 | 71.96% | 3,192 | 2,348 | 8,753,095 | 70.18% |
| Oklahoma | 806 | 626 | 2,770,637 | 75.32% | 804 | 605 | 2,793,790 | 71.76% | 827 | 604 | 2,822,475 | 67.42% |
| Oregon | 776 | 596 | 2,969,857 | 75.67% | 854 | 653 | 3,000,702 | 75.56% | 772 | 598 | 3,036,213 | 76.46% |
| Pennsylvania | 2,759 | 2,051 | 9,791,217 | 71.86% | 3,280 | 2,411 | 9,831,482 | 69.58% | 3,377 | 2,517 | 9,863,670 | 72.18% |
| Rhode Island | 799 | 629 | 815,472 | 72.44% | 811 | 647 | 818,100 | 76.97% | 795 | 592 | 821,462 | 70.88% |
| South Carolina | 795 | 625 | 3,497,010 | 73.23% | 786 | 621 | 3,541,570 | 74.46% | 742 | 589 | 3,591,886 | 75.96% |
| South Dakota | 744 | 596 | 603,514 | 76.24% | 797 | 613 | 611,740 | 75.34% | 747 | 585 | 619,853 | 76.03% |
| Tennessee | 774 | 618 | 4,809,840 | 76.82% | 806 | 666 | 4,857,966 | 80.57% | 750 | 577 | 4,902,455 | 71.95% |
| Texas | 2,962 | 2,322 | 18,234,826 | 74.41% | 3,140 | 2,379 | 18,573,333 | 72.01% | 3,339 | 2,465 | 18,911,482 | 71.04% |
| Utah | 775 | 601 | 1,911,676 | 75.26% | 780 | 639 | 1,942,347 | 82.23% | 779 | 612 | 1,979,244 | 73.43% |
| Vermont | 767 | 622 | 494,466 | 78.40% | 786 | 600 | 496,163 | 73.23% | 779 | 601 | 497,875 | 76.52% |
| Virginia | 727 | 607 | 6,029,485 | 81.02% | 722 | 572 | 6,116,656 | 75.62% | 754 | 571 | 6,182,639 | 75.56% |
| Washington | 887 | 650 | 5,138,999 | 71.57% | 850 | 627 | 5,207,324 | 70.94% | 822 | 603 | 5,266,752 | 70.21% |
| West Virginia | 789 | 627 | 1,442,485 | 75.00% | 858 | 661 | 1,443,040 | 72.82% | 774 | 598 | 1,444,283 | 76.05% |
| Wisconsin | 792 | 600 | 4,311,481 | 74.87% | 785 | 601 | 4,336,147 | 74.41% | 807 | 592 | 4,362,867 | 72.94% |
| Wyoming | 715 | 572 | 423,425 | 77.45% | 811 | 635 | 431,108 | 76.66% | 755 | 587 | 435,387 | 78.48% |
| State | 2011-2012 Total Selected |
2011-2012 Total Responded |
2011-2012 Population Estimate |
2011-2012 Weighted Interview Response Rate |
2012-2013 Total Selected |
2012-2013 Total Responded |
2012-2013 Population Estimate |
2012-2013 Weighted Interview Response Rate |
|---|---|---|---|---|---|---|---|---|
| NOTE: Computations in this table are based on a respondent's age at screening. Thus, the data in the Total Responded column(s) could differ from data in other NSDUH tables that use the respondent's age recorded during the interview. NOTE: To compute the pooled weighted response rates, the two samples were combined, and the individual-year weights were used for the pooled sample. Thus, the response rates presented here are weighted across 2 years of data rather than being a simple average of the individual response rates. The population estimate is the average of the population across the 2 years. Source: SAMHSA, Center for Behavioral Health Statistics and Quality, National Survey on Drug Use and Health, 2011, 2012, and 2013. |
||||||||
| Total U.S. | 121,134 | 92,377 | 233,874,786 | 72.60% | 121,621 | 91,123 | 236,311,555 | 71.31% |
| Northeast | 24,596 | 18,017 | 42,775,541 | 68.60% | 25,422 | 18,452 | 43,069,229 | 68.15% |
| Midwest | 33,687 | 25,613 | 50,375,107 | 73.09% | 33,878 | 25,345 | 50,662,587 | 71.95% |
| South | 37,022 | 29,023 | 86,496,764 | 74.47% | 36,377 | 27,791 | 87,612,227 | 72.78% |
| West | 25,829 | 19,724 | 54,227,375 | 72.36% | 25,944 | 19,535 | 54,967,513 | 70.85% |
| Alabama | 1,982 | 1,554 | 3,610,453 | 73.67% | 1,578 | 1,201 | 3,631,769 | 70.77% |
| Alaska | 1,501 | 1,168 | 512,537 | 75.73% | 1,530 | 1,183 | 516,964 | 73.87% |
| Arizona | 1,536 | 1,230 | 4,786,739 | 78.83% | 1,547 | 1,169 | 4,862,599 | 72.12% |
| Arkansas | 1,627 | 1,224 | 2,181,695 | 69.95% | 1,684 | 1,254 | 2,192,546 | 70.81% |
| California | 6,659 | 4,908 | 28,085,584 | 69.82% | 6,744 | 4,915 | 28,464,544 | 68.86% |
| Colorado | 1,589 | 1,203 | 3,826,662 | 74.51% | 1,663 | 1,234 | 3,897,737 | 72.04% |
| Connecticut | 1,739 | 1,318 | 2,733,806 | 71.28% | 1,707 | 1,253 | 2,751,231 | 70.35% |
| Delaware | 1,496 | 1,194 | 692,007 | 77.78% | 1,513 | 1,167 | 701,853 | 75.61% |
| District of Columbia | 1,487 | 1,229 | 508,138 | 81.39% | 1,531 | 1,213 | 519,124 | 77.35% |
| Florida | 6,452 | 4,940 | 14,875,567 | 71.60% | 6,545 | 4,844 | 15,105,683 | 70.03% |
| Georgia | 1,522 | 1,164 | 7,159,993 | 74.20% | 1,535 | 1,159 | 7,255,639 | 72.00% |
| Hawaii | 1,773 | 1,301 | 1,025,940 | 70.01% | 1,780 | 1,272 | 1,036,284 | 66.93% |
| Idaho | 1,489 | 1,161 | 1,142,533 | 76.27% | 1,573 | 1,203 | 1,156,209 | 75.67% |
| Illinois | 6,736 | 4,839 | 9,609,030 | 68.62% | 6,829 | 4,796 | 9,651,449 | 67.15% |
| Indiana | 1,609 | 1,244 | 4,838,235 | 72.21% | 1,640 | 1,242 | 4,870,158 | 71.43% |
| Iowa | 1,506 | 1,187 | 2,303,061 | 76.26% | 1,571 | 1,199 | 2,317,013 | 72.17% |
| Kansas | 1,547 | 1,205 | 2,093,849 | 75.65% | 1,517 | 1,160 | 2,102,923 | 74.48% |
| Kentucky | 1,554 | 1,211 | 3,262,744 | 73.96% | 1,594 | 1,213 | 3,280,373 | 72.59% |
| Louisiana | 2,225 | 1,767 | 3,365,066 | 76.56% | 1,560 | 1,215 | 3,391,997 | 74.50% |
| Maine | 1,464 | 1,198 | 1,047,780 | 78.74% | 1,510 | 1,231 | 1,051,787 | 78.21% |
| Maryland | 1,495 | 1,192 | 4,418,086 | 75.78% | 1,552 | 1,215 | 4,469,282 | 75.66% |
| Massachusetts | 1,642 | 1,237 | 5,137,229 | 72.01% | 1,743 | 1,258 | 5,195,290 | 69.73% |
| Michigan | 6,408 | 4,967 | 7,490,959 | 74.17% | 6,389 | 4,919 | 7,526,924 | 73.56% |
| Minnesota | 1,519 | 1,203 | 4,027,746 | 79.41% | 1,520 | 1,197 | 4,065,553 | 78.26% |
| Mississippi | 1,726 | 1,404 | 2,165,947 | 77.12% | 1,427 | 1,169 | 2,177,049 | 78.23% |
| Missouri | 1,571 | 1,222 | 4,501,371 | 72.61% | 1,607 | 1,218 | 4,524,789 | 72.67% |
| Montana | 1,563 | 1,217 | 764,751 | 76.36% | 1,504 | 1,156 | 772,343 | 75.34% |
| Nebraska | 1,684 | 1,272 | 1,359,121 | 70.94% | 1,604 | 1,251 | 1,369,821 | 72.53% |
| Nevada | 1,687 | 1,316 | 2,040,054 | 73.62% | 1,583 | 1,235 | 2,074,289 | 73.83% |
| New Hampshire | 1,675 | 1,266 | 1,027,747 | 72.35% | 1,704 | 1,294 | 1,034,575 | 74.40% |
| New Jersey | 1,585 | 1,200 | 6,702,695 | 71.21% | 1,664 | 1,227 | 6,752,843 | 70.22% |
| New Mexico | 1,584 | 1,247 | 1,529,855 | 75.90% | 1,597 | 1,214 | 1,537,003 | 72.53% |
| New York | 7,289 | 4,838 | 15,002,834 | 62.93% | 7,266 | 4,821 | 15,119,127 | 62.78% |
| North Carolina | 1,487 | 1,215 | 7,201,750 | 77.34% | 1,556 | 1,233 | 7,296,125 | 74.66% |
| North Dakota | 1,584 | 1,199 | 522,576 | 72.73% | 1,674 | 1,234 | 536,176 | 70.13% |
| Ohio | 6,405 | 4,865 | 8,697,719 | 72.78% | 6,391 | 4,738 | 8,732,478 | 71.07% |
| Oklahoma | 1,610 | 1,231 | 2,782,213 | 73.52% | 1,631 | 1,209 | 2,808,132 | 69.54% |
| Oregon | 1,630 | 1,249 | 2,985,280 | 75.61% | 1,626 | 1,251 | 3,018,457 | 75.99% |
| Pennsylvania | 6,039 | 4,462 | 9,811,349 | 70.71% | 6,657 | 4,928 | 9,847,576 | 70.86% |
| Rhode Island | 1,610 | 1,276 | 816,786 | 74.71% | 1,606 | 1,239 | 819,781 | 73.87% |
| South Carolina | 1,581 | 1,246 | 3,519,290 | 73.86% | 1,528 | 1,210 | 3,566,728 | 75.22% |
| South Dakota | 1,541 | 1,209 | 607,627 | 75.78% | 1,544 | 1,198 | 615,796 | 75.69% |
| Tennessee | 1,580 | 1,284 | 4,833,903 | 78.71% | 1,556 | 1,243 | 4,880,211 | 76.17% |
| Texas | 6,102 | 4,701 | 18,404,079 | 73.17% | 6,479 | 4,844 | 18,742,407 | 71.52% |
| Utah | 1,555 | 1,240 | 1,927,012 | 78.79% | 1,559 | 1,251 | 1,960,796 | 77.89% |
| Vermont | 1,553 | 1,222 | 495,314 | 75.75% | 1,565 | 1,201 | 497,019 | 74.82% |
| Virginia | 1,449 | 1,179 | 6,073,071 | 78.24% | 1,476 | 1,143 | 6,149,648 | 75.59% |
| Washington | 1,737 | 1,277 | 5,173,161 | 71.23% | 1,672 | 1,230 | 5,237,038 | 70.58% |
| West Virginia | 1,647 | 1,288 | 1,442,762 | 73.94% | 1,632 | 1,259 | 1,443,661 | 74.41% |
| Wisconsin | 1,577 | 1,201 | 4,323,814 | 74.63% | 1,592 | 1,193 | 4,349,507 | 73.71% |
| Wyoming | 1,526 | 1,207 | 427,266 | 77.04% | 1,566 | 1,222 | 433,248 | 77.56% |
| Measure | 2002- 2003 |
2003- 2004 |
2004- 2005 |
2005- 2006 |
2006- 2007 |
2007- 2008 |
2008- 2009 |
2009- 2010 |
2010- 2011 |
2011- 2012 |
2012- 2013 |
|---|---|---|---|---|---|---|---|---|---|---|---|
| 1 Estimates for these outcomes were not included in the 2002-2003 State report (Wright & Sathe, 2005), but the 2002-2003 estimates are included in the 2003-2004 State report as part of the comparison tables (see Wright & Sathe, 2006). However, the Bayesian confidence intervals associated with these were not published. 2 Estimates for SPD in the years 2002-2003 and 2003-2004 are not comparable with the 2004-2005 SPD estimates. For more details, see Section A.7 in Appendix A of the 2004-2005 State report (Wright et al., 2007). Note that, in 2002-2003, SPD was referred to as "serious mental illness." 3 Questions that were used to determine an MDE were added in 2004. Note that the adult MDE estimates shown in the 2004-2005 report are not comparable with the adult MDE estimates for later years. Yes = available, No = not available. Source: SAMHSA, Center for Behavioral Health Statistics and Quality, National Survey on Drug Use and Health, 2002-2013. |
|||||||||||
| Illicit Drug Use in the Past Month | Yes | Yes | Yes | Yes | Yes | Yes | Yes | Yes | Yes | Yes | Yes |
| Marijuana Use in the Past Year | Yes | Yes | Yes | Yes | Yes | Yes | Yes | Yes | Yes | Yes | Yes |
| Marijuana Use in the Past Month | Yes | Yes | Yes | Yes | Yes | Yes | Yes | Yes | Yes | Yes | Yes |
| Perceptions of Great Risk of Smoking Marijuana Once a Month | Yes | Yes | Yes | Yes | Yes | Yes | Yes | Yes | Yes | Yes | Yes |
| First Use of Marijuana (Marijuana Incidence) | Yes | Yes | Yes | Yes | Yes | Yes | Yes | Yes | Yes | Yes | Yes |
| Illicit Drug Use Other Than Marijuana in the Past Month | Yes | Yes | Yes | Yes | Yes | Yes | Yes | Yes | Yes | Yes | Yes |
| Cocaine Use in the Past Year | Yes | Yes | Yes | Yes | Yes | Yes | Yes | Yes | Yes | Yes | Yes |
| Nonmedical Use of Pain Relievers in the Past Year | No1 | Yes | Yes | Yes | Yes | Yes | Yes | Yes | Yes | Yes | Yes |
| Alcohol Use in the Past Month | Yes | Yes | Yes | Yes | Yes | Yes | Yes | Yes | Yes | Yes | Yes |
| Underage Past Month Use of Alcohol | No1 | Yes | Yes | Yes | Yes | Yes | Yes | Yes | Yes | Yes | Yes |
| Binge Alcohol Use in the Past Month | Yes | Yes | Yes | Yes | Yes | Yes | Yes | Yes | Yes | Yes | Yes |
| Underage Past Month Binge Alcohol Use | No1 | Yes | Yes | Yes | Yes | Yes | Yes | Yes | Yes | Yes | Yes |
| Perceptions of Great Risk of Having Five or More Drinks of an Alcoholic Beverage Once or Twice a Week |
Yes | Yes | Yes | Yes | Yes | Yes | Yes | Yes | Yes | Yes | Yes |
| Tobacco Product Use in the Past Month | Yes | Yes | Yes | Yes | Yes | Yes | Yes | Yes | Yes | Yes | Yes |
| Cigarette Use in the Past Month | Yes | Yes | Yes | Yes | Yes | Yes | Yes | Yes | Yes | Yes | Yes |
| Perceptions of Great Risk of Smoking One or More Packs of Cigarettes per Day | Yes | Yes | Yes | Yes | Yes | Yes | Yes | Yes | Yes | Yes | Yes |
| Alcohol Dependence or Abuse in the Past Year | Yes | Yes | Yes | Yes | Yes | Yes | Yes | Yes | Yes | Yes | Yes |
| Alcohol Dependence in the Past Year | Yes | Yes | Yes | Yes | Yes | Yes | Yes | Yes | Yes | Yes | Yes |
| Illicit Drug Dependence or Abuse in the Past Year | Yes | Yes | Yes | Yes | Yes | Yes | Yes | Yes | Yes | Yes | Yes |
| Illicit Drug Dependence in the Past Year | Yes | Yes | Yes | Yes | Yes | Yes | Yes | Yes | Yes | Yes | Yes |
| Dependence or Abuse of Illicit Drugs or Alcohol in the Past Year | Yes | Yes | Yes | Yes | Yes | Yes | Yes | Yes | Yes | Yes | Yes |
| Needing But Not Receiving Treatment for Illicit Drug Use in the Past Year | Yes | Yes | Yes | Yes | Yes | Yes | Yes | Yes | Yes | Yes | Yes |
| Needing But Not Receiving Treatment for Alcohol Use in the Past Year | Yes | Yes | Yes | Yes | Yes | Yes | Yes | Yes | Yes | Yes | Yes |
| Serious Psychological Distress (SPD) in the Past Year2 | Yes | Yes | Yes | No | No | No | No | No | No | No | No |
| Had at Least One Major Depressive Episode (MDE) in the Past Year3 | No | No | Yes | Yes | Yes | Yes | Yes | Yes | Yes | Yes | Yes |
| Serious Mental Illness (SMI) in the Past Year | No | No | No | No | No | No | Yes | Yes | Yes | Yes | Yes |
| Any Mental Illness (AMI) in the Past Year | No | No | No | No | No | No | Yes | Yes | Yes | Yes | Yes |
| Had Serious Thoughts of Suicide in the Past Year | No | No | No | No | No | No | Yes | Yes | Yes | Yes | Yes |
| Measure | Age Group | |||||
|---|---|---|---|---|---|---|
| 12+ | 12-17 | 12-20 | 18-25 | 26+ | 18+ | |
| NOTE: For details on which years small area estimates are available for these outcomes, see Table C.15. NOTE: Tables containing 18 or older estimates were first presented with the 2005-2006 small area estimation (SAE) tables. 1 There are minor wording differences in the questions for the adult and adolescent MDE modules. Therefore, data from youths aged 12 to 17 were not combined with data from adults aged 18 or older to get an overall MDE estimate (12 or older). Yes = available, No = not available. Source: SAMHSA, Center for Behavioral Health Statistics and Quality, National Survey on Drug Use and Health, 2002-2013. |
||||||
| Illicit Drug Use in the Past Month | Yes | Yes | No | Yes | Yes | Yes |
| Marijuana Use in the Past Year | Yes | Yes | No | Yes | Yes | Yes |
| Marijuana Use in the Past Month | Yes | Yes | No | Yes | Yes | Yes |
| Perceptions of Great Risk of Smoking Marijuana Once a Month | Yes | Yes | No | Yes | Yes | Yes |
| First Use of Marijuana (Marijuana Incidence) | Yes | Yes | No | Yes | Yes | Yes |
| Illicit Drug Use Other Than Marijuana in the Past Month | Yes | Yes | No | Yes | Yes | Yes |
| Cocaine Use in the Past Year | Yes | Yes | No | Yes | Yes | Yes |
| Nonmedical Use of Pain Relievers in the Past Year | Yes | Yes | No | Yes | Yes | Yes |
| Alcohol Use in the Past Month | Yes | Yes | Yes | Yes | Yes | Yes |
| Binge Alcohol Use in the Past Month | Yes | Yes | Yes | Yes | Yes | Yes |
| Perceptions of Great Risk of Having Five or More Drinks of an Alcoholic Beverage Once or Twice a Week |
Yes | Yes | No | Yes | Yes | Yes |
| Tobacco Product Use in the Past Month | Yes | Yes | No | Yes | Yes | Yes |
| Cigarette Use in the Past Month | Yes | Yes | No | Yes | Yes | Yes |
| Perceptions of Great Risk of Smoking One or More Packs of Cigarettes per Day | Yes | Yes | No | Yes | Yes | Yes |
| Alcohol Dependence or Abuse in the Past Year | Yes | Yes | No | Yes | Yes | Yes |
| Alcohol Dependence in the Past Year | Yes | Yes | No | Yes | Yes | Yes |
| Illicit Drug Dependence or Abuse in the Past Year | Yes | Yes | No | Yes | Yes | Yes |
| Illicit Drug Dependence in the Past Year | Yes | Yes | No | Yes | Yes | Yes |
| Dependence or Abuse of Illicit Drugs or Alcohol in the Past Year | Yes | Yes | No | Yes | Yes | Yes |
| Needing But Not Receiving Treatment for Illicit Drug Use in the Past Year | Yes | Yes | No | Yes | Yes | Yes |
| Needing But Not Receiving Treatment for Alcohol Use in the Past Year | Yes | Yes | No | Yes | Yes | Yes |
| Serious Psychological Distress (SPD) in the Past Year | No | No | No | Yes | Yes | Yes |
| Had at Least One Major Depressive Episode (MDE) in the Past Year1 | No | Yes | No | Yes | Yes | Yes |
| Serious Mental Illness (SMI) in the Past Year | No | No | No | Yes | Yes | Yes |
| Any Mental Illness (AMI) in the Past Year | No | No | No | Yes | Yes | Yes |
| Had Serious Thoughts of Suicide in the Past Year | No | No | No | Yes | Yes | Yes |
| SAE Production Items | Years for Which Pooled 2-Year Small Area Estimates Were Published | ||||||||||
|---|---|---|---|---|---|---|---|---|---|---|---|
| 2002- 2003 |
2003- 2004 |
2004- 2005 |
2005- 2006 |
2006- 2007 |
2007- 2008 |
2008- 2009 |
2009- 2010 |
2010- 2011 |
2011- 2012 |
2012- 2013 |
|
| AMI = any mental illness; MDE = major depressive episode; NSDUH = National Survey on Drug Use and Health; SAE = small area estimation; SMI = serious mental illness. 1 The weight used for 2010 was based on projections from the 2000 census control totals, and the 2011 weight was based on projections from the 2010 census control totals. For SMI and AMI, the weights used for both years were based on the 2010 census control totals. 2 Variable selection was done using 2002-2003 NSDUH data for all outcomes with the following exception: For SMI, AMI, suicidal thoughts in the past year, and MDE, variable selection was done using 2008-2009 NSDUH data. Note that the 2005-2006, 2006-2007, and 2007-2008 MDE small area estimates were based on the variable selection done in 2008-2009. 3 For all outcomes except SMI and AMI, the 2010-2011 small area estimates were produced based on 2002-2003 variable selection (see note 2 for an exception). For SMI and AMI, variable selection was done using 2010-2011 NSDUH data. 4 When new variable selection was done using 2010-2011 NSDUH data, one source of predictor data was revised: The American Community Survey (ACS) estimates were used in place of 2000 long-form census estimates, which resulted in dropping several predictors and adding several new predictors. 5 The 2005-2006 through 2008-2009 small area estimates were revised and republished with falsified data removed. For more information, see Section A.7 of "2011-2012 NSDUH: Guide to State Tables and Summary of Small Area Estimation Methodology" at https://www.samhsa.gov/data/population-data-nsduh/reports?tab=33. 6 The 2008-2009, 2009-2010, and 2010-2011 small area estimates were revised and republished based on the new SMI and AMI variables. These new variables will continue to be used to produce SMI and AMI small area estimates. For more information, see Section B.11.1 of the document mentioned in this table's footnote 5. 7 An adjusted MDE variable was created for 2005-2008 that is comparable with the 2009-2013 MDE variables. Hence, MDE small area estimates were produced using the adjusted variable. For more information, see Section B.11.3 of the document mentioned in this table's footnote 5. |
|||||||||||
| Weights Based on Projections from 2000 Census Control Totals | X | X | X | X | X | X | X | X | X1 | ||
| Weights Based on Projections from 2010 Census Control Totals | X1 | X | X | ||||||||
| Small Area Estimates Produced Based on Variable Selection Done Using 2002-2003 Data2 |
X | X | X | X | X | X | X | X | X3 | ||
| Small Area Estimates Produced Based on Variable Selection Done Using 2010-2011 Data4 |
X3 | X | X | ||||||||
| Small Area Estimates Reproduced Using Data Omitting Falsified Data5 | X | X | X | X | |||||||
| SMI and AMI Small Area Estimates Based on Updated 2013 Model6 | X | X | X | X | X | ||||||
| MDE Small Area Estimates Based on Adjusted MDE Variable7 | X | X | X | X | |||||||
Center for Behavioral Health Statistics and Quality. (2007). 2005 National Survey on Drug Use and Health: Methodological Resource Book (Section 20, Methamphetamine analysis report). Rockville, MD: Substance Abuse and Mental Health Services Administration.
Center for Behavioral Health Statistics and Quality. (2013). 2011 National Survey on Drug Use and Health: Methodological Resource Book. Rockville, MD: Substance Abuse and Mental Health Services Administration.
Center for Behavioral Health Statistics and Quality. (2014). 2012 National Survey on Drug Use and Health: Methodological Resource Book. Rockville, MD: Substance Abuse and Mental Health Services Administration.
Center for Behavioral Health Statistics and Quality. (in press). 2013 National Survey on Drug Use and Health: Methodological Resource Book. Rockville, MD: Substance Abuse and Mental Health Services Administration.
Folsom, R. E., Shah, B., & Vaish, A. (1999). Substance abuse in states: A methodological report on model based estimates from the 1994-1996 National Household Surveys on Drug Abuse. In Proceedings of the 1999 Joint Statistical Meetings, American Statistical Association, Survey Research Methods Section, Baltimore, MD (pp. 371-375). Alexandria, VA: American Statistical Association.
Ghosh, M. (1992). Constrained Bayes estimation with applications. Journal of the American Statistical Association, 87, 533-540.
Payton, M. E., Greenstone, M. H., & Schenker, N. (2003). Overlapping confidence intervals or standard error intervals: What do they mean in terms of statistical significance? Journal of Insect Science, 3, 34.
Raftery, A. E., & Lewis, S. (1992). How many iterations in the Gibbs sampler? In J. M. Bernardo, J. O. Berger, A. P. Dawid, & A. F. M. Smith (Eds.), Bayesian statistics 4 (pp. 763-774). London, England: Oxford University Press.
Schenker, N., & Gentleman, J. F. (2001). On judging the significance of differences by examining the overlap between confidence intervals. American Statistician, 55(3), 182-186.
Scheuren, F. (2004, June). What is a survey (2nd ed.). Retrieved September 17, 2014, from https://www.whatisasurvey.info/overview.htm
Shah, B. V., Barnwell, B. G., Folsom, R., & Vaish, A. (2000). Design consistent small area estimates using Gibbs algorithm for logistic models. In Proceedings of the 2000 Joint Statistical Meetings, American Statistical Association, Survey Research Methods Section, Indianapolis, IN (pp. 105-111). Alexandria, VA: American Statistical Association.
Singh, A. C., & Folsom, R. E. (2001, April 11-14). Hierarchical Bayes calibrated domain estimation via Metropolis-Hastings Step in MCMC with application to small areas. Presented at the International Conference on Small Area Estimation and Related Topics, Potomac, MD.
Wright, D. (2003a). State estimates of substance use from the 2001 National Household Survey on Drug Abuse: Volume I. Findings (HHS Publication No. SMA 03-3775, NHSDA Series H-19). Rockville, MD: Substance Abuse and Mental Health Services Administration, Office of Applied Studies.
Wright, D. (2003b). State estimates of substance use from the 2001 National Household Survey on Drug Abuse: Volume II. Individual state tables and technical appendices (HHS Publication No. SMA 03-3826, NHSDA Series H-20). Rockville, MD: Substance Abuse and Mental Health Services Administration, Office of Applied Studies.
Wright, D., & Sathe, N. (2005). State estimates of substance use from the 2002-2003 National Surveys on Drug Use and Health (HHS Publication No. SMA 05-3989, NSDUH Series H-26). Rockville, MD: Substance Abuse and Mental Health Services Administration, Office of Applied Studies.
Wright, D., & Sathe, N. (2006). State estimates of substance use from the 2003-2004 National Surveys on Drug Use and Health (HHS Publication No. SMA 06-4142, NSDUH Series H-29). Rockville, MD: Substance Abuse and Mental Health Services Administration, Office of Applied Studies.
Wright, D., Sathe, N., & Spagnola, K. (2007). State estimates of substance use from the 2004-2005 National Surveys on Drug Use and Health (HHS Publication No. SMA 07-4235, NSDUH Series H-31). Rockville, MD: Substance Abuse and Mental Health Services Administration, Office of Applied Studies.
This National Survey on Drug Use and Health (NSDUH) document was prepared by the Center for Behavioral Health Statistics and Quality (CBHSQ), Substance Abuse and Mental Health Services Administration (SAMHSA), U.S. Department of Health and Human Services (HHS), and by RTI International (a registered trademark and a trade name of Research Triangle Institute), Research Triangle Park, North Carolina. Work by RTI was performed under Contract No. HHSS283201000003C.
At SAMHSA, Arthur Hughes reviewed the document and provided substantive revisions. At RTI, Neeraja S. Sathe and Kathryn Spagnola were responsible for the writing of the document, and Ralph E. Folsom and Akhil K. Vaish were responsible for the overall methodology and estimation for the model-based Bayes estimates and confidence intervals.
The following staff were responsible for generating the estimates and providing other support and analysis: Akhil K. Vaish, Neeraja S. Sathe, Kathryn Spagnola, and Brenda K. Porter. Ms. Spagnola provided oversight for production of the document. Richard S. Straw edited it; Debbie Bond and Valerie Garner formatted its text and tables; and Teresa F. Bass, Kimberly Cone, Danny Occoquan, Margaret Smith, Pamela Tuck, and Cheryl Velez prepared the Web versions. Justine L. Allpress and E. Andrew Jessup prepared and processed the maps used in the associated files.
1 See https://www.samhsa.gov/data/population-data-nsduh/reports?tab=33.
2 For the purposes of this document, the term "State" refers to all 50 States and the District of Columbia.
3 RTI International is a registered trademark and a trade name of Research Triangle Institute, Research Triangle Park, North Carolina.
4 At https://www.samhsa.gov/data/population-data-nsduh/reports?tab=33, see "2011-2012 National Surveys on Drug Use and Health: Guide to State Tables and Summary of Small Area Estimation Methodology."
5 National small area estimates = Population-weighted averages of State-level small area estimates.
6 The census region-level estimates in the tables are population-weighted aggregates of the State estimates. The national estimates, however, are benchmarked to exactly match the design-based estimates.
7 At https://www.samhsa.gov/data/population-data-nsduh/reports?tab=33, see Tables 1 to 26 in "2012-2013 NSDUHs: Model-Based Estimated Totals (in Thousands) (50 States and the District of Columbia)."
8 Note that in the 2004-2005 NSDUH State report and prior reports, the term "prediction interval" (PI) was used to represent uncertainty in the State and regional estimates. However, that term also is used in other applications to estimate future values of a parameter of interest. That interpretation does not apply to NSDUH State report estimates; thus, "prediction interval" was dropped and replaced with "Bayesian confidence interval."
9 For MDE, estimates for individuals 12 or older are not included. For AMI, SMI, and thoughts of suicide, estimates for youths aged 12 to17 and individuals aged 12 or older are not included.
10 The SAE expert panel, convened in April 2002, had six members: Dr. William Bell of the U.S. Bureau of the Census; Partha Lahiri, Professor of the Joint Program in Survey Methodology at the University of Maryland at College Park; Professor Balgobin Nandram of Worcester Polytechnic Institute; Wesley Schaible, formerly Associate Commissioner for Research and Evaluation at the Bureau of Labor Statistics; Professor J. N. K. Rao of Carleton University; and Professor Alan Zaslavsky of Harvard University.
11 At https://www.samhsa.gov/data/population-data-nsduh/reports?tab=33, see "2012-2013 NSDUH: Model-Based Prevalence Estimates (50 States and the District of Columbia)" (Tables 1 to 26, by Age Group).
12 The use of mixed models (fixed and random effects) allows additional error components (random effects) to be included. These account for differences between States and within-State variations that are not taken into account by the predictor variables (fixed effects) alone. These models produce estimates that are approximately represented by a weighted combination of the direct estimate from the State data and a regression estimate from the national model, where the weights are obtained by minimizing the mean squared error of the small area estimate. It is also difficult if not impossible to produce valid mean squared errors for small area estimates based solely on a fixed-effect national regression model.
13 To increase the precision of estimated random effects at the within-State level, three SSRs were grouped together. Each of the 8 large sample States (i.e., California, Florida, Illinois, Michigan, New York, Ohio, Pennsylvania, and Texas) consists of 16 grouped SSRs, and the rest of the States and the District of Columbia each has 4 grouped SSRs.
14 For details on how the average annual rate of marijuana (incidence of marijuana) is calculated, see Section B.8 of "2011-2012 National Surveys on Drug Use and Health: Guide to State Tables and Summary of Small Area Estimation Methodology" at https://www.samhsa.gov/data/population-data-nsduh/reports?tab=33.
15 This file is available at https://www.samhsa.gov/data/population-data-nsduh/reports?tab=33.
16 See Table 9 of the "2012-2013 NSDUH: Model-Based Prevalence Estimates (50 States and the District of Columbia)" at https://www.samhsa.gov/data/population-data-nsduh/reports?tab=33.
17 See Table 9 of "2012-2013 NSDUHs: Model-Based Estimated Totals (in Thousands) (50 States and the District of Columbia)" at https://www.samhsa.gov/data/population-data-nsduh/reports?tab=33.
Long description, Equation B.1-1. The model is given by the following equation: log of pi sub a, i, j, k divided by 1 minus pi sub a, i, j, k is equal to the sum of three terms. The first term is given by x transpose sub a, i, j, k times beta sub a. The second term is eta sub a, i. And the third term is nu sub a, i, j.
Long description end. Return to Equation B.1-1.
Long description, Equation B.4-1. Lower sub s and a is defined as the exponent of capital L sub s and a divided by the sum of 1 and the exponent of capital L sub s and a. And upper sub s and a is defined as the exponent of capital U sub s and a divided by the sum of 1 and the exponent of capital U sub s and a.
Long description end. Return to Equation B.4-1.
Long description, Equation B.4-2. Capital L sub s and a is defined as the difference of two quantities. The first quantity is the natural logarithm of the ratio of Theta sub s and a and 1 minus Theta sub s and a. The second quantity is the product of 1.96 and the square root of MSE sub s and a, which is the mean squared error for State-s and age group-a.
Long description end. Return to Equation B.4-2.
Long description, Equation B.4-3. Capital U sub s and a is defined as the sum of two quantities. The first quantity is the natural logarithm ofthe ratio of Theta sub s and a and 1 minus Theta sub s and a. The second quantity is the product of 1.96 and the square root of MSE sub s and a, which is the mean squared error for State-s and age group-a.
Long description end. Return to Equation B.4-3.
Long description, Equation B.4-4. The mean squared error, MSE sub s and a, is defined as the sum of two quantities. The first quantity is the square of the difference of two parts. Part 1 is defined as the natural logarithm of the ratio of capital P sub s and a and 1 minus capital P sub s and a. Part 2 is defined as the natural logarithm of the ratio of Theta sub s and a and 1 minus Theta sub s and a. The second quantity is the posterior variance of the natural logarithm of the ratio of capital P sub s and a and 1 minus capital P sub s and a.
Long description end. Return to Equation B.4-4.
Long description, Equation B.6-1. The covariance between the natural logarithm of Theta 1 hat and the natural logarithm of Theta 2 hat is equal to the correlation between the natural logarithm of Theta 1 hat and the natural logarithm of Theta 2 hat multiplied by the square root of the product of the variance v of the natural logarithm of Theta 1 hat and the variance v of the natural logarithm of Theta 2 hat.
Long description end. Return to Equation B.6-1.
Long description, Equation B.6-2. Variance v of the natural logarithm of Theta sub i is equal to the square of quantity q. Quantity q is calculated as the difference between capital U sub i and capital L sub i divided by 2 times 1.96, where i takes values 1 and 2.
Long description end. Return to Equation B.6-2.
Long description, Equation B.6-3. Capital U sub 1 is defined as the natural logarithm of the ratio of 0.1618 and 1 minus 0.1618, which is negative 1.6449.
Capital L sub 1 is defined as the natural logarithm of the ratio of 0.1144 and 1 minus 0.1144, which is negative 2.0466.
Long description end. Return to Equation B.6-3.
Long description, Equation B.6-4. Capital U sub 2 is defined as the natural logarithm of the ratio of 0.1197 and 1 minus 0.1197, which is negative 1.9953.
Capital L sub 2 is defined as the natural logarithm of the ratio of 0.0833 and 1 minus 0.0833, which is negative 2.3983.
Long description end. Return to Equation B.6-4.
Long description, Equation B.6-5. The estimate of the log-odds ratio, lor hat sub a, is defined as the natural logarithm of the ratio of two quantities. The numerator of the ratio is p 2 sub a divided by 1 minus p 2 sub a. The denominator of the ratio is p 1 sub a divided by 1 minus p 1 sub a, where p1 sub a is 0.1364 and p 2 sub a is 0.1000. The estimate lor hat sub a is calculated to be negative 0.3517.
Long description end. Return to Equation B.6-5.
Long description, Equation B.6-6. The variance v of the natural logarithm of Theta 1 hat is equal to the square of quantity q. Quantity q is calculated as the difference between capital U sub 1 and capital L sub 1 divided by the product of 2 and 1.96. Here, capital U sub 1 is negative 1.6449, and capital L sub 1 is negative 2.0466. Hence, the variance v of the natural logarithm of Theta 1 hat is calculated to be 0.01050.
Long description end. Return to Equation B.6-6.
Long description, Equation B.6-7. The variance v of the natural logarithm of Theta 2 hat is equal to the square of quantity q. Quantity q is calculated as the difference between capital U sub 2 and capital L sub 2 divided by the product of 2 and 1.96. Here, capital U sub 2 is negative 1.9953, and capital L sub 2 is negative 2.3983. Hence, the variance v of the natural logarithm of Theta 2 hat is calculated to be 0.01057.
Long description end. Return to Equation B.6-7.
Long description, Equation B.6-8. Quantity z is the estimate of the log-odds ratio, lor hat sub a, divided by the square root of the sum of the variance v of the natural logarithm of Theta 1 hat and the variance v of the natural logarithm of Theta 2 hat, where lor hat sub a is negative 0.3517, the variance v of the natural logarithm of Theta 1 hat is 0.01050, and the variance v of the natural logarithm of Theta 2 hat is 0.01057. The statistic z is calculated to be negative 2.4229.
Long description end. Return to Equation B.6-8.